如今,推荐算法已经深入到我们生活的各个方面,比如说淘宝根据我们之前的浏览记录给我们推荐想要购买的商品;抖音不停地给我们推荐各种我们感兴趣的视频(虽然我个人不太喜欢抖音,觉得抖音会让我们丧失独立思考的能力,但是它的推荐算法还是很厉害的)
。。。
这些推荐算法极大地便捷了我们的生活,身为一个学习机器学习的同学,怎么能不关注一下推荐算法呢?
下面来举个栗子:如今有一个电影推荐系统,用户可以给电影进行评分,从 0 分到 5 分,有些电影没有被打过分就记做未知,最终目的就是想通过一个推荐算法把某些电影推荐给可能对他感兴趣的用户。

绿圈表示这是一类爱情电影,红圈表示这是动作电影,由以上数据可以看出,前两位用户对爱情片可能感兴趣,而后两位用户对动作片可能感兴趣。基于此,我们可以用类似于线性回归的方法去预测没有看过此电影的用户可能对此电影的评分,在用这种方法之前,我们需要先求出每个电影的特征:

之后,具体的方法如下:

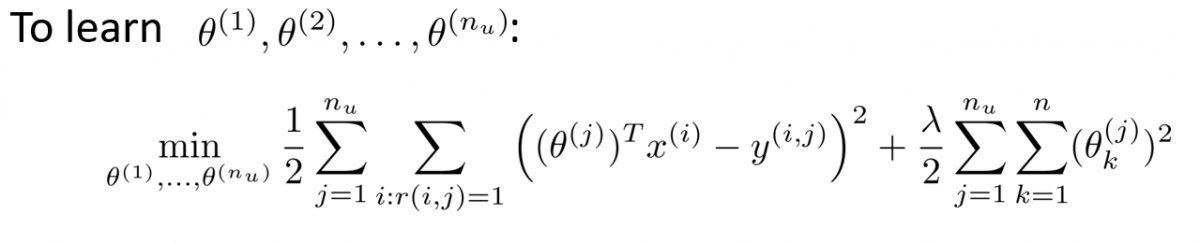
与线性回归有一点点的区别就是它被省略了 1/m。这是对一个用户进行预测,要考虑到所有的用户,就要进行求和:

之后再进行梯度下降等一系列操作。。。最终就能得到一个基于内容的推荐算法了。
ps. 本篇文章是根据吴恩达机器学习课程整理的学习笔记。如果想要一起学习机器学习,可以关注微信公众号「SuperFeng」,期待与你的相遇。

1356

被折叠的 条评论
为什么被折叠?



