混元基础模型团队 投稿
量子位 | 公众号 QbitAI
图像生成不光要好看,更要高效。
混元基础模型团队提出全新框架MixGRPO,该框架通过结合随机微分方程(SDE)和常微分方程(ODE),利用混合采样策略的灵活性,简化了MDP中的优化流程,从而提升了效率的同时还增强了性能。

基于MixGRPO,研究人员提出了一个更快的变体MixGRPO-Flash,在保持相近性能的同时进一步提升了训练效率。
MixGRPO在人类偏好对齐的多个维度上均表现出显著提升,效果和效率均优于DanceGRPO,训练时间降低近50%。值得注意的是,MixGRPO-Flash可将训练时间进一步降低71%。

开源代码请参考文末链接。
MixGRPO模型解析
GRPO中的ODE-SDE混合采样
近年来,文本到图像(Text-to-Image,T2I)任务的最新进展表明,通过在后训练阶段引入基于人类反馈的强化学习(Reinforcement Learning from Human Feedback,RLHF)策略以最大化奖励,流匹配模型的性能得到了显著提升。
具体而言,基于组相对策略优化(Group Relative Policy Optimization,GRPO)的方法近期被提出,能够实现与人类偏好的最佳对齐。
当前概率流模型中的GRPO方法,如Flow-GRPO和DanceGRPO,在每个去噪步骤中利用随机微分方程(Stochastic Differential Equations,SDE)采样引入图像生成的随机性,以解决RLHF中对随机探索的依赖。
它们将去噪过程建模为随机环境下的马尔可夫决策过程(MDP),并使用GRPO优化整个状态-动作序列。
然而,由于去噪迭代过程带来的巨大开销,这显著降低了训练速度。
具体来说,为了计算后验概率的比值,必须分别使用旧策略模型
和新策略模型
独立完成全步骤采样。
虽然DanceGRPO提出了随机选择部分去噪步骤进行优化的方法,但研究团队在图1中的实证分析表明,随着所选子集规模的缩小,性能会出现显著下降。
△图1.不同优化去噪步骤数量下的性能对比
根据Flow-GRPO,流匹配中的SDE采样可以被构建为一个随机环境下的马尔可夫决策过程(MDP)
。
在采样过程中,智能体生成一条轨迹,定义为
,并获得奖励
。
在MixGRPO中,研究团队提出了一种结合SDE与ODE的混合采样方法。MixGRPO定义了一个区间
,它是去噪时间范围
的子区间,满足
。
在去噪过程中,他们在区间
内采用SDE采样,区间外采用ODE采样,且区间
会随着训练过程从
逐步移动到0(见图2)。
△图2.不同采样策略下采样图像的t-SNE可视化
MixGRPO将智能体的随机探索空间限制在区间
内,将MDP的序列长度缩短为子集
,并仅对该子集进行强化学习(RL)优化:

MDP中的其他设置保持不变。MixGRPO不仅降低了计算开销,同时也减轻了优化难度。接下来,研究团队推导MixGRPO的具体采样形式和优化目标。
对于确定性的概率流ODE,其形式如下:

其中,
是称为漂移系数的向量值函数,
是称为扩散系数的标量函数。
是时刻
的得分函数。
根据Fokker-Planck方程(risken1996fokker),song2020score证明了式(2)具有以下等价的概率流SDE,该SDE在每个时间点
保持相同的边际分布:

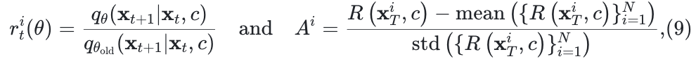
在MixGRPO中,研究团队将ODE和SDE混合用于采样,具体形式如下:

具体来说,对于Flow Matching(FM),尤其是Rectified Flow(RF),采样过程可以看作是一个确定性的ODE:

式(5)实际上是式(2)的一个特例,其中速度场
。因此,他们可以推导出RF的ODE-SDE混合采样形式如下:

在RF框架中,模型用于预测确定性ODE的速度场,表示为
。根据liu2025flow,score函数表示为
。噪声的标准差表示为
。
根据标准维纳过程的定义,他们使用
对SDE采用Euler-Maruyama离散化,对ODE采用Euler离散化,设
为包含从
到
之间所有时间步的集合,他们构建了MixGRPO中的最终去噪过程如下:

MixGRPO中的训练过程与Flow-GRPO和DanceGRPO类似,但他们仅需对区间
内采样的时间步进行优化。最终的训练目标表示为:

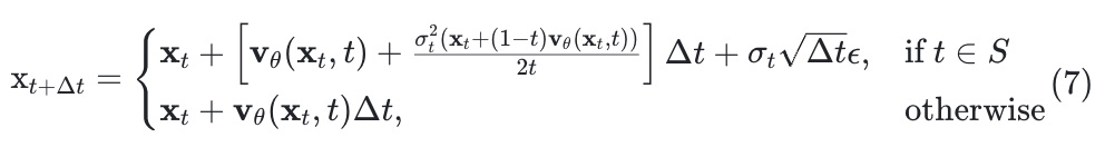
其中,
称为策略比率(policy ratio),
为优势函数(advantage score)。研究团队设定
,

其中,
由奖励模型提供。
需要注意的是,研究团队省略了KL Loss。
尽管KL Loss在一定程度上可以缓解reward hacking问题,但受flow_grpo_issue7的启发,他们在测试阶段采用混合模型采样(mixed model sampling),这能够显著解决奖励劫持问题(详见附录A)。
与对所有时间步进行优化相比,MixGRPO降低了策略
的函数评估次数(NFE,Number of Function Evaluations)。
然而,策略
的NFE并未减少,因为需要完整推理以获得用于奖励计算的最终图像。
对于旧策略模型的采样加速,研究团队将在后面通过引入高阶求解器进行优化。
综上所述,混合ODE-SDE采样在显著降低计算开销的同时,保证了采样过程不会偏离单独ODE或SDE采样在每个时间步的边际分布,这得益于概率流(probability flow)的等价性。
作为优化调度器的滑动窗口
实际上,区间
在训练过程中可以是非固定的。沿着离散的去噪时间步序列
,MixGRPO 定义了一个滑动窗口
,并且仅在该窗口内的时间步上进行优化。

其中,
是滑动窗口的左边界,
是表示窗口大小的超参数。滑动窗口的左边界
会随着训练的进行而移动。
在实验中,研究团队发现窗口大小
、移动间隔
以及窗口步长
都是关键的超参数。
通过消融研究(详见实验4.4.1),他们确定了最优的参数设置。当总采样步数
时,最佳性能对应的参数为
、
和
。详细的滑动窗口策略及MixGRPO算法可参见算法1。
△算法1.MixGRPO的训练过程
限制在滑动窗口内使用SDE采样,不仅保证了生成图像的多样性,还使模型能够集中精力优化该窗口内的流动。沿着去噪方向的移动反映了概率流从强到弱的随机性,如图2所示。
这本质上是一种贪心策略,类似于强化学习中为处理奖励而分配折扣因子的做法,即在早期过程给予来自更大搜索空间的奖励更高的权重。
研究团队发现,即使滑动窗口保持不动(Frozen),仅优化较早的时间步,MixGRPO依然能够取得良好效果,尤其是在ImageReward和UnifiedReward指标上表现突出。
基于此直觉,他们还提出了如下的指数衰减策略,使得
随去噪步数的增加而减小,从而使模型能够更专注于在更大搜索空间内进行优化。

其中,
是初始移动间隔,
是衰减因子,
是控制衰减开始时机的阈值。指数函数
计算的是
,而修正线性单元
定义为
。
开销与性能之间的权衡
MixGRPO在滑动窗口内采用SDE采样,窗口外则采用ODE采样,从而允许使用高阶ODE求解器加速GRPO训练时的采样过程。
利用ODE采样的时间步被划分为滑动窗口之前和之后两部分。
滑动窗口之后的时间步仅影响奖励计算,而窗口之前的时间步既影响奖励,也会对策略比率计算中的累积误差产生贡献。
因此,研究团队重点关注滑动窗口之后时间步的加速。
gao2025diffusionmeetsflow已证明流匹配模型(FM)的ODE采样与DDIM等价,且上述过程也表明扩散概率模型(DPM)与FM在去噪过程中共享相同的ODE形式。
因此,专为DPM采样加速设计的高阶ODE求解器,如DPM-Solver系列、UniPC,同样适用于FM。
研究团队已将DPM-Solver++重新形式化,以便在FM框架中应用于 ODE 采样加速,详细推导见附录B。
通过应用高阶求解器,他们实现了GRPO训练过程中对
采样的加速,这本质上是在计算开销与性能之间的权衡。
过度加速会导致时间步数减少,必然引起图像生成质量下降,进而在奖励计算中积累误差。
实践中研究团队发现,二阶DPM-Solver++足以显著加速,同时保证生成图像与人类偏好高度一致。
最终,他们采用了渐进式和冻结式滑动窗口策略,提出了MixGRPO-Flash和MixGRPO-Flash*。算法的详细描述见附录C。这些方法相比MixGRPO实现了更大程度的加速,同时在性能上也优于DanceGRPO。
MixGRPO多方面表现最佳
实验设置
数据集
研究团队使用HPDv2 数据集中提供的提示词进行实验,该数据集是 HPS-v2 基准的官方数据集。
训练集包含103,700条提示词;实际上,MixGRPO 在仅使用9,600条提示词训练一个epoch后,就已取得良好的人类偏好对齐效果。
测试集包含400条提示词。提示词风格多样,涵盖四种类型:“动画”(Animation)、“概念艺术”(Concept Art)、“绘画”(Painting)和“照片”(Photo)。
模型
继承自DanceGRPO,研究团队采用基于流匹配的先进文本生成图像模型 FLUX.1 Dev作为基础模型。
开销评估
在评估计算开销时,研究团队采用了两个指标:函数调用次数(NFE)和训练过程中每次迭代的时间消耗。
NFE分为
和
两部分。
表示用于计算策略比率和生成图像的参考模型的前向传播次数;
则是仅用于计算策略比率的策略模型的前向传播次数。
此外,GRPO每次迭代的平均训练时间能够更准确地反映加速效果。
表现评估
研究团队使用四个奖励模型作为训练中的奖励指导及性能评估指标,分别是HPS-v2.1、Pick Score、ImageReward和Unified Reward。
这些指标均基于人类偏好,但侧重点不同,例如ImageReward强调图文对齐和图像保真度,而Unified Reward更关注语义层面。
DanceGRPO也证明了多奖励模型的使用能带来更优效果。为验证MixGRPO的鲁棒性,研究团队同样遵循DanceGRPO,进行了仅使用HPS-v2.1单一奖励以及结合HPS-v2.1与CLIP Score的多奖励对比实验。
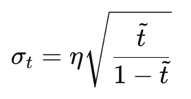
在训练时采样方面,首先对均匀分布的时间步
进行变换,计算
,然后定义
。
其中,
作为缩放参数,采样总步数设为
。
在GRPO训练中,模型针对每个提示词生成12张图像,并将优势函数裁剪到区间
内。需要特别说明的是,研究团队采用了3步梯度累积,这意味着在一次训练迭代中实际进行了
次梯度更新。
对于滑动窗口的指数衰减策略(见公式11),他们经验性地设置参数为
和
。此外,当多个奖励模型联合训练时,各奖励模型的权重均等分配。
在训练设置上,所有实验均在32块Nvidia GPU上进行,批量大小为1,最大训练迭代次数为300次。
优化器采用AdamW(loshchilov2017decoupled),学习率设为1e-5,权重衰减系数为0.0001。训练过程中使用混合精度,采用bfloat16(bf16)格式,而主权重参数保持全精度(fp32)。
主实验
在主实验中,四个基于人类偏好的奖励模型按照优势函数(advantages)进行了加权聚合,具体算法见算法1。
研究啊团队对MixGRPO与DanceGRPO的开销和性能进行了对比评估,结果汇总于表1。

△表1.计算开销与性能的对比结果显示
官方DanceGRPO采用的函数调用次数为
,为保证公平性,他们同时测试了
的DanceGRPO。
对于MixGRPO-Flash,他们评估了渐进式(progressive)和冻结式(frozen)两种策略,并且为了公平起见,也对DanceGRPO采用了冻结式策略。
研究团队选取了多个场景提示语,对FLUX.1 Dev、官方配置的DanceGRPO以及MixGRPO的生成结果进行了可视化展示,见图3。

△图3.定性比较
结果表明,MixGRPO在语义表达、美学效果及文本-图像对齐度方面均取得了最佳表现。
图4展示了在
条件下,DanceGRPO、MixGRPO及MixGRPO-Flash的对比结果。
可以观察到,在相同开销下,MixGRPO的表现优于DanceGRPO;同时MixGRPO-Flash通过加速采样
,在降低开销的同时,生成图像的质量依然与人类偏好保持高度一致。
△图4.不同训练时采样步数的定性比较
沿用DanceGRPO的实验设计,研究团队还在HPDv2数据集上,分别使用单一奖励模型和双奖励模型进行了训练与评估。
结果(见表2)显示,无论是单奖励还是多奖励,MixGRPO 在域内和域外奖励指标上均取得了最佳性能。更多可视化结果详见附录D。
△表2.域内与域外奖励指标的比较结果
消融实验
滑动窗口超参数
如上述所讲,滑动窗口的重要参数包括移动策略、移动间隔
、窗口大小
以及窗口步长
。
研究团队对这些参数分别进行了消融实验。针对移动策略,他们比较了三种方法:frozen(窗口保持静止)、random(每次迭代随机选择窗口位置)以及progressive(滑动窗口随去噪步骤逐步移动)。
对于progressive策略,他们测试了不同的调度方式,其中间隔
初始设为25,随后随训练迭代发生变化。
正如表3所示,结果表明在progressive策略下,指数衰减和恒定调度均为最优选择。
△表3.移动策略的对比
对于移动间隔
,25是最佳设置(详见表4)。
△表4.移动间隔的对比
随着窗口大小
的增大,
的推理次数也随之增加,导致时间开销加大。
研究团队比较了不同的
设置,结果如表5所示。
△表5.窗口大小对比
最终,研究团队选择
作为开销与性能之间的平衡点。对于窗口步长
,实验结果表明
是最优选择,详见表6。
△表6.窗口步长对比
高阶ODE求解器
MixGRPO通过结合随机微分方程(SDE)和常微分方程(ODE)的采样方法,实现了利用高阶ODE求解器加速ODE采样的可能性。
研究团队首先针对求解器的阶数进行了消融实验,使用DPM-Solver++作为高阶求解器,并采用progressive策略。结果如表7所示,表明二阶中点法是最优设置。
△表7.不同阶数求解器的性能比较
随后,研究团队比较了两种加速方案:一种是采用progressive窗口移动策略的MixGRPO-Flash,另一种是采用frozen移动策略的MixGRPO-Flash*。
两者均通过减少窗口后端的ODE采样步数,在开销与性能之间取得了平衡。
然而,实际应用中,MixGRPO-Flash需要窗口在整个训练过程中持续移动,导致被加速的ODE部分较短。
因此,平均来看,MixGRPO-Flash的加速效果不及MixGRPO-Flash*明显。

△表8.MixGRPO-Flash中progressive和frozen策略的比较
总结与展望
由于现有基于流匹配的GRPO面临采样效率低和训练缓慢等挑战,研究团队提出了MixGRPO,一种结合了SDE和ODE采样的新型训练框架。
该混合方法使得优化能够聚焦于SDE采样流部分,降低了复杂度的同时保证了奖励计算的准确性。
受强化学习中衰减因子的启发,研究团队引入了滑动窗口策略来调度优化的去噪步骤。实验结果验证了所提方法在单奖励和多奖励设置下的有效性。
此外,MixGRPO解耦了去噪阶段的优化与奖励计算,使得后者能够通过高阶求解器实现加速。
基于MixGRPO,研究团队进一步提出了MixGRPO-Flash,在开销与性能之间实现了平衡。
最后,他们希望MixGRPO能够激发图像生成后训练领域的深入研究,进一步推动通用人工智能的发展。
项目主页:https://tulvgengenr.github.io/MixGRPO-Project-Page/
论文链接:https://arxiv.org/abs/2507.21802
代码链接:https://github.com/Tencent-Hunyuan/MixGRPO
114

被折叠的 条评论
为什么被折叠?



