UML类图
最新推荐文章于 2023-12-01 23:50:52 发布
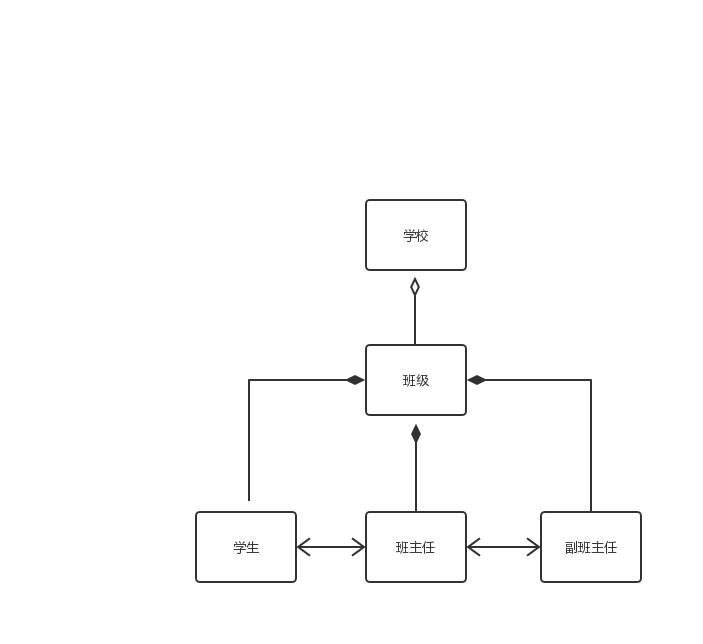
博客记录了作业情况,作者对作业只是粗略绘制,认为不够好有待完善,包含题目1和题目2及对应的图解。
博客记录了作业情况,作者对作业只是粗略绘制,认为不够好有待完善,包含题目1和题目2及对应的图解。
269

被折叠的 条评论
为什么被折叠?