文章汇总可见上面的专栏 或者 共享文档链接,可在下面的在线文档 或者 本文里评论指错,谢谢大家的共同努力:BIT研究生矩阵分析速成指南
文章有目录,标题里有⭐❗的重点看看,一定要懂哈!
本专栏内容基本涵盖考点,适用于 北京理工大学 研究生 矩阵分析课程,标⭐❗的看会基本能做计算题,足够及格,证明题主要分布在第3章和第5章。
Hermite矩阵 反-H矩阵
⭐正交化

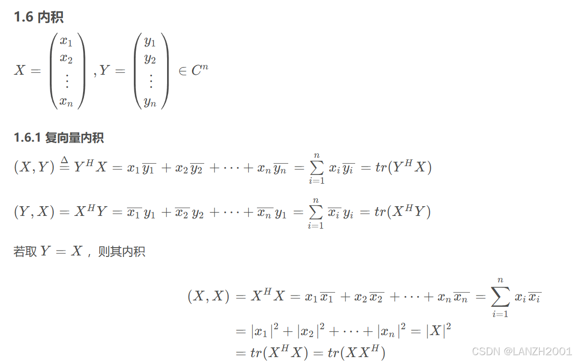
❗复数域向量内积
如果上述正交化的变量有涉及到复数的,后面那个变量取共轭

酉矩阵 正交矩阵

❗⭐酉变换例题
-
求λ
-
求对应的正交单位特征向量η
-
U=[η...]
-
得到U^H A U = diag(λ...)
-
X=UY代入f(x)
-
f(x)=λ1y1y1+...



⭐矩阵定性
正定:特征值全正数
负定:特征值全负数
半正定:特征值非负(正数+0)
半负定:特征值非正(负数+0)
不定:特征值有正有负
酉矩阵与对角矩阵
好像没有直接考过这个题,但是上面的酉矩阵变换题会用到这个内容

❗证明题





感谢:
Bilibili(必看):翟男不宅的个人空间-翟男不宅个人主页-哔哩哔哩视频
Bilibili(校友总结):学疯蔚然的个人空间-学疯蔚然个人主页-哔哩哔哩视频
Bilibili(校友总结):这是谁啊好难猜的个人空间-这是谁啊好难猜个人主页-哔哩哔哩视频
Github(必看):GitHub - DarkIceField/BIT_Matrix_Analysis
Bilibili:翰林苑长的个人空间-翰林苑长个人主页-哔哩哔哩视频
Bilibili:热爱读研的铛铛的个人空间-热爱读研的铛铛个人主页-哔哩哔哩视频
如有侵权,请联系删除
1万+

被折叠的 条评论
为什么被折叠?



