分层图最短路
- 题目 P4568飞行路线
做法1
- 题目说一共有k次免费乘坐机会。
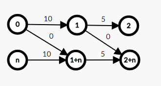
- 我们可以假设每个点都有免费通向下一个点的一条路,建k+1层图。

- (当然这里要建双向边)第一行是第一层图,第二行是第二层图(注:因为第一层有n个点,所以第二层要从n+0开始,避免重复)第一层表示不消耗免费次数,第二层表示消耗一次免费次数,以此类推,第 i 层表示消耗 i-1 次免费次数。
- 于是我们就可以通过比较起点0到终点 n , 2n , 3n,. . .,(k+1)*n 的最短路来找到消耗k次免费机会后的最短路,也就是最小花费。
ans=min(dis[n],dis[2*n],dis[3*n],...,dis[(k+1)*n]);
举个例子

`
dis[2]表示1到2的最短路,dis[5]表示1到5的最短路;dis[10]表示1到10的最短路,由图可以看出,有且只有经过了1条权值为0的边才能到10这个点,也就是说花费了1次免费机会;- 同样,
dis[15]表示1到15的最短路,由图可以看出,有且只有经过了2条权值为0的边才能到15这个点,也就是说花费了2次免费机会; - 同理,
dis[20]表示1到20的最短路,由图可以看出,有且只有经过了3条权值为0的边才能到20这个点,也就是说花费了3次免费机会; - 以此类推,
dis[25]表示1到25的最短路,由图可以看出,有且只有经过了4条权值为0的边才能到25这个点,也就是说花费了4次免费机会; - 所以,显然,
ans=min(dis[5],dis[10],dis[15],dis[20],dis[25]);(这里要看k是多少,比较k+1个数的大小)。
下面看代码
#include<cstdio>
#include<cstring>
#include<queue>
#define maxn 900005//因为要建n*(k+1)个点
#define maxm 90000005//因为有好多条边(当然我这里太大了点)
#define inf 0x7fffffff
#define ri register int
using namespace std;
priority_queue<pair<int,int> >q;//骚操作
int to[maxm];
int weight[maxm];
int next[maxm];
int head[maxn];
int dis[maxn];
int vis[maxn];
int n,m,K,s,t,cnt;
inline int read()//快读
{
ri x=0,f=1;
char ch=getchar();
while(ch>'9'||ch<'0')
{
if(ch=='-') f=-1;
ch=getchar();
}
while(ch>='0'&&ch<='9')
{
x=x*10+ch-'0';
ch=getchar();
}
return x*f;
}
inline void add_edge(int u,int v,int w)//建边
{
to[cnt]=v;
weight[cnt]=w;
next[cnt]=head[u];
head[u]=cnt;
cnt++;
}
void Dijkstra(int s,int t)//这里和最短路一毛一样
{
for(ri i=0;i<=maxn;++i) dis[i]=inf;//每个点都要初始化
dis[s]=0;
q.push(make_pair(-dis[s],s));
while(q.size())
{
ri k=q.top().second;
q.pop();
if(vis[k]) continue;
vis[k]=1;
for(ri i=head[k];i!=-1;i=next[i])
{
ri v=to[i],w=weight[i];
if(!vis[v]&&dis[k]+w<dis[v])
{
dis[v]=dis[k]+w;
q.push(make_pair(-dis[v],v));
}
}
}
}
int main()
{
n=read(),m=read(),K=read();
s=read(),t=read();
memset(head,-1,sizeof(head));
for(ri i=1,u,v,w;i<=m;++i)
{
u=read(),v=read(),w=read();
for(ri j=0;j<=K;++j)
{
add_edge(u+n*j,v+n*j,w);//建当前层的图
add_edge(v+n*j,u+n*j,w);
if(j!=K)//第K层没有下一层
{
add_edge(u+n*j,v+n*(j+1),0);//建下一层的图
add_edge(v+n*j,u+n*(j+1),0);
}
}
}
Dijkstra(s,t);
ri min=inf;
for(ri i=0;i<=K;++i)
if(dis[t+n*i]<min) min=dis[t+n*i];//找K+1层中最小的值
printf("%d",min);
return 0;
}
- 看不懂我的代码的请看这里。
做法2
- dp思想,数组多开一维。
dis[i][j]表示到第i个点用了j次免费机会的最短路。- 同样,
vis[i][j]用来判断到第i个点用了j次免费机会的情况是否出现过。 - 不使用免费机会
dis[v][c]=min(dis[u][c]+w,dis[v][c]); - 使用免费机会
dis[v][c+1]=min(dis[v][c+1],dis[u][c]);
代码如下
#include<cstdio>
#include<cstring>
#include<queue>
#define maxn 10005
#define maxm 100005
#define inf 0x7fffffff
#define ri register int
using namespace std;
priority_queue<pair< int,pair<int,int> > >q;//pair<int,int>看成一个整体
int to[maxm];
int weight[maxm];
int next[maxm];
int head[maxn];
int dis[maxn][11];//开二维
int vis[maxn][11];
int n,m,k,s,t,cnt;
inline int read()//快读
{
ri x=0,f=1;
char ch=getchar();
while(ch>'9'||ch<'0')
{
if(ch=='-') f=-1;
ch=getchar();
}
while(ch>='0'&&ch<='9')
{
x=x*10+ch-'0';
ch=getchar();
}
return x*f;
}
inline void add_edge(int u,int v,int w)//建边
{
++cnt;
to[cnt]=v;
weight[cnt]=w;
next[cnt]=head[u];
head[u]=cnt;
}
inline void Dijkstra(int s)
{
for(ri i=0;i<maxn;++i)
for(ri j=0;j<=10;++j)
dis[i][j]=inf;//每个点都要初始化
dis[s][0]=0;
q.push(make_pair(-dis[s][0],make_pair(s,0)));
//make_pair(s,0)和make_pair(0,s)是一样的
while(q.size())
{
ri u=q.top().second.first;
ri c=q.top().second.second;//c代表用了几次免费机会
q.pop();
if(vis[u][c]) continue;
vis[u][c]=1;
for(ri i=head[u];i;i=next[i])
{
ri v=to[i],w=weight[i];
if(!vis[v][c]&&dis[u][c]+w<dis[v][c])
{
dis[v][c]=dis[u][c]+w;
q.push(make_pair(-dis[v][c],make_pair(v,c)));
}
if(c<k&&!vis[v][c+1]&&dis[u][c]<dis[v][c+1])
//c+1<=k,所以c要小于k
{
dis[v][c+1]=dis[u][c];
q.push(make_pair(-dis[v][c+1],make_pair(v,c+1)));
}
}
}
}
int main()
{
n=read(),m=read(),k=read();
s=read(),t=read();
for(ri i=1,u,v,w;i<=m;++i)
{
u=read(),v=read(),w=read();
add_edge(u,v,w);
add_edge(v,u,w);
}
Dijkstra(s);
ri min=inf;
for(ri i=0;i<=k;++i)
if(dis[t][i]<min) min=dis[t][i];
printf("%d",min);
return 0;
}
- 看不懂我的代码的请看这里。
本文介绍了解决带有免费乘坐机会的飞行路线问题的两种方法。一是通过构建k+1层图,利用Dijkstra算法寻找不同层间最短路径;二是采用dp思想,用二维数组记录各点在不同免费机会下的最短距离,实现动态规划求解。
367

被折叠的 条评论
为什么被折叠?



