一、逻辑回归(LogisticRegression)
Logistic regression (逻辑回归)是当前业界比较常用的机器学习方法,用于估计某种事物的可能性。之前在经典之作《数学之美》中也看到了它用于广告预测,也就是根据某广告被用户点击的可能性,把最可能被用户点击的广告摆在用户能看到的地方,然后叫他“你点我啊!”用户点了,你就有钱收了。这就是为什么我们的电脑现在广告泛滥的原因了。
还有类似的某用户购买某商品的可能性,某病人患有某种疾病的可能性啊等等。这个世界是随机的(当然了,人为的确定性系统除外,但也有可能有噪声或产生错误的结果,只是这个错误发生的可能性太小了,小到千万年不遇,小到忽略不计而已),所以万物的发生都可以用可能性或者几率(Odds)来表达。“几率”指的是某事物发生的可能性与不发生的可能性的比值。
Logistic regression可以用来回归,也可以用来分类,主要是二分类。还记得上几节讲的支持向量机SVM吗?它就是个二分类的例如,它可以将两个不同类别的样本给分开,思想是找到最能区分它们的那个分类超平面。但当你给一个新的样本给它,它能够给你的只有一个答案,你这个样本是正类还是负类。例如你问SVM,某个女生是否喜欢你,它只会回答你喜欢或者不喜欢。这对我们来说,显得太粗鲁了,要不希望,要不绝望,这都不利于身心健康。那如果它可以告诉我,她很喜欢、有一点喜欢、不怎么喜欢或者一点都不喜欢,你想都不用想了等等,告诉你她有49%的几率喜欢你,总比直接说她不喜欢你,来得温柔。而且还提供了额外的信息,她来到你的身边你有多少希望,你得再努力多少倍,知己知彼百战百胜,哈哈。Logistic regression就是这么温柔的,它给我们提供的就是你的这个样本属于正类的可能性是多少。
还得来点数学。(更多的理解,请参阅参考文献)假设我们的样本是{x, y},y是0或者1,表示正类或者负类,x是我们的m维的样本特征向量。那么这个样本x属于正类,也就是y=1的“概率”可以通过下面的逻辑函数来表示:
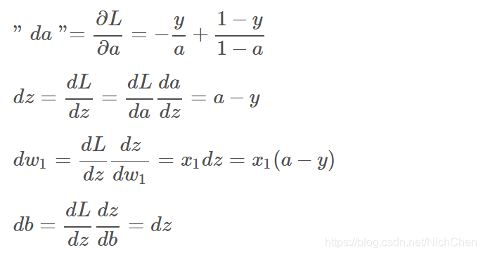
反向传播求梯度:


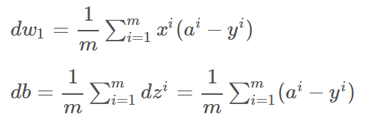
SGD求梯度:

代码:
# _*_ coding:utf-8 _*_
#################################################
# logRegression: Logistic Regression
# Author : zouxy
# Date : 2014-03-02
# HomePage : http://blog.youkuaiyun.com/zouxy09
# Email : zouxy09@qq.com
#################################################
from numpy import *
import matplotlib.pyplot as plt
import time
# calculate the sigmoid function
def sigmoid(inX):
return 1.0 / (1 + exp(-inX))
# train a logistic regression model using some optional optimize algorithm
# input: train_x is a mat datatype, each row stands for one sample
# train_y is mat datatype too, each row is the corresponding label
# opts is optimize option include step and maximum number of iterations
def trainLogRegres(train_x, train_y, opts):
# calculate training time
startTime = time.time()
numSamples, numFeatures = shape(train_x)
alpha = opts['alpha']
maxIter = opts['maxIter']
weights = ones((numFeatures, 1))
# optimize through gradient descent algorilthm
for k in range(maxIter):
if opts['optimizeType'] == 'gradDescent': # gradient descent algorilthm
output = sigmoid(train_x * weights)
error = train_y - output # 求导公式,推出
weights = weights + alpha * train_x.transpose() * error
elif opts['optimizeType'] == 'stocGradDescent': # stochastic gradient descent
for i in range(numSamples):
output = sigmoid(train_x[i, :] * weights)
error = train_y[i, 0] - output
weights = weights + alpha * train_x[i, :].transpose() * error # 求导公式,推出
elif opts['optimizeType'] == 'smoothStocGradDescent': # smooth stochastic gradient descent
# randomly select samples to optimize for reducing cycle fluctuations
dataIndex = range(numSamples)
for i in range(numSamples):
alpha = 4.0 / (1.0 + k + i) + 0.01
randIndex = int(random.uniform(0, len(dataIndex)))
output = sigmoid(train_x[randIndex, :] * weights)
error = train_y[randIndex, 0] - output
weights = weights + alpha * train_x[randIndex, :].transpose() * error
del (dataIndex[randIndex]) # during one interation, delete the optimized sample
else:
raise NameError('Not support optimize method type!')
print 'Congratulations, training complete! Took %fs!' % (time.time() - startTime)
return weights
# test your trained Logistic Regression model given test set
def testLogRegres(weights, test_x, test_y):
numSamples, numFeatures = shape(test_x)
matchCount = 0
for i in xrange(numSamples):
predict = sigmoid(test_x[i, :] * weights)[0, 0] > 0.5 # 2-D array, so need [0,0] index
if predict == bool(test_y[i, 0]):
matchCount += 1
accuracy = float(matchCount) / numSamples
return accuracy
# show your trained logistic regression model only available with 2-D data
def showLogRegres(weights, train_x, train_y):
# notice: train_x and train_y is mat datatype
numSamples, numFeatures = shape(train_x)
if numFeatures != 3:
print
"Sorry! I can not draw because the dimension of your data is not 2!"
return 1
# draw all samples
for i in xrange(numSamples):
if int(train_y[i, 0]) == 0:
plt.plot(train_x[i, 1], train_x[i, 2], 'or')
elif int(train_y[i, 0]) == 1:
plt.plot(train_x[i, 1], train_x[i, 2], 'ob')
# draw the classify line
min_x = min(train_x[:, 1])[0, 0]
max_x = max(train_x[:, 1])[0, 0]
weights = weights.getA() # convert mat to array
y_min_x = float(-weights[0] - weights[1] * min_x) / weights[2]
y_max_x = float(-weights[0] - weights[1] * max_x) / weights[2]
plt.plot([min_x, max_x], [y_min_x, y_max_x], '-g')
plt.xlabel('X1');
plt.ylabel('X2')
plt.show()
#################################################
# logRegression: Logistic Regression
# Author : zouxy
# Date : 2014-03-02
# HomePage : http://blog.youkuaiyun.com/zouxy09
# Email : zouxy09@qq.com
#################################################
def loadData():
train_x = []
train_y = []
fileIn = open('D:/MLCode/logesticRegression/testSet.txt')
for line in fileIn.readlines():
lineArr = line.strip().split()
train_x.append([1.0, float(lineArr[0]), float(lineArr[1])])
train_y.append(float(lineArr[2]))
return mat(train_x), mat(train_y).transpose()
## step 1: load data
print "step 1: load data..."
train_x, train_y = loadData()
test_x = train_x
test_y = train_y
## step 2: training...
print "step 2: training..."
opts = {'alpha': 0.01, 'maxIter': 20, 'optimizeType': 'smoothStocGradDescent'}
optimalWeights = trainLogRegres(train_x, train_y, opts)
## step 3: testing
print "step 3: testing..."
accuracy = testLogRegres(optimalWeights, test_x, test_y)
## step 4: show the result
print "step 4: show the result..."
print 'The classify accuracy is: %.3f%%' % (accuracy * 100)
showLogRegres(optimalWeights, train_x, train_y)
testSet.txt
-0.017612 14.053064 0
-1.395634 4.662541 1
-0.752157 6.538620 0
-1.322371 7.152853 0
0.423363 11.054677 0
0.406704 7.067335 1
0.667394 12.741452 0
-2.460150 6.866805 1
0.569411 9.548755 0
-0.026632 10.427743 0
0.850433 6.920334 1
1.347183 13.175500 0
1.176813 3.167020 1
-1.781871 9.097953 0
-0.566606 5.749003 1
0.931635 1.589505 1
-0.024205 6.151823 1
-0.036453 2.690988 1
-0.196949 0.444165 1
1.014459 5.754399 1
1.985298 3.230619 1
-1.693453 -0.557540 1
-0.576525 11.778922 0
-0.346811 -1.678730 1
-2.124484 2.672471 1
1.217916 9.597015 0
-0.733928 9.098687 0
-3.642001 -1.618087 1
0.315985 3.523953 1
1.416614 9.619232 0
-0.386323 3.989286 1
0.556921 8.294984 1
1.224863 11.587360 0
-1.347803 -2.406051 1
1.196604 4.951851 1
0.275221 9.543647 0
0.470575 9.332488 0
-1.889567 9.542662 0
-1.527893 12.150579 0
-1.185247 11.309318 0
-0.445678 3.297303 1
1.042222 6.105155 1
-0.618787 10.320986 0
1.152083 0.548467 1
0.828534 2.676045 1
-1.237728 10.549033 0
-0.683565 -2.166125 1
0.229456 5.921938 1
-0.959885 11.555336 0
0.492911 10.993324 0
0.184992 8.721488 0
-0.355715 10.325976 0
-0.397822 8.058397 0
0.824839 13.730343 0
1.507278 5.027866 1
0.099671 6.835839 1
-0.344008 10.717485 0
1.785928 7.718645 1
-0.918801 11.560217 0
-0.364009 4.747300 1
-0.841722 4.119083 1
0.490426 1.960539 1
-0.007194 9.075792 0
0.356107 12.447863 0
0.342578 12.281162 0
-0.810823 -1.466018 1
2.530777 6.476801 1
1.296683 11.607559 0
0.475487 12.040035 0
-0.783277 11.009725 0
0.074798 11.023650 0
-1.337472 0.468339 1
-0.102781 13.763651 0
-0.147324 2.874846 1
0.518389 9.887035 0
1.015399 7.571882 0
-1.658086 -0.027255 1
1.319944 2.171228 1
2.056216 5.019981 1
-0.851633 4.375691 1
-1.510047 6.061992 0
-1.076637 -3.181888 1
1.821096 10.283990 0
3.010150 8.401766 1
-1.099458 1.688274 1
-0.834872 -1.733869 1
-0.846637 3.849075 1
1.400102 12.628781 0
1.752842 5.468166 1
0.078557 0.059736 1
0.089392 -0.715300 1
1.825662 12.693808 0
0.197445 9.744638 0
0.126117 0.922311 1
-0.679797 1.220530 1
0.677983 2.556666 1
0.761349 10.693862 0
-2.168791 0.143632 1
1.388610 9.341997 0
0.317029 14.739025 0
运行结果:

准确率为:95% (由于使用的是随机梯度下降SGD,因此每次训练的准确率可能会不一样,93、95、97都有)

注:
- 反向传播求导公式,简单推理需要掌握
- 简单实用的模型,在广告预测上很实用
- 简单的优化法则需要掌握
参考资料:
https://blog.youkuaiyun.com/zouxy09/article/details/20319673
https://blog.youkuaiyun.com/panxiaoxie/article/details/79567426

本文深入探讨了逻辑回归这一常用机器学习方法,不仅解析其在估计事物可能性的应用,如广告预测和疾病诊断,还详细讲解了其背后的数学原理,包括反向传播求梯度和随机梯度下降等优化算法,并通过代码实现展示了训练过程。
4万+

被折叠的 条评论
为什么被折叠?



