每年数千例肝移植因捐献者死亡时间预测不准而失败。今天,AI给出了精准解决方案。
在肝移植领域,器官短缺始终是制约救治效率的核心难题。而 “循环死亡后器官捐献(DCD)” ,是补充器官来源的重要途径。
DCD指捐献者在心跳、呼吸停止(循环死亡)后进行器官捐献的模式。
然而,这一补充器官来源的重要途径却长期受困于 “无效获取” 问题: 医疗机构为潜在捐献者投入大量人力、设备与运输成本,却因捐献者未在器官耐受缺血的时间窗内死亡,最终无法获得可用肝脏。这种资源浪费不仅加重医疗系统负担,更延误了终末期肝病患者的救治时机。
近期,斯坦福大学联合美国 6 家移植中心研发的LightGBM机器学习模型,为破解这一困局提供了新方案。该模型通过精准预测 DCD 捐献者的死亡进展,显著降低了无效获取率,为肝移植领域的资源优化与患者救治带来突破性价值。

无效获取的沉重代价
理解这一突破的价值,需要先了解DCD肝移植的特殊性。在循环死亡后器官捐献过程中,捐献者停止生命支持后,肝脏因供血中断开始受损。通常超过30-60分钟,肝脏就会丧失移植价值。
这个时间窗口的严格限制,导致了医疗资源的巨大浪费。单次无效获取的经济损耗可达数十万元,包括移植团队调配、器官保存设备调试、跨区域运输等成本。更严重的是,这些资源的无效占用,直接影响其他终末期肝病患者的救治机会。
更严峻的是,传统决策方式难以规避这一风险:此前临床主要依赖两类方法。一是2012年开发的DCD-N评分等老旧工具,其数据样本量小且未更新,难以适配当前临床场景;二是外科医生的经验判断,这种方式往往受个体经验、认知偏差影响。
LightGBM模型的精准预测
斯坦福团队开发的LightGBM模型,通过多维度指标整合,实现了对死亡时机的精准预测。模型涵盖了神经功能指标如瞳孔反射、角膜反射,循环与呼吸指标包括收缩压、心率、血氧浓度,以及基础临床信息如年龄、BMI和死亡机制。

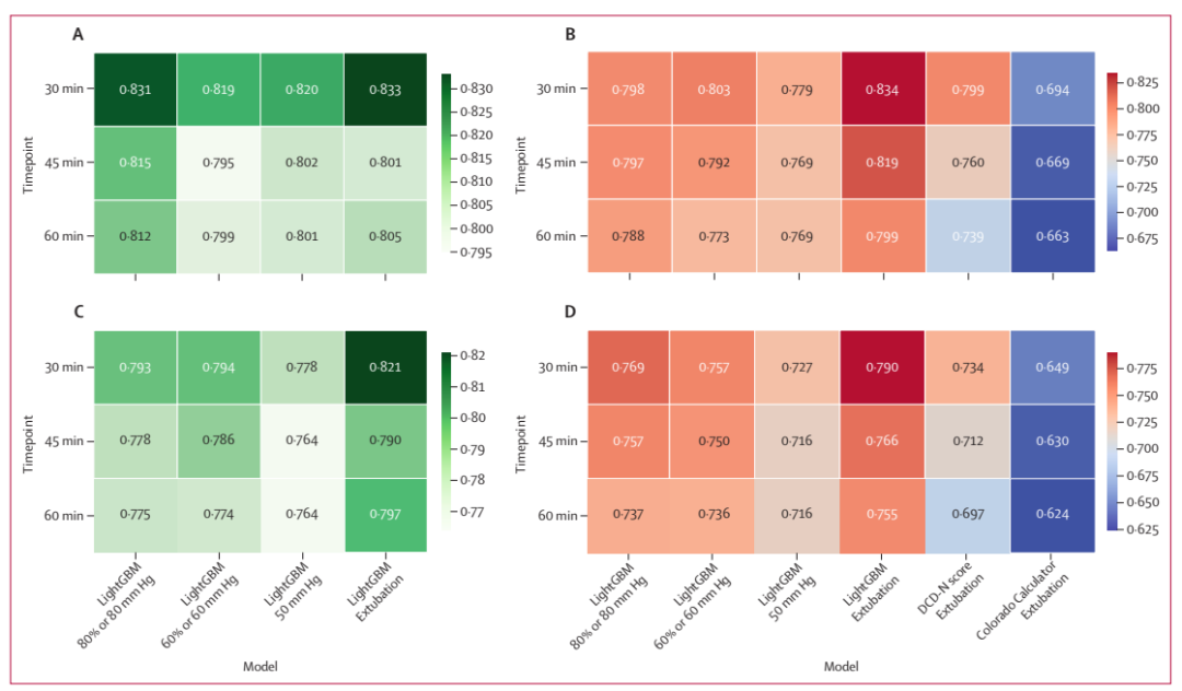
【不同时间点与数据集下模型性能对比热力图】
算法选型上,模型选用 “轻量级梯度提升机(LightGBM)” 算法,其优势高度契合临床数据特点:
-
抗缺失性:临床数据常存在部分指标缺失(如紧急情况下未检测某一生化指标),LightGBM 可原生处理缺失值,无需人工填充,避免数据失真影响预测;
-
高拟合度:能有效捕捉变量间的非线性关系(如 “低瞳孔反射 + 低血压” 的组合对死亡时机的影响),比传统线性模型(如旧评分表)更适配复杂临床场景;
-
高效性:在处理高维度数据时运算速度快,可满足临床实时决策需求。
为避免模型 “纸上谈兵”,团队采用三阶段流程,基于美国6家中心的2221 例DCD捐献数据开展严格测试:
-
训练阶段:利用2022年12月-2023年6月的1616例回顾性数据,让模型学习 “指标组合与死亡时机” 的关联规律;
-
回顾性验证:用 2023 年 7 月 - 8 月的 398 例数据 “复盘”,验证模型对历史案例的预测准确性;
-
前瞻性验证:在 2024 年 3 月 - 9 月的 207 例实时临床案例中测试,模拟实际应用场景下的决策效果。

【回顾性验证队列与前瞻性验证队列中的模型性能及基于阈值的权衡关系】
三阶段验证均显示模型性能稳定,为临床落地奠定基础。
临床效果
与传统方法相比,LightGBM模型展现出明显优势。在预测30分钟内死亡的准确性方面,模型的AUC值达到0.83,显著高于DCD-N评分的0.799和科罗拉多计算器的0.694。
在医生意见分歧较大的复杂案例中,模型准确率达到70%,而医生判断的准确率仅为52%。这一数据表明,AI能够有效辅助解决临床决策中的争议情况。
同时,该模型具有高灵活性。它能输出0-100分的连续预测指数,医疗机构可以根据自身需求调整阈值。例如,希望进一步降低无效获取率的机构可以提高阈值,而希望减少错过可用器官概率的机构可以降低阈值。
深远意义:肝移植生态的优化
这项技术的价值不仅体现在数据提升上,更在于其对整个肝移植生态的优化。通过减少无效获取,医疗机构能够显著降低资源浪费,将更多资源投入到高概率成功的捐献案例中。
对于终末期肝病患者而言,这一进步意味着更多生的希望。
与此同时,研究团队还开发了配套的临床数据提取聊天机器人。医生只需粘贴病历网页文本,机器人就能自动提取关键指标并转化为结构化数据,大幅降低了人工录入成本。
通过这项技术,我们可以看到AI在医疗资源优化方面的巨大潜力。它并非要替代医生,而是作为决策辅助工具,整合多维度数据,规避主观偏差,为医生提供更客观的参考。
随着大语言模型技术的发展,未来有望实现实时数据采集、动态预测、决策建议的全流程自动化,进一步提升临床效率。
AI技术赋能医疗,正在从理念走向现实,而每一次这样的进步,都在为生命争取更多可能。
400

被折叠的 条评论
为什么被折叠?



