
> Photo by Jeremy Bishop on Unsplash
学习线性回归的概念并从头开始在python中开发完整的线性回归算法
机器学习的最基本算法必须是具有单个变量的线性回归算法。如今,可用的高级机器学习算法,库和技术如此之多,以至于线性回归似乎不是那么重要。但是,学习基础知识总是一个好主意。这样,您能更好的清楚地理解这些概念。在本文中,我将逐步解释线性回归算法。
想法和公式
线性回归使用非常基本的预测思想。公式如下:
Y = C + BX
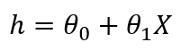
我们在学校都学过这个公式。提醒您,这是一条直线方程。在此,Y是因变量,B是斜率,C是截距。通常,对于线性回归,它写为:

在这里," h"是假设或预测的因变量,X是输入特征,theta0和theta1是系数。Theta值从头开始随机初始化。然后使用梯度下降,我们将更新theta值以最小化成本函数。这是成本函数和梯度下降的解释。
成本函数和梯度下降
成本函数确定预测与原始因变量的距离。这是公式

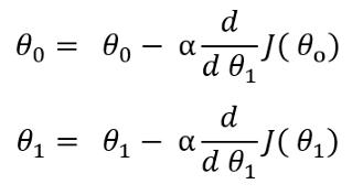
任何机器学习算法的想法都是最小化成本函数,使其假设接近于原始因变量。为此,theta值需要我们来进行优化。如果我们分别基于theta0和theta1取成本函数的偏导数,则会得到梯度下降。要更新theta值,我们需要从相应的theta值中减去梯度下降:

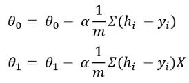
经过偏导数后,以上公式将变为:

此处,m是训练数据的数量,而alpha是学习率。我正在谈论一种变量线性回归。这就是为什么我只有两个theta值的原因。如果有很多变量,则每个变量都会有theta值。
工作实例
我将要使用的数据集来自安德鲁·伍(Andrew Ng)的Coursera机器学习课程。这是在Python中逐步实现线性回归的过程。
1· 导入包和数据集。

在此数据集中,列零是输入要素,列1是输出变量或因变量。我们将使用列0使用上面的直线公式预测列1。
2.将第1列与第0列相对应。

输入变量和输出变量之间的关系是线性的。当关系成线性时,线性的回归效果是最佳的。
3.初始化theta值。我正在将theta值初始化为零。但是任何其他值也应该起作用。
4.根据前面讨论的公式定义假设和成本函数。
5.把计算出来的训练数据的数量来作为DataFrame的长度。再去定义梯度下降函数。在此函数中,我们将更新theta值,直到让cost函数变到最小值为止。可能需要任何数量的迭代。在每次迭代中,它将更新theta值,并使用每个更新的theta值来计算成本为此来跟踪成本。
6.最后,定义预测函数。它将从梯度下降函数获得来更新的theta并且预测假设或预测的输出变量。
7.使用预测函数,找到假设,成本和更新的theta值。我选择学习率为0.01,然后将这个算法运行2000个时期或迭代。
最终theta值为-3.79和1.18。
8.在同一图中绘制原始y和假设或预测y。

假设图是公式中所预期的一条直线,并且该直线正在最佳位置通过。
9.记住,我们在每次迭代中都跟踪成本函数。让我们绘制成本函数。

如前所述,我们的目的是优化theta值以最小化成本。从该图可以看出,成本从一开始就急剧下降,然后稳定下来。这意味着theta值已按照我们的预期正确优化。

本文详细介绍了线性回归的基础知识及其实现过程。包括线性回归的基本公式、成本函数与梯度下降原理,以及如何用Python实现单变量线性回归算法。
1365

被折叠的 条评论
为什么被折叠?



