题目:
题目1:
题目描述:
C国有n个大城市和m条道路,每条道路连接这n个城市中的某两个城市。任意两个城市之间最多只有一条道路直接相连。这m条道路中有一部分为单向通行的道路,一部分为双向通行的道路,双向通行的道路在统计条数时也计为1条。
C国幅员辽阔,各地的资源分布情况各不相同,这就导致了同一种商品在不同城市的价格不一定相同。但是,同一种商品在同一个城市的买入价和卖出价始终是相同的。
商人阿龙来到C国旅游。当他得知同一种商品在不同城市的价格可能会不同这一信息之后,便决定在旅游的同时,利用商品在不同城市中的差价赚回一点旅费。设C国n个城市的标号从1-n,阿龙决定从1号城市出发,并最终在n号城市结束自己的旅行。在旅游的过程中,任何城市可以重复经过多次,但不要求经过所有n个城市。阿龙通过这样的贸易方式赚取旅费:他会选择一个经过的城市买入他最喜欢的商品——水晶球,并在之后经过的另一个城市卖出这个水晶球。用赚取的差价当作旅费。由于阿龙主要是来C国旅游,他决定这个贸易只进行最多一次。当然,在赚不到差价的情况下它就无需进行贸易。
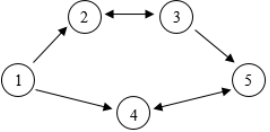
假设C国有5个大城市,城市的编号和道路连接情况如下图,单向箭头表示这条道路为单向通行。双向箭头表示这条道路为双向通行。

假设1~n号城市的水晶球价格分别为4,3,5,6,1。
阿龙可以选择如下一条线路:1->2->3->5,并在2号城市以3的价格买入水晶球,在3号城市以5的价格卖出水晶球,赚取的旅费数为2。
阿龙也可以选择如下一条线路:1->4->5->4->5,并在第1次到达5号城市时以1的价格买入水晶球,在第2次到达4号城市时以6的价格卖出水晶球,赚取的旅费数为5。
现在给出n个城市的水晶球价格,m条道路的信息(每条道路所连接的两个城市的编号以及该条道路的通行情况)。请你告诉阿龙,他最多能赚钱多少旅费。
输入格式
第一行包含 2个正整数 n 和 m,中间用一个空格隔开,分别表示城市的数目和道路的数目。
第二行 n个正整数,每两个整数之间用一个空格隔开,按标号顺序分别表示这 n个城市的商品价格。
接下来 m行,每行有 3 个正整数,x,y,z,每两个整数之间用一个空格隔开。如果 z=1,表示这条道路是城市 x 到城市 y 之间的单向道路;如果 z=2,表示这条道路为城市 x 和城市 y之间的双向道路。
输出格式
一个整数,表示答案。
数据范围
1≤n≤100000,
1≤m≤500000,
1≤各城市水晶球价格≤100
输入样例:
5 5
4 3 5 6 1
1 2 1
1 4 1
2 3 2
3 5 1
4 5 2
输出样例:
5
思路:
先求出:
从 1走到 i的过程中,买入水晶球的最低价格 dmin[i];
从 i走到 n的过程中,卖出水晶球的最高价格 dmax[i];
然后枚举每个城市作为买卖的中间城市,求出 dmax[i] - dmin[i] 的最大值即可。
求 dmin[i] 和 dmax[i] 时,由于不是拓扑图,状态的更新可能存在环,因此不能使用动态规划,只能使用求最短路的方式。
另外,我们考虑能否使用 dijkstra 算法,如果当前 dmin[i] 最小的点是 5,那么有可能存在边 5-> 6, 6-> 7, 7-> 5,假设当前 dmin[5] = 10,则有可能存在 6 的价格是11, 但 7 的价格是3,那么 dmin[5] 的值就应该被更新成3,因此当前最小值也不一定是最终最小值,所以dijkstra算法并不适用,我们只能采用 spfa 算法。
AC代码:
#include<bits/stdc++.h>
using namespace std;
typedef long long ll;
const int N = 100010, M = 2000010;
int price[N];
int h[N], rh[N], e[M], ne[M], idx;
int dmin[N], dmax[N];
bool st[N];
queue< int > q;
void add(int *h, int a, int b) // 建邻接表
{
e[idx] = b;
ne[idx] = h[a];
h[a] = idx ++ ;
}
void spfa(int *d, int start, int *h, bool flag)
{
int i,j;
memset(st, 0, sizeof st);
if (flag) memset(d, 0x3f, sizeof dmin);
q.push(start);
st[start] = true;
d[start] = price[start]; //在起点,遇到过的最小价格只能是起点处的价格
while (q.size())
{
int t = q.front();
q.pop();
st[t] = false;
//更新从当前结点走到邻接结点路上遇到过的最小价格
for (i = h[t]; ~i; i = ne[i])
{
int j = e[i];
//若到此邻接结点及之前遇到过的最小价格大于此地价格和到当前结点及之前遇到过的最小价格中的最小值
if (flag && d[j] > min(d[t], price[j]) || !flag && d[j] < max(d[t], price[j]))
{
//更新邻接点
if (flag) d[j] = min(d[t], price[j]);
else d[j] = max(d[t], price[j]);
if (!st[j]) //如果此邻接结点没入队则入队
{
st[j] = true;
q.push(j);
}
}
}
}
}
int main()
{
int i;
int n,m;
cin >> n >> m;
memset(h, -1, sizeof h);
memset(rh, -1, sizeof rh);
for (i = 1; i <= n; i ++ ) scanf("%d", &price[i]);
int a,b,c;
while (m --)
{
cin >> a >> b >> c;
add(h, a, b);
add(rh, b, a);
if (c == 2) // 若是双向,反方向也需要建立
{
add(h, b, a);
add(rh, a, b);
}
}
spfa(dmin, 1, h, true);
spfa(dmax, n, rh, false);
int res = 0;
for (i = 1; i <= n; i ++ ) res = max(res, dmax[i] - dmin[i]);
cout << res << endl;
return 0;
}
本文介绍了一种算法,用于寻找商人阿龙在旅行过程中通过买卖商品获取最大利润的最佳路线。考虑到城市间的道路连接和商品价格波动,利用SPFA算法求解最短路径问题。
751

被折叠的 条评论
为什么被折叠?



