文章汇总可见上面的专栏 或者 共享文档链接,可在下面的在线文档 或者 本文里评论指错,谢谢大家的共同努力:BIT研究生矩阵分析速成指南
文章有目录,标题里有⭐❗的重点看看,一定要懂哈!
本专栏内容基本涵盖考点,适用于 北京理工大学 研究生 矩阵分析课程,标⭐❗的看会基本能做计算题,足够及格,证明题主要分布在第3章和第5章。
第五章 矩阵范数 向量范数 幂级数,必考矩阵范数填空题,算列和范数、行和范数、F-范数、谱范数。大题大概率考证明。大题几乎必考幂级数收敛证明+求收敛和。
⭐考点速览
除了这些,一定要看看后面的证明题!!!
填空题

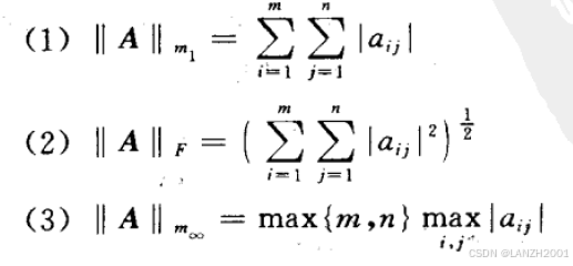
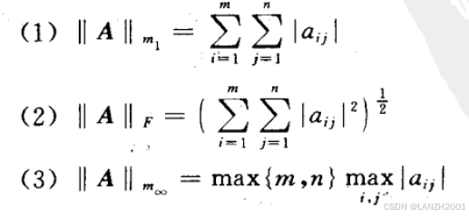
重点:Frobenius/F-范数
即:每个元素的平方和后开平方

注意谱范数求的是AHA的λ,还要开根号
可以看作是最大的奇异值。
注意列和/行和范数求和的是模(没有复数那就是绝对值)

证明题
证明是矩阵范数
记住四个定义条件,只需要证明这四个条件即可:非负,齐次,三角不等,乘法相容
(如果证明向量范数,不需要证乘法相容,只需证 非负,齐次,三角不等)

证明收敛
必考:证明收敛+求收敛和。
证明收敛很简单,求收敛半径,对比矩阵的最大特征值。
求收敛和比较麻烦,记公式吧。

向量范数
⭐定义条件
证明题会用到
非负+齐次+三角不等

p-范数计算


矩阵范数
⭐定义条件
证明题会用到
非负+齐次+三角不等+相容性

⭐Frobenious范数 _F
所有元素平方之和的开方


重点:Frobenius/F-范数
即:每个元素的平方和后开平方
诱导范数

⭐列和范数 谱范数 行和范数
-
列和范数:列元素的绝对值之和的最大值
-
谱范数:AHA的最大的特征值的开方
-
行和范数:行元素的绝对值之和的最大值

注意谱范数求的是AHA的λ,还要开根号
可以看作是最大的奇异值
注意列和/行和范数求和的是模(如果是实数,那就是绝对值)

⭐例题

⭐矩阵范数证明题
只需证明四个条件:





⭐❗矩阵幂级数收敛证明题

⭐向量范数证明题
2024年下半年考到了5-6

感谢:
Bilibili(必看):翟男不宅的个人空间-翟男不宅个人主页-哔哩哔哩视频
Bilibili(校友总结):学疯蔚然的个人空间-学疯蔚然个人主页-哔哩哔哩视频
Bilibili(校友总结):这是谁啊好难猜的个人空间-这是谁啊好难猜个人主页-哔哩哔哩视频
Github(必看):GitHub - DarkIceField/BIT_Matrix_Analysis
Bilibili:翰林苑长的个人空间-翰林苑长个人主页-哔哩哔哩视频
Bilibili:热爱读研的铛铛的个人空间-热爱读研的铛铛个人主页-哔哩哔哩视频
如有侵权,请联系删除
1786

被折叠的 条评论
为什么被折叠?



