2021电子科技大学 组合数学试卷 (卢光辉、戴波 )附带( 2020 2018 2017 2014 各年题)
Copyright@天下小编都没马
希望学弟学妹都能考个好成绩
特别声明:该回忆版试卷不授权智博书店印刷出售
-
正偶数k1,k2,...k_1, k_2, ...k1,k2,...大于0, 且满足ki≠kj;i≠jk_i \neq k_j;i \neq jki=kj;i=j。写出求将正整数rrr分解为k1,k2,...,knk_1, k_2, ..., k_nk1,k2,...,kn的和的方法数的算法,要求kik_iki最多可被选中三次。(整数分解问题,分解成偶数的和,每个数最多被选中三次。)
-
求方程
{x1+x2+4x3+x4=160,2≤x3≤10,x4≤3
\left\{
\begin{array}{lr}
x_1 + x_2 + 4x_3 +x_4= 160, \\
2 \le x_3 \le 10, x_4 \le 3
\end{array}
\right.
{x1+x2+4x3+x4=160,2≤x3≤10,x4≤3
正整数解的个数。(比较难算,所以题都背下来了)
-
证明11个人中必定有4个人彼此相认或3个人彼此不相识。
-
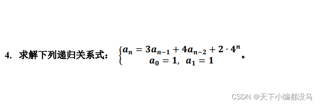
求解递归关系
{an−2an−1−3an−2=2×3n,a0=1,a1=2 \left\{ \begin{array}{lr} a_n - 2a_{n-1} - 3a_{n-2}= 2 \times3^n, \\ a_0=1, a_1=2 \end{array} \right. {an−2an−1−3an−2=2×3n,a0=1,a1=2
(题目是通过答案反推的,参考答案为:an=118(−1)n−38×3n+32×3nna_n = \frac{11}{8}(-1)^n-\frac{3}{8}\times3^n+\frac{3}{2}\times3^nnan=811(−1)n−83×3n+23×3nn) -
禁区棋盘的棋盘多项式计算(类似原题:2020年第五题)
-
奔赴抗疫,全国 4 个片区共有 68个 医疗队,其中西南片区有 10 个,中部片区有 18 个,北方片区有 18个,东部片区有22 个。假定同一片区的各 个医疗队不加以区别,现在要从中选取 27个医疗队入围。考虑到不同片区 的特殊情况,要求西南片区至少入围 4 个医疗队,北方片区至少入围 7 个医疗队,其他片区至少各入围 2 个医疗队,问理论上有多少种不同的选取方案?(数字是根据答案反推的:本质就是四种元素的12-重集,有两种元素个数6、 11需要讨论数量是否够取)另外感谢教研室同学帮忙回忆
-
求不包含 3、5、7,出现偶数次 1、2,至少出现两次 4、8 的 r 位十进制数的个 数。(具体数字记不清了,但是限制条件和被限制数的个数是对的,比较难算)
-
(6分)开放题:解释是否存在一种无损压缩算法(解压后能得到和原来完全一样的数据),可以把任意数据进行压缩变得更小?(老师这刀除了香农老爷子砍不死外,基本上所有考生众生平等了,不太好作答)
附录:2020 电子科技大学研究生试卷组合数学(卢光辉、戴波)
Copyright 额?好像是我们教研室一个学长上传的。不过被其他人下载后重复上传了,我是花了59积分下载的盗传版本(吐血)。总之附录部分不是我原创的,有必要说明一下。
PS:我直接贴截图了,不喜欢这个清晰度可以去下载pdf版(优快云上传资源没法设置0积分下载,所以下载pdf版通常要积分,没必要啊。)








附录:2017-18 电子科技大学研究生试卷组合数学
-
(12’)
- 若7个人中有1对夫妇,试求从中取出6个人的夫妇不相邻的 6−6^-6− 线排列的种数。
- 若7个人中有3对夫妇,试问从中取出6个人的夫妇均不相邻的圆排列有多少种。
-
(14‘) 现有重集 B={k1⋅b1,k2⋅b2,k3⋅b3,⋯ ,kn⋅bn}B=\{k_1 \cdot b_1, k_2 \cdot b_2, k_3 \cdot b_3, \cdots ,k_n \cdot b_n \}B={k1⋅b1,k2⋅b2,k3⋅b3,⋯,kn⋅bn},试根据母函数给出求该重集 BBB 的 r−r^-r−组合数的算法。
-
某工厂欲在31天内完成50个产品。每天至少完成1个产品。试证明无论工厂怎样安排,一定有连续的几天完成 11个产品。
-
求下列方程的正整数解的个数:
{x1+x2+x3+x4=10,1≤x1≤4,2≤x3≤6,0≤x3≤2 \left\{ \begin{array}{lr} x_1 + x_2 + x_3 +x_4= 10, \\ 1 \le x_1 \le 4, 2 \le x_3 \le 6, 0 \le x_3 \le 2 \end{array} \right. {x1+x2+x3+x4=10,1≤x1≤4,2≤x3≤6,0≤x3≤2 -
证明:广义Ramsey数 R(C4,C4)≥6R(C_4, C_4) \geq 6R(C4,C4)≥6,其中 C4C_4C4为4个顶点的无向回路图。
-
求由数字0,1,2,3,4,5,6,7组成的r位数中,1和3出现偶数次,4和6至少出现一次的r位数的个数。
-
试解出递归关系:
{an=6an−1+7an−2+(−1)n,a0=7,a1=78 \left\{ \begin{array}{lr} a_n = 6a_{n-1} + 7a_{n-2} + (-1)^n, \\ a_0=7, a_1=\frac{7}{8} \end{array} \right. {an=6an−1+7an−2+(−1)n,a0=7,a1=87 -
(12‘)亚洲、欧洲、非洲、北美洲、南美洲准备承办接下来五届奥运会。已知亚洲不能承办第1和3届的奥运会, 欧洲不能承办第2届的奥运会,非洲不能承办第4届奥运会,南美洲不能承办第1和4届奥运会,北美洲不能承 办第5届奥运会,其他不参与承办,试问共有多少种承办方案
附录:2014 电子科技大学研究生试卷组合数学(卢光辉、杨国武)
一、(17分)解下列递归关系

二、(18分)今后5届APEC会议由美国、印度、澳大利亚、加拿大、俄罗斯5国举办,一个国家只能举办一次。假如美国只能举办第一届、第二届或者第三届,印度不能举办第一届,澳大利亚只能举办第二届、第四届或者第五届,加拿大不能举办第二届和第三届,俄罗斯不能举办第五届。问未来的5届APEC会议有多少种不同的举办方案?
三、(15分)某省打算未来3个财政年度偿还一批地方债,计划每个月至少偿还10亿元,每个财政季度(3个月)至多偿还50亿元。证明:无论怎样安排偿还时间表,必然存在相继的若干月,在这些月内恰好偿还110亿元地方债。假定每月偿还的地方债都以整10亿元计。
四、(16分)求2和8都出现偶数次,1和7都出现奇数次,并且4至少出现1次的r位十进制数的个数。
五、(18分)全国4个片区共40所大学申报国家重点实验室,其中,西部片区有7所大学,华北片区有18所大学,华东片区有10所大学,华南片区有5所大学。假定同一片区的各所大学不加以区别,现在要从中选取14所大学入围。
(1)问理论上有多少种不同的选区方案?
(2)现为了考虑不同片区的特殊情况,如果西部片区至少有4家入围,华北片区至少有2家入围,问理论上有多少种不同的选取方案?
六、(6分)求两个“1”之间至少要有两个“0”的14位二进制数的个数。
七、(6分)求集和{1,2,…,64}的既不含相邻整数,也不同时包含1和64的28-组合的个数。
八、(12分)证明:广义Ramsey数R(C4,C4) ≥6,其中C4为4个顶点的无向回路图。
- 截图版如下:

附录:可能用到的解题思路
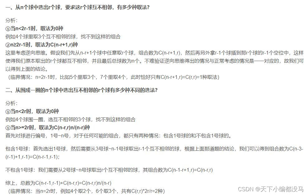
- 取不相邻的元素(只有图)

- 求方程正整数解时,X系数不为1怎么办?(感谢群佬的解题思路)

- 复习重点题型总结(请允许我在此给这篇知乎文章的作者叫一声爸爸,爸爸!)
- https://zhuanlan.zhihu.com/p/344378211
本文提供了2021年电子科技大学组合数学试卷(卢光辉、戴波)及2020、2018、2017、2014年的研究生试卷,涉及整数分解、正整数解计算、组合证明等问题。同时,还包含了部分解题思路和难点,如无损压缩算法的存在性讨论。
8986

被折叠的 条评论
为什么被折叠?



