一、介绍
1.题目描述
题目链接:https://leetcode-cn.com/problems/reverse-linked-list/
给你单链表的头节点 head ,请你反转链表,并返回反转后的链表。

2.测试样例
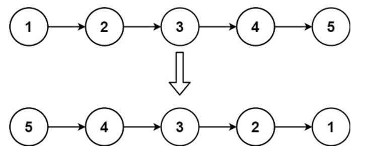
[1,2,3,4,5] # [5,4,3,2,1]
[1,2] # [2,1]
[] # []
二、题解
1、迭代🟢
采用前插法。每个节点依次插入到开头的前面。
- 定义 p 为 q 的前置节点。
- p 的下一个节点指向 q 的下一个节点。
- q 的下一个节点指向开头。
- q 指向p的下一个节点。
class Solution {
public:
ListNode* reverseList(ListNode* head) {
if(head==nullptr) return head;
ListNode *p=head,*q=head->next;
while(q!=nullptr){
p->next=p->next->next;
q->next=head;
head=q;
q=p->next;
}
return head;
}
};

2、递归🔴
在递归中,我们不断指向后移动指针,在达到末尾时进行反转。以12345为例:
达到最后的4和5节点,将5反指向4,4后面制空,返回 5 → 4。
同理, 回退一层(此时链表 3 → 5 → 4),4指向3,3指向空,返回 5 → 4 → 3。
class Solution {
public:
ListNode* reverseList(ListNode* head) {
// 如果为空或只有一个节点
if(head==nullptr||head->next==nullptr) return head;
ListNode *temp=reverseList(head->next);
// 反转箭头
head->next->next=head;
head->next=nullptr;
return temp;
}
};

本文详细介绍了如何使用迭代和递归方法解决LeetCode中的反转链表问题,包括代码示例和关键步骤。两种方法对比,适合理解链表操作的基础教程。
1219

被折叠的 条评论
为什么被折叠?



