这篇博客介绍该论文的色调生成部分
要输出色调图,首先作者提及,以往的方法是使用了灰度图的色调来生成素描的色调,这种效果不是最好的,因为灰度图的色调分布和素描的色调分布是有很大的不同的。如图:

从直方图来看,二者之间的色调分布是很不相同的,而素描的直方图分布和形状通常来说,是满足一定的规律的。为什么呢?因为素描是白纸和石墨二者的相互作用,所以只包含了两种色调,即黑和白,对高亮的部分,画家不用画什么,对黑色的部分,则需要画,而另外有一种比较柔和的色调用来丰富层的的信息(个人理解是过渡色、渐变色等)
基于此,作者提出了一个参数模型去适应铅笔素描的色调变化,表示为:
p
(
v
)
=
1
Z
∑
i
=
1
3
w
i
p
i
(
v
)
p(v)= \frac{1 }{Z } \sum_{i=1}^3 w_{i}p_ {i}(v)
p(v)=Z1i=1∑3wipi(v)
p(v)表示一个像素点转化成素描时的色调值是v的概率,其实它就是一个概率分布的公式,Z是一个归一化因子,保证了
∫
0
1
p
(
v
)
d
v
=
1
\int ^ 1_0 {p(v)} {d} v=1
∫01p(v)dv=1
i=1、2、3对应了3个色调层,W是权重,每层权重的取值粗略地对应了每个层像素的数量,将这些数字放缩到[0,1]范围内,消除计算的上面的差异。
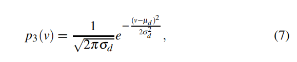
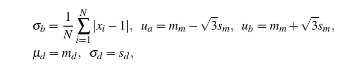
那么现在就是要分别找3个分布函数去拟合素描色调分布的值,用三个颜色绿、橙、蓝分别表示素描的深色、柔和、淡三个色调,三个色调的分布如图(c)所示

分别用拉普拉斯分布、均匀分布、高斯分布去拟合曲线分布,对应蓝(淡色)、橙(柔和)、绿(深色)



那么如何找到上面上个方程中的参数呢?参数影响了函数的形状。
先对输入的图片进行高斯平滑处理,通过阈值设置的方式,决定哪些像素点是深色的,哪些是淡色的,剩下的就是柔和色的,由此分开了3个层,然后统计各层像素点数量能确定对应的权重W,每层分别使用最大似然估计去统计。

N是每一层像素点的数量,Xi像素的值,m和s是每一层像素值的平均值和标准差,参数确定后,就知道了模型描绘素描图的色调分布了。
下篇博客介绍如何进行色调渲染以及整个素描图的生成。色调渲染
Combining Sketch and Tone for Pencil Drawing Production论文阅读(3)
最新推荐文章于 2025-11-25 02:37:03 发布
本文深入探讨了一种基于参数模型的素描生成算法,重点介绍了如何通过三种色调层(深色、柔和、淡色)的分布函数拟合,实现高质量的素描效果。通过拉普拉斯、均匀和高斯分布,结合最大似然估计,精确捕捉素描的色调分布特征。
3508

被折叠的 条评论
为什么被折叠?



