逻辑回归和线性回归之间既有区别又有联系。逻辑回归和线性回归最大的不同点是逻辑回归解决的是分类而线性回归解决的是回归问题。逻辑回归又可以认为是广义线性回归的一种特殊形式,其特殊之处在于其目标(label/target)的取值服从二元分布。
所谓逻辑回归是一种特殊的广义线性回归,我们可以通过狭义线性回归到逻辑回归的转化来理解。狭义线性回归的表达式可表示为:

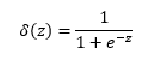
如果我们希望这个模型可以对二分类任务做出预测,即目标满足0,1分布。那么希望预测出来的值经过某种转换之后,大部分可以分布在0,1两个值附近。我们发现sigmoid函数可以帮助我们做这样的转换。sigmoid函数的表达式为:

可以看到,在线性回归框架中,狭义线性回归采用z作为预测结果,而逻辑回归则采用y作为预测结果,逻辑回归还可以表示为:

通过以上步骤,我们知道逻辑回归的求值计算其实就是在线性回归的基础上,再做一个sigmoid计算。所以它们都可以用相同的方法比如梯度下降来求解参数。
4029

被折叠的 条评论
为什么被折叠?



