对于某个字符串,当我们需要快速判断其是否是一个字符串集合的前缀时,我们就可以使用trie树。
那么trie树是什么?
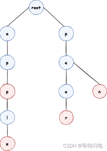
对以下字符串,我们建立trie树
apple
app
pear
pen
则有

其中红色节点表示此节点为某个单词的最后一个字母,而根节点(root)并不会用来存值
对于插入字符串操作,只需要遍历字符串的每个字母,同时顺着root节点往下找,如果发现找不到了,就把该字母节点插入到上一个节点后。
对于查询操作,同样遍历字符串的每个字母,如果发现每个字母都能找到并且最后一个字母已标记为结尾,即图中的红色节点,则证明该字符串已存在。
完整代码如下:
#include <iostream>
using namespace std;
const int N = 20010;
int son[N][26], cnt[N], idx; // son[i]数组存放存放第i个节点其各个子节点的下标, cnt数组表示以该节点结尾的单词数, idx表示当前节点序号
void insert(char str[])
{
int p = 0; // 根节点
for (int i = 0; str[i]; i++)
{
int x = str[i] - 'a';
if (!son[p][x]) son[p][x] = ++idx; // 若不存在, 则插入
p = son[p][x];
}
cnt[p]++;
}
int query(char str[])
{
int p = 0;
for (int i = 0; str[i]; i++)
{
int x = str[i] - 'a';
if (!son[p][x]) return 0;
p = son[p][x];
}
return cnt[p];
}
int main()
{
int n;
char op[2], str[100005];
cin >> n;
while (n--)
{
cin >> op >> str;
if (op[0] == 'I') insert(str);
else cout << query(str) << endl;
}
return 0;
}
461

被折叠的 条评论
为什么被折叠?



