鹭羽 发自 凹非寺
量子位 | 公众号 QbitAI
陶哲轩携手Gemini,十分钟破解数学难题!
还是他本人擅长的连续整数结构的乘法数论问题。

该问题建立在前人并不完整的反证基础上,陶哲轩借助Gemini Deep Think进行证明补全。
全程只用了十分钟,Gemini就从论证分析打通了结论确认。

而这也并非孤例,陶哲轩发现,在Erdős问题网站上,类似的情况时有发生,最近陆陆续续有6个困扰数学界多年的Erdős难题通过AI辅助方法,得以解决。
还有许多研究者正在系统性地使用AI工具进行相关文献资料的查询,并作为解题思路留在评论区。

而这次陶哲轩使用的模型Gemini 2.5 Deep Think,想必大家也并不陌生。
正是此前的IMO金牌得主,在最新的FrontierMath测试中,其数学能力也远超GPT-5(high)等模型。

下面来看详细验证过程:
Gemini用十分钟完成验证
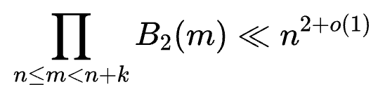
首先回到问题本身,这是由Paul Erdős提出的#367号问题:
该问题设定 为整数n的2-full部分,即 ,其中 为 中幂为1的素因子之积。
简单来说,就是 会把 中所有只出现一次的素因子去掉,只保留指数至少为2的部分。
然后对于任意固定的 ,是否存在常数,使得对所有足够大的 均满足:

甚至再极端一些,满足 。

换言之,就是需要验证该条件中的极限上确界是否存在。
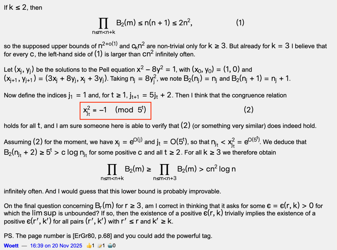
而就在几天前,数学家Wouter van Doorn对该问题的第二部分,基于一个未验证的同余恒等式,提出了相应的反证。

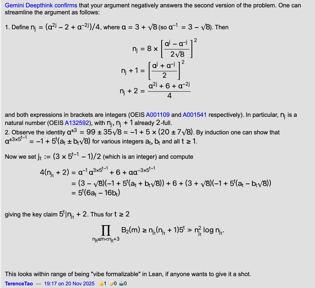
陶哲轩注意到了这个过程,于是将该恒等式连同问题本身一起交给了Gemini Deep Think进行完整证明,并确认整个论证过程。
结果只用了十分钟,Gemini就完成了上述过程。
在此基础上,陶哲轩又用了半小时,手动将Gemini的p-adic代数数论证明转换为更为基础的论证方式。

两天后,Boris Alexeev使用Harmonic的Aristotle工具(可直接从英语/LaTeX源代码中自动形式化处理),完成了对该证明的Lean形式化,总耗时两到三小时。

至此,该问题在Gemini和人类数学家的协同合作下,得以解决。
后续,陶哲轩为了完整起见,还额外用ChatGPT DeepResearch和Gemini DeepResearch进行了相关文献查询。
它们都能识别出该内容属于#367 问题,但在与之密切相关的问题#366 上仍然会存在混淆的情况出现。
二者均提及了与#367 和 #366 相关的佩尔方程构造,以及在连续幂数(特别是假设abc猜想成立的情况下)的最新进展,但它们都没有发现,在问题页面下方的评论处已经出现了对该问题第二部分的证伪,并且仍然宣称该问题尚未得到解决。

One More Thing
事实上,这已经不是陶哲轩第一次用AI辅助解决数学工作,早在三年前ChatGPT刚发布时,他就敏锐地察觉到AI将在数学证明上大有所为。
虽然最初的结果并不让他满意,但随着模型数学推理能力的进步,AI已经能够和数学家配合默契:
在AI的协助下,数学将在未来拥有更多的实验,而不仅仅是理论。

而对于那些对数学领域抱有热忱,但缺乏相关知识学习的人来说,AI也将帮助他们达到难以想象的深度。

不过也有网友表示,要警惕AI幻觉错误,AI的验证过程往往隐藏着容易被忽略的基础错误,这时候就需要数学家细心纠正。

这也是陶哲轩一直以来的观点,AI不会完全取代数学家,而是充当数学家证明的中介。
AI将帮助数学家发现其它可以探寻的路径。

参考链接:
[1]https://mathstodon.xyz/@tao/115591487350860999
[2]https://news.ycombinator.com/item?id=46017972
[3]https://www.erdosproblems.com/forum/thread/367
一键三连「点赞」「转发」「小心心」
欢迎在评论区留下你的想法!
— 完 —
🔊 快来量子位MEET2026智能未来大会,与我们畅聊AI吧!
张亚勤、孙茂松等AI行业重磅嘉宾,以及百度、京东、高通、亚马逊等头部AI企业已确认出席,RockAI、太初元碁、自变量、小宿科技等业内新秀也将参与分享,还有更多嘉宾即将揭晓 👉 了解详情
📍 12月10日
📍 北京金茂万丽酒店
一键报名线下参会,期待与你共论AI行业破局之道 

🌟 点亮星标 🌟
34

被折叠的 条评论
为什么被折叠?



