崩溃了,发现6-10题顺序刷错了,这里才是真的6-10题
6.二叉树的中序遍历
给定一个二叉树的根节点 root ,返回 它的 中序 遍历 。
什么是中序遍历?其实就是“左 → 根 → 右” 的访问顺序,对整棵树的每一个节点都执行一次。
什么意思?看例子:

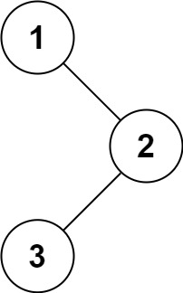
输入:root = [1,null,2,3] 输出:[1,3,2]
遍历顺序为null - 1 - 右子树2 - 3 - 2 - null
6.1递归(最容易)
思路:我觉得上来这样的话还算比较明确,先一直往左走到底,再弹栈访问,再转向右,中序遍历的定义本身就是递归式 的:对任意子树,先处理左子树 → 处理根 → 处理右子树。可以系统隐式调用栈也就是递归做法:
class Solution(object):
def inorderTraversal(self, root):
"""
:type root: TreeNode
:rtype: List[int]
"""
res = []
def dfs(node):
# 递归终点:空节点直接返回
if not node:
return
# 1. 先遍历左子树(中序的核心:左在前)
dfs(node.left)
# 2. 再访问根节点
res.append(node.val)
# 3. 最后遍历右子树
dfs(node.right)
dfs(root)
return res
6.2显示栈(复杂度是一样的)
思路:说了隐式调用栈那么肯定还有显示的做法,我们就自己用 list 模拟调用栈,这样没有递归函数调用的额外开销。对于极端深度(如 10^5 层)的树,Python 默认递归深度会爆栈(~1000),迭代版天然避免这一问题。逻辑与递归完全一致:把“系统栈”换成“自己维护的栈”,易调试。
# Definition for a binary tree node.
# class TreeNode(object):
# def __init__(self, val=0, left=None, right=None):
# self.val = val
# self.left = left
# self.right = right
class Solution(object):
def inorderTraversal(self, root):
"""
:type root: TreeNode
:rtype: List[int]
"""
res,stack = [],[]
cu

最低0.47元/天 解锁文章
1518

被折叠的 条评论
为什么被折叠?



