本文是书籍《TensorFlow深度学习》的学习笔记之一
神经网络
本节我们通过替换感知机的激活函数,同时并行堆叠多个神经元来实现多输入、多输出的如下网络层结构。

第一个输出节点的输出为:
𝑜1 = 𝜎(𝑤11 ∙ 𝑥1 + 𝑤21 ∙ 𝑥2 + 𝑤 1 ∙ 𝑥 + 𝑏1)
第二个输出节点的输出为:
𝑜2 = 𝜎(𝑤12 ∙ 𝑥1 + 𝑤22 ∙ 𝑥2 + 𝑤 2 ∙ 𝑥 + 𝑏2)

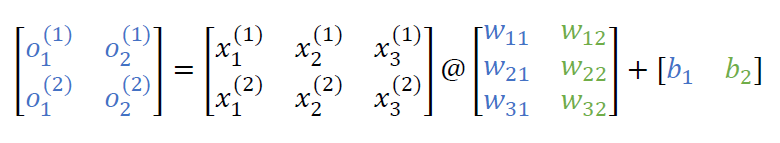
考虑并行计算,即有多个样本,则增加一行输入x,增加一行输出o:

下面有两种实现方式,一种是张量:
x = tf.random.normal([2,784])# 两个样本,每个长度为784
w1 = tf.Variable(tf.random.truncated_normal([784,256],stddev=0.1))
b1 = tf.Variable(tf.zeros([256))
o1 = tf.matmul(x,w1)+b1
o1 = tf.nn.relu(o1)
一种是层:
x = tf.random.normal([4,28*28])
from tensorflow.keras import layers # 导入层模块
# 创建全连接层,指定输出节点数和激活函数
fc = layers.Dense(512, activation=tf.nn.relu)
h1 = fc(x) # 通过fc 类实例完成一次全连接层的计算,返回输出张量
以上是实现单层神经网络的方法,要实现如下的多层神经网络,也有两种方法。

张量:
# 隐藏层1 张量
w1 = tf.Variable(tf.random.truncated_normal([784, 256], stddev=0.1))
b1 = tf.Variable(tf.zeros([256]))
# 隐藏层2 张量
w2 = tf.Variable(tf.random.truncated_normal([256, 128], stddev=0.1))
b2 = tf.Variable(tf.zeros([128]))
# 隐藏层3 张量
w3 = tf.Variable(tf.random.truncated_normal([128, 64], stddev=0.1))
b3 = tf.Variable(tf.zeros([64]))
# 输出层张量
w4 = tf.Variable(tf.random.truncated_normal([64, 10], stddev=0.1))
b4 = tf.Variable(tf.zeros([10]))
with tf.GradientTape() as tape: # 梯度记录器
# x: [b, 28*28]
# 隐藏层1 前向计算,[b, 28*28] => [b, 256]
h1 = x@w1 + tf.broadcast_to(b1, [x.shape[0], 256])
h1 = tf.nn.relu(h1)
# 隐藏层2 前向计算,[b, 256] => [b, 128]
h2 = h1@w2 + b2
h2 = tf.nn.relu(h2)
# 隐藏层3 前向计算,[b, 128] => [b, 64]
h3 = h2@w3 + b3
h3 = tf.nn.relu(h3)
# 输出层前向计算,[b, 64] => [b, 10]
h4 = h3@w4 + b4
层:
# 导入常用网络层layers
from tensorflow.keras import layers,Sequential
fc1 = layers.Dense(256, activation=tf.nn.relu) # 隐藏层1
fc2 = layers.Dense(128, activation=tf.nn.relu) # 隐藏层2
fc3 = layers.Dense(64, activation=tf.nn.relu) # 隐藏层3
fc4 = layers.Dense(10, activation=None) # 输出层
x = tf.random.normal([4,28*28])
h1 = fc1(x) # 通过隐藏层1 得到输出
h2 = fc2(h1) # 通过隐藏层2 得到输出
h3 = fc3(h2) # 通过隐藏层3 得到输出
h4 = fc4(h3) # 通过输出层得到网络输出
对于这种数据依次向前传播的网络,也可以通过Sequential 容器封装成一个网络大类对象,调用大类的前向计算函数一次即可完成所有层的前向计算,使用起来更加方便,实现如下:
# 导入Sequential 容器
from tensorflow.keras import layers,Sequential
# 通过Sequential 容器封装为一个网络类
model = Sequential([
layers.Dense(256, activation=tf.nn.relu) , # 创建隐藏层1
layers.Dense(128, activation=tf.nn.relu) , # 创建隐藏层2
layers.Dense(64, activation=tf.nn.relu) , # 创建隐藏层3
layers.Dense(10, activation=None) , # 创建输出层
])
前向计算时只需要调用一次网络大类对象,即可完成所有层的按序计算:out = model(x) # 前向计算得到输出
接下来我们设计输出层:
❑ 𝑜𝑖 ∈ 𝑅^𝑑 输出属于整个实数空间,或者某段普通的实数空间,比如函数值趋势的预测,年龄的预测问题等。
❑ 𝑜𝑖 ∈ [0,1] 输出值特别地落在[0, 1]的区间,如图片生成,图片像素值一般用[0, 1]区间的值表示;或者二分类问题的概率,如硬币正反面的概率预测问题。
❑ 𝑜𝑖 ∈ [0, 1], ∑𝑖 𝑜𝑖 = 1 输出值落在[0,1]的区间,并且所有输出值之和为 1,常见的如多分类问题,如MNIST 手写数字图片识别,图片属于10 个类别的概率之和应为1。
❑ 𝑜𝑖 ∈ [−1, 1] 输出值在[-1, 1]之间
不同情况的解决方案书中有,略。
最后我们进行误差计算。
- 均方差(Mean Squared Error,简称MSE)误差函数把输出向量和真实向量映射到笛卡尔坐标系的两个点上,通过计算这两个点之间的欧式距离(准确地说是欧式距离的平方)来衡量两个向量之间的差距:

o = tf.random.normal([2,10]) # 构造网络输出
y_onehot = tf.constant([1,3]) # 构造真实值
y_onehot = tf.one_hot(y_onehot, depth=10)
loss = keras.losses.MSE(y_onehot, o) # 计算均方差
特别要注意的是,MSE 函数返回的是每个样本的均方差,需要在样本维度上再次平均来获得平均样本的均方差,实现如下:loss = tf.reduce_mean(loss) # 计算batch 均方差
实战
本节我们将利用全连接网络模型来完成汽车的效能指标MPG(Mile Per Gallon,每加仑燃油英里数)的预测问题实战。

# %%
from __future__ import absolute_import, division, print_function, unicode_literals
import pathlib
import os
os.environ['TF_CPP_MIN_LOG_LEVEL'] = '2'
import matplotlib.pyplot as plt
import pandas as pd
import seaborn as sns
import tensorflow as tf
from tensorflow import keras
from tensorflow.keras import layers, losses
print(tf.__version__)
# 在线下载汽车效能数据集
dataset_path = keras.utils.get_file("auto-mpg.data",
"http://archive.ics.uci.edu/ml/machine-learning-databases/auto-mpg/auto-mpg.data")
# 效能(公里数每加仑),气缸数,排量,马力,重量
# 加速度,型号年份,产地
column_names = ['MPG', 'Cylinders', 'Displacement', 'Horsepower', 'Weight',
'Acceleration', 'Model Year', 'Origin']
raw_dataset = pd.read_csv(dataset_path, names=column_names,
na_values="?", comment='\t',
sep=" ", skipinitialspace=True)
dataset = raw_dataset.copy()
# 查看部分数据
dataset.tail()
dataset.head()
dataset
# %%
# %%
# 统计空白数据,并清除
dataset.isna().sum()
dataset = dataset.dropna()
dataset.isna().sum()
dataset
# %%
# 处理类别型数据,其中origin列代表了类别1,2,3,分布代表产地:美国、欧洲、日本
# 其弹出这一列
origin = dataset.pop('Origin')
# 根据origin列来写入新列
dataset['USA'] = (origin == 1) * 1.0
dataset['Europe'] = (origin == 2) * 1.0
dataset['Japan'] = (origin == 3) * 1.0
dataset.tail()
# 切分为训练集和测试集
train_dataset = dataset.sample(frac=0.8, random_state=0)
test_dataset = dataset.drop(train_dataset.index)
# %% 统计数据
sns.pairplot(train_dataset[["Cylinders", "Displacement", "Weight", "MPG"]],
diag_kind="kde")
# %%
# 查看训练集的输入X的统计数据
train_stats = train_dataset.describe()
train_stats.pop("MPG")
train_stats = train_stats.transpose()
train_stats
# 移动MPG油耗效能这一列为真实标签Y
train_labels = train_dataset.pop('MPG')
test_labels = test_dataset.pop('MPG')
# 标准化数据
def norm(x):
return (x - train_stats['mean']) / train_stats['std']
normed_train_data = norm(train_dataset)
normed_test_data = norm(test_dataset)
# %%
print(normed_train_data.shape, train_labels.shape)
print(normed_test_data.shape, test_labels.shape)
# %%
class Network(keras.Model):
# 回归网络
def __init__(self):
super(Network, self).__init__()
# 创建3个全连接层
self.fc1 = layers.Dense(64, activation='relu')
self.fc2 = layers.Dense(64, activation='relu')
self.fc3 = layers.Dense(1)
def call(self, inputs, training=None, mask=None):
# 依次通过3个全连接层
x = self.fc1(inputs)
x = self.fc2(x)
x = self.fc3(x)
return x
model = Network()
model.build(input_shape=(None, 9))
model.summary()
optimizer = tf.keras.optimizers.RMSprop(0.001)
train_db = tf.data.Dataset.from_tensor_slices((normed_train_data.values, train_labels.values))
train_db = train_db.shuffle(100).batch(32)
# # 未训练时测试
# example_batch = normed_train_data[:10]
# example_result = model.predict(example_batch)
# example_result
train_mae_losses = []
test_mae_losses = []
for epoch in range(200):
for step, (x, y) in enumerate(train_db):
with tf.GradientTape() as tape:
out = model(x)
loss = tf.reduce_mean(losses.MSE(y, out))
mae_loss = tf.reduce_mean(losses.MAE(y, out))
if step % 10 == 0:
print(epoch, step, float(loss))
grads = tape.gradient(loss, model.trainable_variables)
optimizer.apply_gradients(zip(grads, model.trainable_variables))
train_mae_losses.append(float(mae_loss))
out = model(tf.constant(normed_test_data.values))
test_mae_losses.append(tf.reduce_mean(losses.MAE(test_labels, out)))
plt.figure()
plt.xlabel('Epoch')
plt.ylabel('MAE')
plt.plot(train_mae_losses, label='Train')
plt.plot(test_mae_losses, label='Test')
plt.legend()
# plt.ylim([0,10])
plt.legend()
plt.savefig('auto.svg')
plt.show()
# %%
实验结果:
对于回归问题,我们还可以用MAE(Mean Absolute Error,平均绝对误差)来测试性能。

深度学习网络搭建与实战
本文详细介绍使用TensorFlow搭建和训练深度神经网络的过程,包括单层和多层神经网络的实现,以及应用全连接网络预测汽车效能指标MPG的实战案例。
1万+

被折叠的 条评论
为什么被折叠?



