我们在股指、货币、大宗商品和债券期货的 58 种流动性工具里都发现了显著的时间序列动量效应。我们发现收益效应会持续 1 到 12 个月,而在更长的时间会逐渐发生反转,这与情绪理论提出的初期的反应不足和延迟的过度反应相一致。一个基于时间序列动量效应的多资产标的策略,能获取大幅异常收益,并几乎不会对常用资产定价因子产生暴露。同时,该策略在极端市场条件下表现最好。通过对投机者和对冲者交易行为进行分析,我们发现投机者可以通过时间序列动量效应从对冲者身上获利。
简介
我们发现了一个普遍存在于各类资产和市场的资产定价异常现象,我们称其为“时间序列动量效应”。详细来说,根据过去 25 年的数据,我们发现对于 58 种不同的,股指、货币、大宗商品和国债的期货和远期合约的收益率,该证券自身过去一段时间的收益率具有很强的正向预测能力。也就是说,以上 58 种证券的每一种,过去 12 个月的超额收益率都是其未来收益率的正向预测指标。这种现象会持续大约 1 年并在之后逐渐反转。这个发现在回顾期和持有期都表现出了稳定性。我们发现的 12 个月时间序列动量正收益,并不是上述 58 种证券的平均效果,而是在每一种证券上都具有正收益。
时间序列动量(下文也称“TSMOM”)和金融定义中的“动量”有关但不完全一样。传统截面意义上的动量因子(下文也称“XSMOM”)是指,在过去 3 到 12 个月表现比其同类好的证券,会在未来几个月表现持续优于其他同类证券。而时间序列动量只关注某证券自身过去的收益情况。同时,时间序列动量现象印证了许多著名的行为和理性资产定价理论的预测。
我们发现的时间序列动量在更长时间会逐渐反转的现象,也许和情绪理论中初期的反应不足以及延迟的过度反应有关。不过,我们研究的结果也对这些理论提出了一些反证。首先,我们发现时间序列动量策略在不同资产类别间的相关性,比某资产类别内的相关性大一些。这说明不同资产间的时间序列动量因子具有更强的共有成分。这种相关性的结构并不能被现有的行为模型所解释。其次,不同资产市场下的不同类型的投资者同时表现出了完全相同的行为模式。最后,我们在时间序列动量和传统的投资者情绪指数之间并不能找到相关关系。
为了找出时间序列动量和传统截面动量之间的关系、它们的内在原因以及它们和理论的相关性,我们按照 Lo and Mackinlay (1990) and Lewellen (2002)的框架分别构建策略来分解收益。这种分解方法让我们能区分出不同的收益贡献来源,以及这两种因子的相同点和独特之处。我们发现期货合约中正的自协方差是这两种因子的主要收益来源,另两种收益(序列互相关和平均收益变化)的贡献很小。事实上,负的序列互相关(即证券的超前滞后效应)能解释传统截面动量收益来源,但是不能甚至反向解释时间序列动量。
我们进一步发现,尽管时间序列动量因子由完全不同的一组证券来构建,它依然可以获取个股动量(也即传统截面动量)的收益,特别是 Fama-French 的 UMD 因子的收益。这个发现表明,即使由不同资产数据构建,时间序列动量和传统截面动量之间也存在很强的相关性,并且时间序列动量可以获取传统个股截面动量的收益。
为了更好的解释时间序列动量的收益来源,我们利用商品期货交易委员会提供的周度持仓数据,研究了投机者和对冲者在这种收益模式下的交易行为。我们发现利用时间序列动量的投机者在前 12 个月利用这种动量趋势获利,并在反转时开始减仓。因此,投机者实际上是利用时间序列动量从对冲者身上获利。利用向量自回归模型我们确认了这一点。
最后,我们将时间序列动量分解为来自现货价格的预测能力与来自期货曲线的“展期收益”的分量。现货价格由信息冲击所主导,而展期收益可能由证券流动性变化和不用改变现货价格就能影响期货收益的期货市场价格压力所主导。因此,这种分解可能能帮助我们分清信息散播和对冲压力的不同影响。我们发现这两方面都对时间序列动量有贡献作用,但是只有现货价格的变化和长期反转现象有关(这与投资者会对现货市场的信息过度反应的理论一致),对冲压力长期有效并且不会被过度反应所影响。
我们在每一种证券都发现的时间序列动量效应对于“随机游走”理论是一种冲击,因为原始的“随机游走”理论认为过去的价格走势不会影响未来的价格走势。不过反驳“随机游走”理论并不代表能反驳一个更为复杂的具有时变风险溢价的市场效率概念。另外,我们能进一步展示一个基于时间序列动量的多资产标的投资组合表现十分稳健。该投资组合能获得超过 1 的年化夏普比率,并且大约是利用时间序列动量构建的股票市场的投资组合的夏普比率的 2.5 倍,同时和不佳的资产基准表现以及很多常用资产定价因子几乎无关。时间序列动量的这种不寻常的收益似乎也不受崩盘风险和小概率事件影响。
实际上,时间序列动量的这种收益会在股票市场剧烈波动时达到最大值。因此,时间序列动量可能是对极端事件的一个不错的对冲方法,而从风险角度来讲,这个事实使该因子的大幅收益溢价来源更加令人困惑。时间序列动量因子在众多不同的资产类别和市场下都能保持的稳健性可以证明我们的发现是真实存在的,该因子的短期预测能力(小于一年)和收益溢价程度对“随机游走”理论甚至“有效市场”理论都是一种巨大的冲击。
数据处理和初步准备
>>> 期货数据
我们的研究范围包括 24 种商品期货,12 种外汇期货,9 种股指期货、13 种政府债券期货,研究样本期为 1965 年 1 月至 2009 年 12 月。这些是世界上流动性最好的期货合约。我们选用这些作为研究标的既是为了避免流动性不良和陈旧价格对结果的影响,也是为了使策略在大规模交易的背景下也可以实施。
我们的收益序列如下构建:每天对每种标的,我们先计算流动性最好的期货合约的日超额收益(一般是最近到期或者次近到期的合约),然后将这些日频数据复合得到累计收益指数。对于股指期货,我们的收益序列和超过国库券利率的现金指数的相应收益几乎完全贴合。作为稳健性的测试,我们也研究了下个到期日流动性最好的期货合约(后简称“下期期货合约”)。时间序列动量在商品期货的下期期货合约上表现会更好一些,而金融类期货表现没有显著变化。
表 1 展示了期货合约超额收益的统计情况。第一列表示每种资产收益时间序列的开始日期,二、三列表示该时间序列的均值和年化标准差。如表 1 所示,不同类别期货合约收益均值差别很大。股指、债券和外汇基本都是正的平均超额收益,而商品期货平均超额收益有正有负。更大的不同出现在不同合约的收益波动率上。虽然商品和股指期货的波动率大于债券和外汇期货是意料之中的,但是商品期货间的收益波动率也有很大差异。在这些差别很大的数据间对不同资产标的作比较,或者要用这些标的构建多资产标的策略是很困难的。我们会在后续分析中讲解我们如何处理这些问题。
>>> 交易者持仓
利用从 CFTC 获得的数据,我们定义投机者净持仓为:

这种方法能表示投机者总体是多头还是空头,并且能根据未平仓头寸进行度量。因为投机者与对冲者交易之和几乎为 0,我们主要研究投机者即可。
CFTC 的持仓数据不能覆盖上述所有期货合约。表 1 的最后两列展示了平均投机者净持仓及其标准差。大部分样本期内投机者持多仓,相应的对冲者持空仓。
>>> 资产定价基准
我们根据 MSCI 全球股票指数、巴克莱综合债券指数和标准普尔 GSCI 指数来评估我们的策略收益。多空 Fama-French 因子 SMB、HML、和 UMD 来自 Ken French 的网站。

>>> 波动率预估
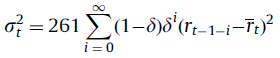
由于不同资产的波动率相差太大,我们结合收益和波动率来作比较。我们用一个很简单的模型来预估波动率:指数加权滞后平方日收益率(类似单变量 GARCH 模型)。公式如下:

式中系数 261 表示年化,权重(1-δ)δi 之和为1,rt 是指数加权平均收益,系数 δ 使得:
![]()
为了避免使用未来数据,我们用 t-1 的数据代入预测 t 期的波动率。
时间序列动量:回归分析和交易策略
我们从不同时间周期开始研究时间序列对期货收益的预测能力。
>>> 回归分析:预测价格持续和反转
我们用滞后 h 月的标的收益对标的 S 在 t 月的超额收益 rst 做回归,上述收益均用预估波动率进行调整。公式如下:
![]()
我们均用收益除以预估波动率使其处于同一维度,这类似于使用广义最小二乘法(GLS)替代一般最小二乘法(OLS)。利用全部期货合约和日期数据,我们进行混合面板回归并计算按时间分组的 t 统计量。滞后系数 h 取 1, 2, …, 60 月。

图 1 中的 A 图展示了横轴为滞后月数,纵轴为 t 统计量的回归结果。前 12 个月的正 t 统计量证明有显著的动量持续效应,更长时间维度的负值证明了反转的存在,且其中负值最大的反转出现在紧跟正趋势的下一年。
另一种度量时间序列动量预测能力的方法是只看过去超额收益的正负。我们下一部分的策略就基于这种方法构建。具体公式如下:
![]()
结果如图 1 的 B 图所示。其模式与 A 图几乎一样,都是在第一年保持正向,而在后四年发生反转。我们又分资产类别做了回归分析,结果如 C 图所示,结论与前依然相同。
>>> 时间序列动量交易策略
我们接下来研究根据时间序列动量构建的一系列交易策略的获利能力。我们测试了在回顾期调整滞后月数参数来构建不同的策略,并在持有期调整持仓月数的不同情况。
对于每种标的 S,在每一个月 t,我们计算过去 k 月它的超额收益的正负情况,若为正则开多仓,若为负则开空仓,并持仓 h 月。每月我们把持仓规模设定与预估波动率成反比,即
![]()
控制持仓规模使得预估波动率恒定有两个好处。第一,它使得在不同波动率水平下的标的的策略收益容易度量。第二,在计量经济学上,保持稳定的波动率可以排除波动较大的时间段对策略的不良影响。
对于每一种交易策略(k.h)(该策略考虑全部标的),我们都生成一个独有的月度收益时间序列。因此我们没有重叠的观测。生成方法采用 Jegadeesh and Titman(1993)的方法:t 时刻的收益为该时刻全部持仓的平均收益,包括上个月开的仓,再上个月开的仓等等,只要仍然在持有。我们记这个收益为
![]()
为了评估这些策略的异常表现,我们用下面这个回归公式来计算策略 alpha:

这里的 6 个因子依次代表之前提到的 MSCI 全球指数、巴克莱综合债券指数和标准普尔 GSCI 指数以及 Fama-French 的规模因子 SMB、价值因子 HML 和截面动量因子 UMD。为了保证大部分标的都有数据,我们采用 1985 年以后的数据进行测试。
表 2 展示了计算出的单个资产和全资产 alpha 的 t 统计量。时间序列动量效应在各个维度上都显著存在于全资产类别,特别当回顾期和持有期为 12 个月以内时最为显著。

时间序列动量因子
为了更深入的研究时间序列动量,我们主要研究某一个时间序列动量策略。结合传统截面动量的经验和我们之前的研究,我们接下来研究 12 个月的时间序列动量策略持仓 1 个月的性质(即 k=12,h=1),下面称作 TSMOM。
>>> 单证券 TSMOM 与多资产标的的 TSMOM 因子
我们先单一分析每一个标的然后分析一个多资产标的 TSMOM 策略。我们设定持仓规模使得预估波动率为 40%,也就是持仓规模为 。选取 40%不是重点,这样选取是为了之后好作比较,因为 40%的年化波动率和平均一只股票的风险相近。当我们等权平均策略内全部标的的收益来代表 TSMOM 因子的时候,它在 1985-2009 的样本期的年化波动率为 12%,这和其他常用因子差不多。因此在时刻t标的 S 的 TSMOM 收益由下式计算得出:
![]()
我们计算了从 1985 年 1 月到 2009 年 12 月的每一个月每种标的的 TSMOM收益。图 2 的第一张图展示了每种期货合约 TSMOM 策略的年化夏普比率。如图所示,全部 58 种期货合约的过去一年的收益都展现出了正的预测能力,即正的时间序列动量收益,并且有 52 种在 5%的显著比例下显著不为 0。如果我们限制只能开多仓,那么 90%的标的能取得正 alpha,并且 26%正显著、负的均不显著。因此,对大部分标的来讲,时间序列动量策略只开多仓也能获取超额收益。
如果我们构建一个多资产标的策略,那么在t时刻,策略总收益为:

在下一部分我们继续分析策略的风险和收益情况。
>>> 风险因子的 alpha 和载荷
表 3 展示了一个多资产标的 TSMOM 策略风险调整后的表现以及因子暴露情况。表 3 的 A 表展示了用 MSCI 全球股指的收益,加上 Fama-French 的 SMB、HML、UMD(代表意义如前所述)对 TSMOM 策略的超额收益做回归。无论按月度数据还是季度数据,TSMOM 相对上述因子都展现出了显著的 alpha,月度为 1.58%,季度为 4.75%。TSMOM 策略在市场、SMB、HML 三个因子上的暴露并不显著,但是在 UMD 因子,即传统截面动量上有显著暴露,这说明传统截面动量可以解释时间序列动量的部分收益来源,但正显著的截距项表示并不能完全解释其收益来源。

表 3 的 B 表展示了用 Asness, Moskowitz, and Pedersen (2010)的价值和动量因子代替 Fama-French 的因子的回归情况。这些因子也是截面因子。回归得到的结论与前相同,市场和价值因子依然不能显著解释时间序列动量,而截面动量可以解释时间序列动量但不能完全解释。
>>> 长时间和极端市场下的表现
图 3 画出了多资产标的时间序列动量策略长时间的累积对数超额收益曲线。作为对比,我们也画出了多资产被动多头策略的累积对数超额收益曲线,并保证两个策略里每个标的的风险都相同。如图 3 所示,多资产标的时间序列动量策略长时间稳定获取正的超额收益,并且表现优于被动多头策略。

图 3 曲线在 2008 年第四季度有明显上升,而 2008 年第四季度正是全球金融危机最为严重的时刻。这时候商品和股票价格暴跌、债券升值、汇率大幅震荡。时间序列动量实际上在 2018 年第三季度出现了回撤,但是也因此很快转变为持有空仓,并在 2018 年第四季度这些资产持续回落时获取了大幅收益。当然在 2009 年三、四、五月金融危机结束的时候,策略也出现了大幅回撤。像时间序列动量这样的跟踪趋势的因子在趋势转变的时候确实容易承受损失。
图 4 画出了 TSMOM 相对于标普 500 指数的收益情况。我们发现,TSMOM 的收益在市场上涨或下跌最大的时候达到最大值。为了测试这个发现的统计上的显著性,表 3 的 C 表展示了 TSMOM 收益相对于市场收益及其平方的回归情况。显然市场收益本身的系数并不显著,而市场收益的平方具有显著正系数,这也印证了我们的发现。

>>> 流动性和市场情绪
我们测试了流动性不良的情况对 TSMOM 因子收益的影响。如表 3 中的 C 表所示,TSMOM 因子的收益与流动性和市场情绪之间的关系都不显著。
>>> 相关性结构
表 4 展示了时间序列动量策略的相关性结构,并与被动多头策略的相关性结构做了对比。表 4 的 A 表第一行表示 TSMOM 策略内每种资产类别内的标的两两相关性的平均数,均为正可以说明在同一时刻该资产类别内所有标的都倾向于开同一种仓(即都开多仓或空仓)。第二行是被动多头策略的情况,除了外汇的相关性为负之外,其他三种资产的相关性系数比上一行还要大。
表 4 的 B 表展示了同一策略内不同资产间的相关系数。我们先分别计算 TSMOM 策略内每种资产类别的总收益,再计算它们之间的相关性。我们也计算了被动多头策略的相关性结构作为对照。综合来看,有某种共有成分在不同资产类别间影响了时间序列动量策略,但是这种成分不能被不同资产类别内的标的资产所解释。这与前人在截面动量因子上的发现一致。
时间序列动量因子与传统截面动量因子
前文研究表明时间序列动量因子与传统截面动量因子之间显著相关,这一部分里我们将深入研究它们之间的区别与联系。
>>> 用传统截面动量因子对时间序列动量因子做回归
表 5 的 A 表展示了用传统截面动量因子(XSMOM)对时间序列动量因子(TSMOM)做回归的结果。第一行回归结果显示 TSMOM 和 XSMOM 高度相关,系数为 0.66,t 统计量为 15.17,R 方为 44%,但是截距依然有t统计量为5.90 的显著的每月 0.76%的 alpha 不能被 XSMOM 解释。所以说 TSMOM 和 XSMOM 并不完全一样。第二行将 XSMOM 收益分资产类别统计,并加入个股收益(该项不在TSMOM中)再对 TSMOM 总收益进行回归,发现每一项都能显著解释 TSMOM 总收益,但仍然留下了显著的不能解释的截距项。
接下来我们继续将 TSMOM 策略也分资产类别计算收益,并分别回归。我们发现在每一项资产类别内,XSMOM 都能显著解释 TSMOM,但也都留下了显著的截距项,这些结果也都与我们之前的研究和结论吻合。

>>> 时间序列动量因子能否解释传统截面动量以及其他因子
表 5 的 C 表展示了将 TSMOM 用作回归中的解释项的结果,前五行结果显示 TSMOM 能显著解释 XSMOM 全部以及分资产类别的收益,并且剩下的截距项统计意义上不显著。唯一的正 alpha 出现在 XSMOM 的股指期货上。第六行我们又测试了 UMD 因子。UMD 因子是根据美国个股数据构建的,所以实际在投资标的上与我们的 TSMOM 因子并没有重叠部分,但是 TSMOM 因子依然能显著解释 UMD 因子,并且截距项不显著。另外,对 HML 和 SMB 因子的回归结果显示,TSMOM 因子并不能解释价值和规模因子。最后,我们又对两个知名的对冲基金指数(“Managed Futures”和“Global Macro”)做了回归分析,结果显示 TSMOM 都能显著解释这两个指数的平均收益,并且能完全解释“Managed Futures”的平均收益。
TSMOM 因子的优良表现和它能够解释很多知名的资产定价因子(如传统截面动量和对冲基金策略)的能力,证明其能代表资产定价行为的一个特征。未来进一步研究或许应该考虑时间序列动量与其他资产定价现象之间的关系。
谁在顺趋势交易:投机者还是对冲者?
图 5 展示了按 TSMOM 因子的信号出现后,每种资产标的中投机者的历史平均持仓情况。白轴表示正信号出现,黑轴表示负信号出现。统计显示,几乎在每一种标的项下,投机者都在 TSMOM 出现正信号时平均持有多仓,负信号时平均持有空仓;并且平均持有多仓要比平均持有空仓多一些。只有标普 500 股指期货项下该情况出现了一次反转,但是其平均持仓十分接近于 0。综合来看,由于我们之前的研究表明跟随 TSMOM 信号可以获利,投机者是顺趋势交易从对冲者身上获利的。
>>> 时间序列动量因子的推演
接下来我们考虑随时间推移,这些持仓的动态变化情况。我们之前的研究表明时间序列动量会持续大约一年并在之后略微反转,我们进一步研究这种收益模式并试图将其和持仓的变化联系起来。
为了考虑 TSMOM 的推演情况,我们按如下方式进行研究:
• 对于每个月份和标的,我们先判明过去 12 个月的超额收益的正负;
• 对于每一组过去 12 个月的超额收益为正的时间--标的,我们计算从过去 12 个月到未来 36 个月的收益。对负的组合也分别计算;
• 然后我们把这些收益标准化使其沿时间和两组均值都为 0;
• 分别计算正组合和负组合的累计收益,并且使当前时间的收益为 1。
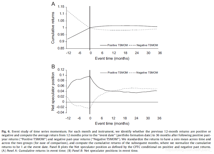
图 6 的 A 图展示了在正的和负的时间序列动量下的累计收益曲线。当前时间左侧,如定义,正组合曲线显然呈上升趋势,负组合曲线呈下降趋势。当前时间右侧,我们可以看到正组合曲线仍会再上升 1 年左右然后略微反转。这和情绪理论里的初期反应不足和延迟的过度反应一致。负组合曲线情况也类似。
图 6 的 B 图展示了和正、负时间序列动量收益一致的投机者净持仓的推演情况。我们看到,对于正 TSMOM,投机者从月份-12 到 0 逐渐加仓,并在之后的 1 年时间逐渐回归到持仓均值。值得注意的是,我们是根据收益情况构建模型而不是根据持仓情况。
图 6 的模式说明投机者的交易行为并没有滞后于收益,他们在收益接近峰值的时候就开始减仓了,而相对的,在收益接近峰值时对冲者却在加仓。也就是说,过度反应现象来自于对冲者,而不是投机者。尽管收益和持仓的变化情况之间的因果关系并不能因此简单确定,图 6 的结果也能说明投机者和对冲者的持仓情况和时间序列动量的获利能力是紧密相关的。

>>> 收益和持仓的联合动态分析
为了更正式地分析交易模式和收益,我们用向量自回归(VAR)模型来研究时间序列动量收益和投机者净持仓的变化的联合动态。我们用滞后 24 个月的收益和投机者净持仓的变化来拟合一个月度双变量 VAR,并且画出受到收益冲击后的收益和投机者净持仓的应激反应曲线。
我们先对收益残差的协方差矩阵做 Cholesky 分解,并考虑一个标准差的冲击对合约收益的影响。图 7 画出了价格冲击对合约累计收益率和投机者净持仓变化的应激反应曲线。如 A 图所示,在收益冲击之后收益会持续上升 1 年左右然后略微反转,投机者净持仓短时间内略微增加,但之后迅速下降,并在 1 年左右回归到 0。这印证了我们之前的观点。
时间序列动量的获利能力的一种可能的解释是,投机者通过给对冲者提供流动性获利。下面我们进一步研究交易持仓和期货收益的来源对收益预测的影响。特别地,我们研究了现货价格或者说期货展期收益对时间序列动量预测能力的贡献,以及它们和交易持仓之间的关系。

>>> 持仓、价格变化和展期收益的收益预测能力
我们将每个期货合约过去的收益分解为现货价格的变化和期货展期收益两方面。我们定义现货价格变化相对无风险收益的超额为:
![]()
价格由最近到期的期货价格衡量,无风险收益为过去 12 个月的无风险收益,借此我们定义展期收益(Roll return)为:
![]()
对于金融期货,由于没有仓储费和便利收益,它的展期收益几乎为 0,但是在商品市场存在着高额展期收益。期货收益由最高额展期或次近到期的合约算出,这样有可能和仅用最近到期的合约计算的现货收益率在到期日上有所差别。
我们的推测是,展期收益主要受对冲者的价格压力影响,而现货价格变化主要受信息传播影响。图 7 的 B 图是利用我们之前提到的 VAR 模型画出的现货价格变化和投机者净持仓的应激反应曲线(与 A 图相比仅是将期货价格曲线改为现货价格曲线)。其曲线与 A 图几乎一样,同样印证了趋势持续大约 1 年并在之后反转的现象。图 7 的C图又将现货价格收益曲线替换为展期收益曲线,这回曲线与之前完全不同。对于展期收益的冲击是展期收益持续上升并且对投机者净持仓几乎没有影响。这和投机者愿意放弃展期收益而享受对冲利益有关,而为对冲者提供流动性的投机者借此获利。
最后,我们回到最初的收益预测回归分析,同样是对 12 个月的收益预测能力,不过这次关注现货价格、展期收益以及它们和投机者持仓的结合,对于收益的预测能力。我们用 TSMOM、合约现货价格变化、合约展期收益变化、投机者持仓变化和投机者持仓水平,分别对期货收益做回归。表 6 的前 5 行是这 5 个因子分别对收益做单变量回归,结果显示它们都对未来收益有一定的显著正解释能力。然而在多元回归时,投机者持仓变化变得不显著了,这意味着对过去收益做了控制之后,投机者持仓的预测能力会下降。现货价格和展期收益在多元回归时显示出的预测能力几乎相同,因此它们的结合,也就是期货收益的预测能力也和它们一致。表 6 的结果表明时间序列动量的预测能力同时来源于现货价格和展期收益。

总结
我们在对股指、货币、大宗商品和债券期货的 58 种流动性工具的过去 25 年数据的研究中,都发现了显著的时间序列动量效应,并且这种效应和传统截面动量不同,尽管二者具有相关性。时间序列动量因子在许多不同的资产内,都存在强力且持续的收益预测能力,并且对常用风险因子暴露很小,在极端市场下表现也很好,这些现象都对“随机游走”理论和理性定价理论提出了挑战。我们发现收益效应会持续 1 到 12 个月,而在更长的时间会逐渐发生反转,这与情绪理论提出的初期的反应不足和延迟的过度反应相一致。通过对投机者和对冲者交易行为进行分析,我们发现投机者可以通过时间序列动量效应从对冲者身上获利。
点击【阅读原文】,文末获取完整英文原文~
研究发现,时间序列动量(TSMOM)在期货市场广泛存在,对多种资产类别有显著的正向预测能力,尤其是在1到12个月的时间范围内。时间序列动量策略在不同市场条件下的表现优于被动多头策略,特别是在极端事件中,如金融危机期间。投机者通过捕捉时间序列动量效应,从对冲者身上获利。此外,TSMOM因子与传统截面动量(XSMOM)相关但不完全相同,且能解释部分对冲基金策略的收益。尽管TSMOM收益存在长期反转现象,但其短期预测能力和收益溢价对市场效率理论构成挑战。
8318

被折叠的 条评论
为什么被折叠?



