研究背景
结直肠癌(CRC)是全球第三大常见恶性肿瘤,也是癌症死亡的第二大原因。尽管当前的筛查策略有助于减少CRC的发病率,但这些筛查方法通常基于年龄和家族病史,忽视了其他风险因素。同时,近年来早发性CRC的发生率逐渐增加,显示了在不同人群之间CRC风险存在显著差异。鉴于结肠镜检查的侵入性、耗时和高昂费用,开发非侵入性的早期筛查和诊断生物标志物,以及基于风险的个性化筛查策略,是目前亟需解决的问题。血浆蛋白由于其在循环系统中可通过分泌或细胞渗漏出现,能够反映健康和疾病状态,已被广泛研究为CRC相关的潜在生物标志物。
研究设计
研究设计与参与者
-
研究采用了两阶段策略。第一阶段是病例对照设计,包括150例新确诊的CRC患者和50例年龄和性别匹配的对照。第二阶段是前瞻性队列研究,从英国生物银行(UKBB)招募了52,231名参与者,731例为CRC新发病例。
-
研究的主要结果是CRC的诊断,定义为临床医生和病理学家的确诊病例,使用国际疾病分类标准(ICD-9: 153, 154.0, 154.1;ICD-10: C18-C20)确定CRC。
-
蛋白质组学测量
-
第一阶段的血浆蛋白质通过TMT-6plex定量蛋白质组学进行测量,发现了421种在CRC患者与对照之间差异表达的蛋白质。
-
第二阶段使用Olink邻近扩展分析法测量UKBB中的蛋白质,检测到2923种蛋白质,其中253种蛋白质与CRC的发生有关。
-
多基因风险评分(PRS)计算
-
PRS基于最大的CRC全基因组关联研究(GWAS)数据构建,包括欧洲和东亚人群的样本。
-
采用LDpred2模型构建了两个PRS,分别是LDpred2-auto和LDpred2-grid,LDpred2-grid的表现最佳。
-
QCancer-15的定义
-
QCancer-15的预测因素包括年龄、性别、BMI、家族CRC史、吸烟饮酒情况等。UKBB中匹配这些因素的变量用于构建风险评分。
-
构建风险评分模型
-
通过LASSO-Cox回归从筛选出的88种蛋白质中选择了15种用于构建蛋白质风险评分(ProS)。在UKBB中,QCancer-15、PRS、ProS的组合模型表现最佳。

核心结果
1.15种蛋白质与CRC风险的关联
通过第一阶段的蛋白质差异表达分析,共发现421种蛋白质,其中243种在CRC患者中上调,178种蛋白质下调(FDR < 0.05)。在验证阶段,这15种蛋白质在前瞻性队列中显示出显著的CRC风险预测能力。例如,IGFBP4和WFDC2的风险比(HR)分别为1.48(95% CI: 1.25–1.75)和1.35(95% CI: 1.12–1.62),而PON3的HR为0.72(95% CI: 0.55–0.94),表明其具有保护作用。

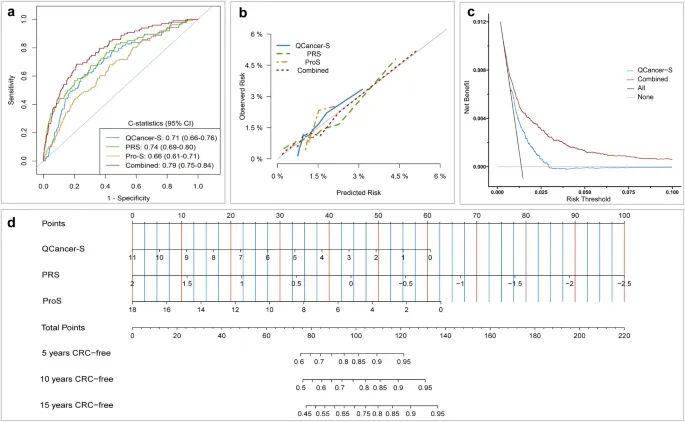
2. 预测模型的ROC曲线与校准曲线
图3展示了QCancer-15评分、多基因风险评分(PRS)、蛋白质风险评分(ProS)以及组合模型的受试者工作特性(ROC)曲线和校准曲线。ROC曲线显示,组合模型的C-统计量为0.79(95% CI: 0.75–0.84),显著高于QCancer-15模型的0.71(95% CI: 0.66–0.76)。在校准曲线中,预测的CRC风险与观察到的风险具有良好的一致性,尤其是在组合模型中,该模型在训练和验证队列中均表现出更高的预测准确性和净效益。

3. 基于不同风险评分的风险分层与个性化筛查起始年龄
图4展示了基于QCancer-15评分、PRS、ProS及组合评分(ComS)的风险分层结果。Kaplan-Meier曲线显示,高风险组的CRC累积发生率显著高于中低风险组。在高PRS组中,CRC的10年累积风险在41岁时达到与普通人群50岁相当的风险,而高ProS组则在46岁时达到类似风险。在组合评分中,高ComS组的CRC风险在40岁之前就达到了普通人群50岁时的水平,而低风险组可推迟至60岁后进行筛查。

4. UKBB队列基线特征与CRC发病风险的关系
表2列出了UKBB参与者的详细基线特征和CRC发病风险的分析结果。CRC病例的中位年龄为62岁(IQR: 57–66岁),其中58%为男性,42%为女性。家族CRC史的比例为11%,且BMI中位数为27.3(IQR: 24.8–29.9)。CRC发病与吸烟史、饮酒史、家族CRC史显著相关。例如,重度吸烟者的CRC风险增加2.7倍(HR: 2.71, 95% CI: 1.96–3.71),而有家族史的参与者CRC发病率显著增加(HR: 3.27, 95% CI: 2.71–3.96)。

小结
本研究通过整合蛋白质组学、多基因风险评分(PRS)和QCancer-15评分,开发了一种用于预测结直肠癌(CRC)发病风险的综合模型。研究表明,结合蛋白质风险评分(ProS)和PRS的模型具有更高的预测准确性,能够为个性化筛查提供依据。以下是研究的主要发现:
蛋白质标志物筛选:通过两阶段的策略,筛选并验证了15种与CRC显著相关的蛋白质,用于构建蛋白质风险评分(ProS),这些蛋白质在前瞻性队列中具有较好的预测效果。
风险预测模型的构建:结合ProS、PRS和QCancer-15评分,开发的综合模型在风险预测中的C-统计量达到0.79,显著优于QCancer-15单独模型的0.71(P < 0.01),具有更高的预测准确性。
风险分层与筛查起始年龄:高风险组的CRC发病风险明显高于中低风险组,模型预测高PRS组的CRC风险可在41岁时达到与普通人群50岁时相当的水平,高ProS组的筛查建议起始年龄为46岁,而低风险组可以推迟至60岁之后筛查。
临床应用价值:该模型为个性化筛查起始年龄提供了科学依据,建议高风险人群可在40岁之前开始筛查,有效帮助识别出高风险人群,并减少低风险人群的筛查负担。
模型的稳定性与可靠性:校准曲线和决策曲线分析进一步证实了模型的稳定性,在训练和验证队列中均表现出更高的预测效益,尤其在无家族CRC史和未筛查人群中,模型的应用价值尤为显著。
如何学习大模型 AI ?
由于新岗位的生产效率,要优于被取代岗位的生产效率,所以实际上整个社会的生产效率是提升的。
但是具体到个人,只能说是:
“最先掌握AI的人,将会比较晚掌握AI的人有竞争优势”。
这句话,放在计算机、互联网、移动互联网的开局时期,都是一样的道理。
我在一线互联网企业工作十余年里,指导过不少同行后辈。帮助很多人得到了学习和成长。
我意识到有很多经验和知识值得分享给大家,也可以通过我们的能力和经验解答大家在人工智能学习中的很多困惑,所以在工作繁忙的情况下还是坚持各种整理和分享。但苦于知识传播途径有限,很多互联网行业朋友无法获得正确的资料得到学习提升,故此将并将重要的AI大模型资料包括AI大模型入门学习思维导图、精品AI大模型学习书籍手册、视频教程、实战学习等录播视频免费分享出来。

第一阶段(10天):初阶应用
该阶段让大家对大模型 AI有一个最前沿的认识,对大模型 AI 的理解超过 95% 的人,可以在相关讨论时发表高级、不跟风、又接地气的见解,别人只会和 AI 聊天,而你能调教 AI,并能用代码将大模型和业务衔接。
- 大模型 AI 能干什么?
- 大模型是怎样获得「智能」的?
- 用好 AI 的核心心法
- 大模型应用业务架构
- 大模型应用技术架构
- 代码示例:向 GPT-3.5 灌入新知识
- 提示工程的意义和核心思想
- Prompt 典型构成
- 指令调优方法论
- 思维链和思维树
- Prompt 攻击和防范
- …
第二阶段(30天):高阶应用
该阶段我们正式进入大模型 AI 进阶实战学习,学会构造私有知识库,扩展 AI 的能力。快速开发一个完整的基于 agent 对话机器人。掌握功能最强的大模型开发框架,抓住最新的技术进展,适合 Python 和 JavaScript 程序员。
- 为什么要做 RAG
- 搭建一个简单的 ChatPDF
- 检索的基础概念
- 什么是向量表示(Embeddings)
- 向量数据库与向量检索
- 基于向量检索的 RAG
- 搭建 RAG 系统的扩展知识
- 混合检索与 RAG-Fusion 简介
- 向量模型本地部署
- …
第三阶段(30天):模型训练
恭喜你,如果学到这里,你基本可以找到一份大模型 AI相关的工作,自己也能训练 GPT 了!通过微调,训练自己的垂直大模型,能独立训练开源多模态大模型,掌握更多技术方案。
到此为止,大概2个月的时间。你已经成为了一名“AI小子”。那么你还想往下探索吗?
- 为什么要做 RAG
- 什么是模型
- 什么是模型训练
- 求解器 & 损失函数简介
- 小实验2:手写一个简单的神经网络并训练它
- 什么是训练/预训练/微调/轻量化微调
- Transformer结构简介
- 轻量化微调
- 实验数据集的构建
- …
第四阶段(20天):商业闭环
对全球大模型从性能、吞吐量、成本等方面有一定的认知,可以在云端和本地等多种环境下部署大模型,找到适合自己的项目/创业方向,做一名被 AI 武装的产品经理。
- 硬件选型
- 带你了解全球大模型
- 使用国产大模型服务
- 搭建 OpenAI 代理
- 热身:基于阿里云 PAI 部署 Stable Diffusion
- 在本地计算机运行大模型
- 大模型的私有化部署
- 基于 vLLM 部署大模型
- 案例:如何优雅地在阿里云私有部署开源大模型
- 部署一套开源 LLM 项目
- 内容安全
- 互联网信息服务算法备案
- …
学习是一个过程,只要学习就会有挑战。天道酬勤,你越努力,就会成为越优秀的自己。
如果你能在15天内完成所有的任务,那你堪称天才。然而,如果你能完成 60-70% 的内容,你就已经开始具备成为一名大模型 AI 的正确特征了。
这份完整版的大模型 AI 学习资料已经上传优快云,朋友们如果需要可以微信扫描下方优快云官方认证二维码免费领取【保证100%免费】

6852

被折叠的 条评论
为什么被折叠?



