在 NLP 中,我们经常要去比较两个句子的相似度,其标准方法是想办法将句子编码为固定大小的向量,然后用某种几何距离(欧氏距离、cos 距离等)作为相似度。这种方案相对来说比较简单,而且检索起来比较快速,一定程度上能满足工程需求。
此外,还可以直接比较两个变长序列的差异性,比如编辑距离,它通过动态规划找出两个字符串之间的最优映射,然后算不匹配程度;现在我们还有 Word2Vec、BERT 等工具,可以将文本序列转换为对应的向量序列,所以也可以直接比较这两个向量序列的差异,而不是先将向量序列弄成单个向量。
后一种方案速度相对慢一点,但可以比较得更精细一些,并且理论比较优雅,所以也有一定的应用场景。本文就来简单介绍一下属于后者的两个相似度指标,分别简称为 WMD、WRD。
一、Earth Mover’s Distance
本文要介绍的两个指标都是以 Wasserstein 距离为基础,这里会先对它做一个简单的介绍,相关内容也可以阅读笔者旧作从 [Wasserstein 距离、对偶理论到WGAN]
Wasserstein 距离也被形象地称之为**“推土机距离”(Earth Mover’s Distance,EMD)**,因为它可以用一个“推土”的例子来通俗地表达它的含义。
1.1 最优传输
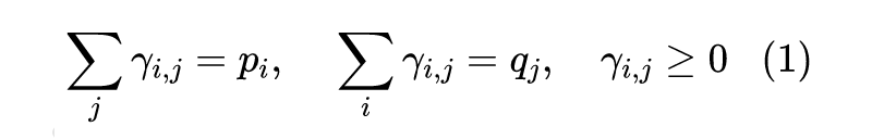
假设在位置 处我们分布有 那么多的土,简单起见我们设土的总数量为 1,即 ,现在要将土推到位置 上,每处的量为 ,而从 i 推到 j 的成本为 ,求成本最低的方案以及对应的最低成本。
这其实就是一个经典的最优传输问题。我们将最优方案表示为 ,表示这个方案中要从 i 中把 数量的土推到 j 处,很明显我们有约束:

所以我们的优化问题是:

1.2 参考实现
看上去复杂,但认真观察下就能发现上式其实就是一个线性规划问题——在线性约束下求线性函数的极值。而scipy就自带了线性规划求解函数linprog,因此我们可以利用它实现求 Wasserstein 距离的函数:
importasfromimportdef wasserstein_distance(p, q, D):"""通过线性规划求Wasserstein距离 p.shape=[m], q.shape=[n], D.shape=[m, n] p.sum()=1, q.sum()=1, p∈[0,1], q∈[0,1] """forin1-1forin1-1-1-1-1return
读者可以留意到,在传入约束的时候用的是A_eq=A_eq[:-1], b_eq=b_eq[:-1],也就是去掉了最后一个约束。
这是因为 ,所以(1)中的等式约束本身存在冗余,而实际计算中有时候可能存在浮点误差,导致冗余的约束之间相互矛盾,从而使得线性规划的求解失败,所以干脆去掉最后一个冗余的约束,减少出错的可能性。
二、Word Mover’s Distance
很明显,Wasserstein 距离适合于用来计算两个不同长度的序列的差异性,而我们要做语义相似度的时候,两个句子通常也是不同长度的,刚好对应这个特性,因此很自然地就会联想到 Wasserstein 距离也许可以用来比较句子相似度,而首次进行这个尝试的是论文 From Word Embeddings To Document Distances [1]。
2.1 基本形式
设有两个句子 ,经过某种映射(比如 Word2Vec 或者 BERT)后,它们变成了对应的向量序列 ,现在我们就想办法用 Wasserstein 距离来比较这两个序列的相似度。
根据前一节的介绍,Wasserstein 距离需要知道 三个量,我们逐一把它们都定义好即可。
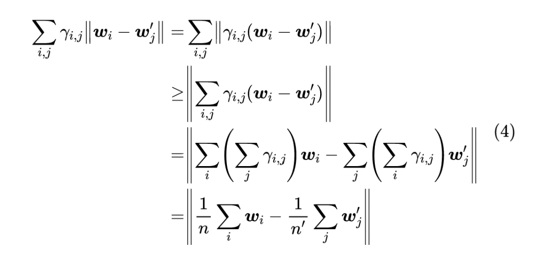
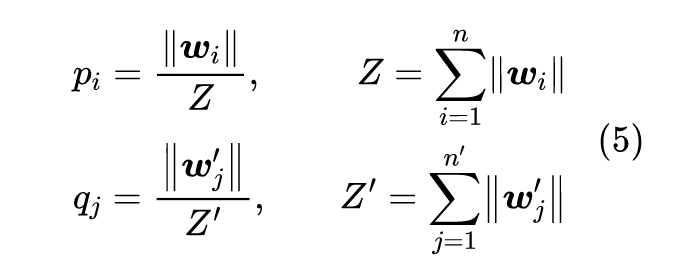
由于没有什么先验知识,所以我们可以很朴素地将让 ,所以现在还剩 。显然, 代表着第一个序列的向量 与第二个序列的向量 的某种差异性,简单起见我们可以用欧氏距离 ,所以两个句子的差异程度可以表示为:

这便是 Word Mover’s Distance(WMD)(推词机距离),大概可以理解为将一个句子变为另一个句子的最短路径,某种意义上也可以理解为编辑距离的光滑版。实际使用的时候,通常会去掉停用词后再计算 WMD。

▲ Word Mover’s Distance 的示意图,来自论文 From Word Embeddings To Document Distances
2.2 参考实现
参考实现如下:
def word_mover_distance(x, y):"""WMD(Word Mover's Distance)的参考实现 x.shape=[m,d], y.shape=[n,d] """0000NoneNone2return
2.3 下界公式
如果是检索场景,要将输入句子跟数据库里边所有句子一一算 WMD 并排序的话,那计算成本是相当大的,所以我们要尽量减少算 WMD 的次数,比如通过一些更简单高效的指标来过滤掉一些样本,然后才对剩下的样本算 WMD。
幸运的是,我们确实可以推导出 WMD 的一个下界公式,原论文称之为 Word Centroid Distance (WCD):

也就是说,WMD 大于两个句子的平均向量的欧氏距离,所以我们要检索 WMD 比较小的句子时,可以先用 WCD 把距离比较大的句子先过滤掉,然后剩下的采用 WMD 比较。
三、Word Rotator’s Distance
WMD 其实已经挺不错了,但非要鸡蛋里挑骨头的话,还是能挑出一些缺点来:
- 它使用的是欧氏距离作为语义差距度量,但从 Word2Vec 的经验我们就知道要算词向量的相似度的话,用 往往比欧氏距离要好;
- WMD 理论上是一个无上界的量,这意味着我们不大好直观感知相似程度,从而不能很好调整相似与否的阈值。
为了解决这两个问题,一个比较朴素的想法是将所有向量除以各自的模长来归一化后再算 WMD,但这样就完全失去了模长信息了。
最近的论文 Word Rotator’s Distance: Decomposing Vectors Gives Better Representations [2]则巧妙地提出,在归一化的同时可以把模长融入到约束条件 p,q 里边去,这就形成了 WRD。
3.1 基本形式
首先,WRD 提出了**“词向量的模长正相关于这个词的重要程度”**的观点,并通过一些实验结果验证了这个观点。事实上,这个观点跟笔者之前提出的 simpler glove 模型的观点一致,参考《更别致的词向量模型(五):有趣的结果》[3] 。
而在 WMD 中, 某种意义上也代表着对应句子中某个词的重要程度,所以我们可以设:

然后 就用余弦距离:

得到:

这就是 Word Rotator’s Distance (WRD) 了。由于使用的度量是余弦距离,所以两个向量之间的变换更像是一种旋转(rotate)而不是移动(move),所以有了这个命名;同样由于使用了余弦距离,所以它的结果在 [-1,1] 内,相对来说更容易去感知其相似程度。
3.2 参考实现
参考实现如下:
def word_rotator_distance(x, y):"""WRD(Word Rotator's Distance)的参考实现 x.shape=[m,d], y.shape=[n,d] """21True0.521True0.5001returndef word_rotator_similarity(x, y):"""1 - WRD x.shape=[m,d], y.shape=[n,d] """return1
3.3 下界公式
同 WMD 一样,我们也可以推导出 WRD 的一个下界公式:

不过这部分内容并没有出现在 WRD 的论文中,只是笔者自行补充的。
四、小结
文本介绍了两种文本相似度算法 WMD、WRD,它们都是利用 Wasserstein 距离(Earth Mover’s Distance,推土机距离)来直接比较两个不定长向量的差异性。这类相似度算法在效率上会有所欠缺,但是理论上比较优雅,而且效果也颇为不错,值得学习一番。
如何学习大模型 AI ?
由于新岗位的生产效率,要优于被取代岗位的生产效率,所以实际上整个社会的生产效率是提升的。
但是具体到个人,只能说是:
“最先掌握AI的人,将会比较晚掌握AI的人有竞争优势”。
这句话,放在计算机、互联网、移动互联网的开局时期,都是一样的道理。
我在一线互联网企业工作十余年里,指导过不少同行后辈。帮助很多人得到了学习和成长。
我意识到有很多经验和知识值得分享给大家,也可以通过我们的能力和经验解答大家在人工智能学习中的很多困惑,所以在工作繁忙的情况下还是坚持各种整理和分享。但苦于知识传播途径有限,很多互联网行业朋友无法获得正确的资料得到学习提升,故此将并将重要的AI大模型资料包括AI大模型入门学习思维导图、精品AI大模型学习书籍手册、视频教程、实战学习等录播视频免费分享出来。

第一阶段(10天):初阶应用
该阶段让大家对大模型 AI有一个最前沿的认识,对大模型 AI 的理解超过 95% 的人,可以在相关讨论时发表高级、不跟风、又接地气的见解,别人只会和 AI 聊天,而你能调教 AI,并能用代码将大模型和业务衔接。
- 大模型 AI 能干什么?
- 大模型是怎样获得「智能」的?
- 用好 AI 的核心心法
- 大模型应用业务架构
- 大模型应用技术架构
- 代码示例:向 GPT-3.5 灌入新知识
- 提示工程的意义和核心思想
- Prompt 典型构成
- 指令调优方法论
- 思维链和思维树
- Prompt 攻击和防范
- …
第二阶段(30天):高阶应用
该阶段我们正式进入大模型 AI 进阶实战学习,学会构造私有知识库,扩展 AI 的能力。快速开发一个完整的基于 agent 对话机器人。掌握功能最强的大模型开发框架,抓住最新的技术进展,适合 Python 和 JavaScript 程序员。
- 为什么要做 RAG
- 搭建一个简单的 ChatPDF
- 检索的基础概念
- 什么是向量表示(Embeddings)
- 向量数据库与向量检索
- 基于向量检索的 RAG
- 搭建 RAG 系统的扩展知识
- 混合检索与 RAG-Fusion 简介
- 向量模型本地部署
- …
第三阶段(30天):模型训练
恭喜你,如果学到这里,你基本可以找到一份大模型 AI相关的工作,自己也能训练 GPT 了!通过微调,训练自己的垂直大模型,能独立训练开源多模态大模型,掌握更多技术方案。
到此为止,大概2个月的时间。你已经成为了一名“AI小子”。那么你还想往下探索吗?
- 为什么要做 RAG
- 什么是模型
- 什么是模型训练
- 求解器 & 损失函数简介
- 小实验2:手写一个简单的神经网络并训练它
- 什么是训练/预训练/微调/轻量化微调
- Transformer结构简介
- 轻量化微调
- 实验数据集的构建
- …
第四阶段(20天):商业闭环
对全球大模型从性能、吞吐量、成本等方面有一定的认知,可以在云端和本地等多种环境下部署大模型,找到适合自己的项目/创业方向,做一名被 AI 武装的产品经理。
- 硬件选型
- 带你了解全球大模型
- 使用国产大模型服务
- 搭建 OpenAI 代理
- 热身:基于阿里云 PAI 部署 Stable Diffusion
- 在本地计算机运行大模型
- 大模型的私有化部署
- 基于 vLLM 部署大模型
- 案例:如何优雅地在阿里云私有部署开源大模型
- 部署一套开源 LLM 项目
- 内容安全
- 互联网信息服务算法备案
- …
学习是一个过程,只要学习就会有挑战。天道酬勤,你越努力,就会成为越优秀的自己。
如果你能在15天内完成所有的任务,那你堪称天才。然而,如果你能完成 60-70% 的内容,你就已经开始具备成为一名大模型 AI 的正确特征了。
这份完整版的大模型 AI 学习资料已经上传优快云,朋友们如果需要可以微信扫描下方优快云官方认证二维码免费领取【保证100%免费】

1638

被折叠的 条评论
为什么被折叠?



