二项分布&泊松分布&泊松过程&指数分布
过程:事物发展所经过的程序(processes)
| - | 分布的密度函数 | 期望 | 方差 |
|---|---|---|---|
| B(n,P) | C n k p k ( 1 − p ) n − k C _ { n } ^ { k}p^k(1-p)^{n-k} Cnkpk(1−p)n−k | np | np(1-p) |
| P(λ) | λ k e − λ k ! \frac{ λ^ke^{-λ}}{k!} k!λke−λ | λ | λ |
| 指数分布E(λ) | λ e − λ x ( x > = 0 ) , 0 ( x < 0 ) λe^{-λx}(x>=0),0(x<0) λe−λx(x>=0),0(x<0) | 1 λ \frac{1}{λ} λ1 | 1 λ 2 \frac{1}{λ^2} λ21 |
假设n次事件“匀速发生”,引入时间变量t,np=λt
( λ t ) k e − λ t k ! \frac{ {(λt)}^ke^{-λt}}{k!} k!(λt)ke−λt
由 此 : 直 至 时 刻 t , 事 件 至 少 发 生 一 次 的 概 率 1 − e − λ t ( 因 为 至 时 刻 t , 一 次 未 发 生 的 概 率 是 k = 0 , e − λ t ) 由此:\color{red}直至时刻t\color{black},事件至少发生一次的概率1-e^{-λt}\\ (因为至时刻t,一次未发生的概率是k=0,e^{-λt}) 由此:直至时刻t,事件至少发生一次的概率1−e−λt(因为至时刻t,一次未发生的概率是k=0,e−λt)
对
其
(
直
至
t
时
刻
的
分
布
函
数
)
求
导
,
λ
e
−
λ
t
(
指
数
分
布
)
为
t
时
刻
的
发
生
概
率
对其(直至t时刻的分布函数)求导,\color{red}λe^{-λt}(指数分布)\color{black}为t时刻的发生概率
对其(直至t时刻的分布函数)求导,λe−λt(指数分布)为t时刻的发生概率
第一个,为指数分布的积分,即其(λe^{-λt})满足分布密度的条件。
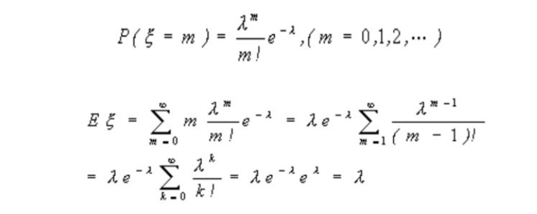
注:泊松分布均值的证明

本文探讨了二项分布、泊松分布、泊松过程和指数分布的数学特性。二项分布涉及n次独立事件发生的概率,泊松分布描述事件在一定时间内的发生频率,指数分布则表示事件发生的时间间隔。泊松过程进一步解释了事件随时间均匀发生的情况。通过求导,得出了t时刻事件发生概率为λe^(-λt),这与指数分布的密度函数一致。文章还提及了泊松分布均值的证明,并强调了这些概率论概念在实际问题中的应用。

1360

被折叠的 条评论
为什么被折叠?



