David Silver deep reinforcement learning course in 2019. For document and discussion.
Lecture2: Markov Decision Processes
Ⅰ Markov Processes (Markov Chain)
1.Introduction to MDPs
- MDP描述的是RL中的环境(environment),且该环境是fully observable
- MDP中的state完全描述了这个过程
- 几乎所有的RL问题都可以转换为MDPs
- 最优控制主要处理连续的MDPs
- Partially observable problems可以转换为MDPs
- 多臂赌博机是只有一种state的MDPs
2.Markov Property
-
state StS_tSt是Markov当且仅当P[St+1∣St]=P[St+1∣St,...,St]P[S_{t+1}|S_t]=P[S_{t+1}|S_t,...,S_t]P[St+1∣St]=P[St+1∣St,...,St]
-
当前的状态已经包含了所有t−1t-1t−1及其之前的历史信息,因此history可以丢弃,因此所有信息可用当前时刻ttt下的一个特定的状态来表示,而不需要保留历史信息
-
该状态是future的充分统计量(sss包含了足够信息来描述未来所有的reward)
-
state transition matrix (状态转移矩阵):
- 对于一个Markov state sss及其后继state s′s's′,状态转移概率为

- 状态转移矩阵PPP定义了从state sss 转移到后继 s′s's′ 的转移概率(每行的和为1),即从任一状态转移到其他状态的概率有多少(转移到其他所有状态的概率和为1)

3.Definition of Markov Process (Markov Chain)
-
是一个无记忆的,具有随机状态序列的,具有Markov属性的过程
-
定义为一个tuple <S,P><S, P><S,P>, SSS是一个有限的状态的集合,P为状态转移概率矩阵
-
Example
-
e.g.1 其中Sleep为Markov Process的最终状态,PPP为该过程的状态转移矩阵

学生提问:如果处理概率随着时间变化的情况
答:有两种答案,一种是可以设定一个non-stationary Markov process,仍然使用stationary MDP的算法,但逐步调整算法来找到最好的算法,另一种是将其变为一个更复杂的Markov process,可以假设各个state上停留的时间,增加状态转移概率,但不改变MDP的基本结构。
Ⅱ Markov Reward Processes (MRP)
1.定义
-
MRP是一个带有value的Markov chain,可知道在MP中积累了多少reward
-
定义为一个tuple <S,P,R,γ><S, P, R, γ><S,P,R,γ>
- SSS 是有限状态集合
- PPP 是状态转移概率矩阵
- RRR 是(immediate)reward函数,Rs=E[Rt+1∣St=s]R_s=E[R_{t+1}|S_t=s]Rs=E[Rt+1∣St=s]
- γγγ 是折扣因子,γ∈[0,1]γ∈[0, 1]γ∈[0,1]
-
Example

2.Return(回报)
-
定义为GtG_tGt ,是在ttt时刻时的总折扣奖励(total discounted reward)→目标是最大化回报
Gt=Rt+1+γRt+2+...=∑k=0∞γkRt+k+1G_t=R_{t+1}+γR_{t+2}+...=∑_{k=0}^∞γ^kR_{t+k+1}Gt=Rt+1+γRt+2+...=k=0∑∞γkRt+k+1
- 折扣γ∈[0,1]γ∈[0, 1]γ∈[0,1]是对未来reward的关注程度值,γγγ值为0代表最大短视myopic(对应immediate reward),表示目光短浅,注重当前利益;γγγ值为1代表最大远见far-sighted(对应delayed reward),表示目光长远,深谋远虑。
- 在k+1k+1k+1时间后agent收到的reward是γkRγ^kRγkR
学生提问:为何GtG_tGt不需要求取期望值
答:因为此处GGG只是MRP中的一个随机样本
- 为什么需要折扣γγγ? 答:没有比较完美的model可以完全适用于环境中,或者说未来有很多的不确定性;便于数学计算;避免循环MPs中出现无限回报;未来的不确定性可能没有得到充分体现;如果reward是经济上的,立即的reward可能比延迟的reward获得更多的利息;人和动物的行为对immediate reward有趋向性;如果所有序列都终止,那么也可以使用非折扣的MRPs。
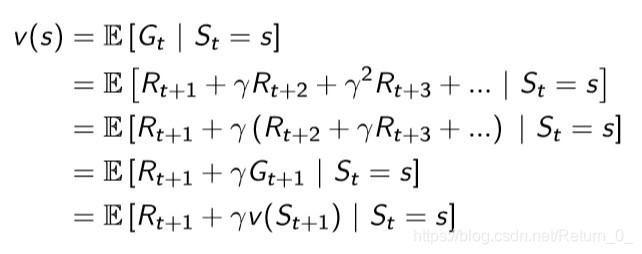
3.Value Function
- 定义为v(s)v(s)v(s),是从状态sss 开始的预期return,是对所有可能过程的平均,即v(s)=E[Gt∣St=s]v(s)=E[G_t|S_t=s]v(s)=E[Gt∣St=s]
- Example γ=1/2γ = 1/2γ=1/2

4.Bellman Equation for MRPs (贝尔曼方程)
- value function可分解为Rt+1R_{t+1}Rt+1和γv(St+1)γv(S_{t+1})γv(St+1)两部分,可以看出,其只与状态s有关

- 贝尔曼方程可以被分成两部分,第一部分是在t+1t+1t+1时刻获取到的immediate reward的期望和下一状态的有折扣的return的期望。第一部分因为t+1t+1t+1时刻获取的reward期望其实是ttt时刻的状态所获得的,因此期望符号可以略去,第二部分可以利用如下图所示的状态转移概率矩阵来求。

- 贝尔曼方程的矩阵形式-

- 贝尔曼方程的求解(为一个线性方程),计算需要O(n3)O(n^3)O(n3)的时间复杂度,因此大型的MRPs问题不适合直接求解

- 对于大型的MRPs一般采取迭代的方法
- 动态规划(Dynamic programming )
- 蒙特卡洛估计(Monte-Carlo evaluation)
- 时间差分学习(Temporal-Difference learning)
Ⅲ Markov Decision Processes (MDPs)
1.MDPs的定义
-
MDP其实是MRP基础上再加入action,处于所有状态都是Markov的环境,下一个state取决于采取的action和当前的state。
-
定义为一个tuple <S,A,P,R,γ><S, A, P, R, γ><S,A,P,R,γ>
- SSS是有限状态集
- AAA是有限动作集
- PPP是状态转移概率矩阵,其中Pss′a=P[St+1=s′∣St=s,At=a]P_{ss'}^a=P[S_{t+1}=s'|S_t=s,A_t=a]Pss′a=P[St+1=s′∣St=s,At=a]
- RRR是奖励函数,其中Rss=E[Rt+1∣St=s,At=a]R_s^s=E[R_{t+1}|S_t=s,A_t=a]Rss=E[Rt+1∣St=s,At=a]
- γγγ是折扣因子,
-
Example:从例子中可以看出,每个action都有其对应的reward

2.Policy
-
定义为πππ,是给定state下action的分布,实际上是一个状态转移矩阵,π(a∣s)=P[At=a∣St=s]π(a|s) = P[A_t = a | S_t = s]π(a∣s)=P[At=a∣St=s]
-
Policy完全定义了agent的行为(Markov Property)
-
MDP的policy是基于当前state的(并非基于history)
-
MDP转换为MP,MRP

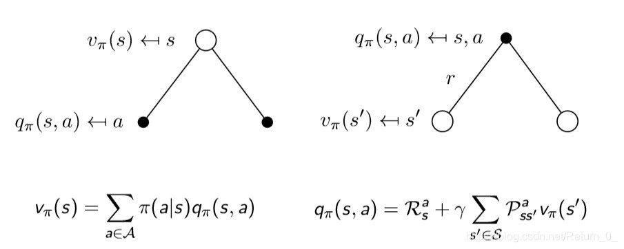
3.Value Function
-
state-value function定义为$v_π(s) $,是从状态s(遵循policy πππ)开始的期望回报vπ(s)=Eπ[Gt∣St=s]v_π(s) = E_π [G_t | S_t = s]vπ(s)=Eπ[Gt∣St=s]
-
action-value function定义为qπ(s,a)q_π(s,a)qπ(s,a) ,是从状态s和动作a(遵循policy πππ)开始的期望qπ(s,a)=Eπ[Gt∣St=s,At=a]q_π(s,a) = E_π [G_t | S_t = s,A_t = a]qπ(s,a)=Eπ[Gt∣St=s,At=a]
-
Example

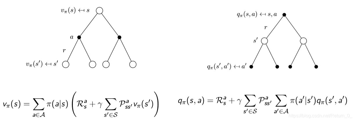
- 贝尔曼期望方程,同样也可以分解为reward项和下一state的期望

- 同样对以上方程进行分解

- 将二者叠加则会产生如下结果

- 基于以上分解,就不难计算出Example中的各个值

- 贝尔曼分解方程的矩阵形式
### 4.Optimal Value Function(最优值函数)
-
目的:找到MDPs中最优的动作(即最优解决问题的方法
-
最佳状态值函数 v∗(s)v_*(s)v∗(s)是所有策略情况下的最大值函数 v∗(s)=maxπvπ(s)v_∗(s) = max_πv_π(s)v∗(s)=maxπvπ(s)
-
最佳动作值函数 q∗(s,a)q_∗(s,a)q∗(s,a)是所有策略情况下的最大动作值函数 q∗(s,a)=maxπqπ(s,a)q_∗(s,a) = max_π q_π(s,a)q∗(s,a)=maxπqπ(s,a)
-
最佳值函数(the optimal value function)说明了MDP中可能出现的最佳性能
-
当知道最优值函数后,可以MDP过程相当于有解了
-
Example(从最优值10往前推)


5.Optimal Policy(最优策略)
-
定义策略上的偏序 π≥π′ if vπ(s)≥vπ′(s),∀sπ ≥ π'\;if\;v_π(s) ≥ v_{π'}(s),∀sπ≥π′ifvπ(s)≥vπ′(s),∀s,即一个最优策略的状态值函数要在任何状态下都优于(至少等于)其他的策略状态值函数,
-
任何一个MDP都至少存在一个最佳的策略 π∗π_*π∗优于或等于其他的策略 π∗≥π,∀ππ_*≥π,∀ππ∗≥π,∀π
-
最优策略表示一个MDP中最好的behavior是什么
-
最优策略都能达到最优的值函数(optimal policies → optimal value functions) vπ∗(s)=v∗(s)v_{π_∗}(s) = v_∗(s)vπ∗(s)=v∗(s)
-
最优策略都能达到最优的动作值函数 (optimal policies → optimal action-value functions) qπ∗(s,a)=q∗(s,a)q_{π_∗}(s,a) = q_∗(s,a)qπ∗(s,a)=q∗(s,a)
-
寻找最优策略:通过最大化q∗(s,a)q_*(s,a)q∗(s,a)可以找到,如下公式所示

-
因此,如果知道了q∗(s,a)q_*(s,a)q∗(s,a),就可以获得最优策略
-
Example

6.Bellman Optimality Equation(贝尔曼最优方程)
-
最优值函数通过贝尔曼最优性方程递归关联

-
进一步推算

- Example

- 求解贝尔曼最优方程(非线性,因为包含max函数,因此没有闭式解)
- Value Iteration(值迭代)
- Policy Iteration(策略迭代)
- Q-learning
- Sarsa
Ⅳ Extensions to MDPs
1.Infinite and continuous MDPs (无限和连续)
- 可数无限的状态和动作空间,按以上方式求解
- 连续状态和动作空间,使用线性二次模型的封闭形式
- 连续时间的情况,需要偏微分方程及HJB方程求解,贝尔曼方程时间步长为0的极限情况
2.Partially observable MDPs(部分可观察POMDP)
- 定义:部分可观察MDP是一种具有隐状态的MDP决策过程,这是一个具有动作的隐马尔可夫模型。
- 从定义中可以看出,状态转移矩阵PPP是不可见的,s′s's′为隐状态,而ooo才为实际可观测状态

-
history重新定义为 actions, observations and rewards Ht=A0,O1,R1,...,At−1,Ot,RtH_t = A_0,O_1,R_1,...,A_{t−1},O_t,R_tHt=A0,O1,R1,...,At−1,Ot,Rt
-
隐状态分布,也就是信念状态 b(h)b(h)b(h)是在给定history下的状态的概率分布
b(h)=(P[St=s1∣Ht=h],...,P[St=sn∣Ht=h]) b(h) = (P[S_t = s^1 | H_t = h],...,P[S_t = s^n | H_t = h]) b(h)=(P[St=s1∣Ht=h],...,P[St=sn∣Ht=h])
-
POMDP的简化表示

3.Undiscounted, average reward MDPs(无折扣,奖励平均)
- 各态历经的MP,历经无限时间,无系统的周期

- 各态历经的MDP(满足任意策略的导出的MP都是各态历经的)

- 平均奖励值函数

References
https://www.bilibili.com/video/BV1kb411i7KG?from=search&seid=5362588914313557002
https://blog.youkuaiyun.com/u013745804/category_7216686.html
http://www0.cs.ucl.ac.uk/staff/d.silver/web/Teaching.html
(转载整理自网络,如有侵权,联系本人删除,仅供技术总结使用)
本文深入解析Markov决策过程(MDP),涵盖Markov过程、Markov奖励过程(MRP)和MDP的基础概念,探讨最优策略与价值函数,并介绍部分可观察MDP(POMDP)等扩展主题。
933

被折叠的 条评论
为什么被折叠?



