题目描述
所谓虫食算,就是原先的算式中有一部分被虫子啃掉了,需要我们根据剩下的数字来判定被啃掉的数字。来看一个简单的例子:
\begin{aligned} \verb!43#9865#045! \\ +\qquad \verb!8468#6633! \\[-1em]\underline{\kern{8em}} \\ \verb!44445509678! \\ \end{aligned}43#9865#045+8468#663344445509678
其中 # 号代表被虫子啃掉的数字。根据算式,我们很容易判断:第一行的两个数字分别是 55 和 33,第二行的数字是 55。
现在,我们对问题做两个限制:
首先,我们只考虑加法的虫食算。这里的加法是 nn 进制加法,算式中三个数都有 nn 位,允许有前导的 00。
其次,虫子把所有的数都啃光了,我们只知道哪些数字是相同的,我们将相同的数字用相同的字母表示,不同的数字用不同的字母表示。如果这个算式是 nn 进制的,我们就取英文字母表的前 nn 个大写字母来表示这个算式中的 00 到 n - 1n−1 这 nn 个不同的数字:但是这 nn 个字母并不一定顺序地代表 00 到 n-1n−1。输入数据保证 nn 个字母分别至少出现一次。
\begin{aligned} \verb!BADC! \\ +\quad \verb!CBDA! \\[-1em]\underline{\kern{4em}} \\ \verb!DCCC! \\ \end{aligned}BADC+CBDADCCC
上面的算式是一个4进制的算式。很显然,我们只要让 \verb!ABCD!ABCD 分别代表 01230123,便可以让这个式子成立了。你的任务是,对于给定的 nn 进制加法算式,求出 nn 个不同的字母分别代表的数字,使得该加法算式成立。输入数据保证有且仅有一组解。
输入格式
输入的第一行是一个整数 nn,代表进制数。
第二到第四行,每行有一个由大写字母组成的字符串,分别代表两个加数以及和。这 33 个字符串左右两端都没有空格,从左到右依次代表从高位到低位,并且恰好有 nn 位。
输出格式
输出一行 nn 个用空格隔开的整数,分别代表 A,B, \dotsA,B,… 代表的数字。
输入输出样例
输入 #1复制
5 ABCED BDACE EBBAA
输出 #1复制
1 0 3 4 2
说明/提示
数据规模与约定
- 对于 30\%30% 的数据,保证 n \le 10n≤10;
- 对于 50\%50% 的数据,保证 n \le 15n≤15;
- 对于 100\%100% 的数据,保证 1 \leq n \leq 261≤n≤26。
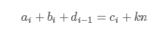
以个位为第一列,di表示第i列的进位情况,对于第i列,如果竖式是

那么显然有

去掉模运算得到

由于这是竖式加法,那么_显然k就是di_。
那就有

将常数项移到右边去

至此,方程列完了。
我们枚举di,进行求解。
显然
![]()
都是0,所以,我们只需要枚举
![]()
次,高斯消元的时间复杂度是
![]()
,所以总的时间复杂度是
![]()
,当然,这显然不够快,考虑优化。
我们发现,我们改变的只有常数项,所以,我们只做一次高斯消元。通过这次高斯消元,我们显然可以求出未知数的系数,那对于_常数项_呢?
##优化从这里开始
设第i个方程的_化简后_的常数项为
![]()
,
设高斯消元之后得到的未知数的系数为**_K_**
那么,高斯消元后的矩阵就是这个样子的

我们再用一个数组
![]()
来保存第i个方程的化简后的常数项和
![]()
的关系
即

那么显然,初始时,
![]()
那高斯消元后,也就是这个样子

每次枚举出d数组的取值后,我们就可以用
![]()
的时间算出常数项
![]()
,总的时间复杂度变为
![]()
,但由于很多取值不用
![]()
的时间即可判定为不可行_(看我的check()函数)_,所以时间时间会比较短。
##你看懂了吗?(我猜你没看懂)
看看我举的例子:
我们来分析一下样例:
5 ABCED BDACE EBBAA 那么,我们可以列出矩阵

高斯消元后矩阵变为

枚举
![]()
,根据增广矩阵的右边算出常数项即可。
#include<cstdio>
#include<cstring>
#include<algorithm>
using namespace std;
#define MAXN 26
int n,equ,var,d[MAXN+10],x[MAXN+10];
typedef int matrix[MAXN+10][MAXN+10];
matrix a,g;
bool vis[MAXN+10];
char s[3][MAXN+10];
void Read(int &x){
char c;
while(c=getchar(),c!=EOF)
if(c>='0'&&c<='9'){
x=c-'0';
while(c=getchar(),c>='0')
x=x*10+c-'0';
ungetc(c,stdin);
return;
}
}
void read(){
Read(n);
scanf("%s%s%s",s[0],s[1],s[2]);
int i,j;
for(i=0;i<n;i++){
for(j=0;j<2;j++)
a[n-i][s[j][i]-'A'+1]++;
a[n-i][s[2][i]-'A'+1]--;
}
for(i=1;i<=n;i++)
g[i][i]=n,g[i][i-1]=-1;
g[1][0]=0;
equ=var=n;
}
int gcd(int a,int b){
int t;
while(b){
t=a%b;
a=b;
b=t;
}
return a;
}
void gauss_jordan(){
int i,j,row,col,mxr,lcm;
for(row=col=1;row<=equ&&col<=var;row++,col++){
mxr=row;
for(i=row+1;i<=equ;i++)
if(abs(a[i][col])>abs(a[mxr][col]))
mxr=i;
if(mxr!=row)
swap(a[row],a[mxr]),swap(g[row],g[mxr]);
if(!a[row][col]){
row--;
continue;
}
for(i=1;i<=equ;i++)
if(i!=row&&a[i][col]){
lcm=a[i][col]/gcd(a[i][col],a[row][col])*a[row][col];
int t1=lcm/a[i][col],t2=lcm/a[row][col];
for(j=1;j<=var;j++){
g[i][j]=t1*g[i][j]-t2*g[row][j];
a[i][j]=t1*a[i][j]-t2*a[row][j];
}
}
}
}
bool check(){
int i,j;
memset(vis,0,sizeof vis);
for(i=1;i<=n;i++){
x[i]=0;
for(j=1;j<=n;j++)
x[i]+=g[i][j]*d[j];
if(x[i]%a[i][i]||x[i]/a[i][i]<0||x[i]/a[i][i]>=n||vis[x[i]/a[i][i]])
return 0;
x[i]/=a[i][i];
vis[x[i]]=1;
}
return 1;
}
void print(){
for(int i=1;i<n;i++)
printf("%d ",x[i]);
printf("%d\n",x[n]);
}
void dfs(int i){
if(i==n){
if(check()){
print();
exit(0);
}
return;
}
d[i]=1;
dfs(i+1);
d[i]=0;
dfs(i+1);
}
int main()
{
read();
gauss_jordan();
dfs(1);
}
937

被折叠的 条评论
为什么被折叠?



