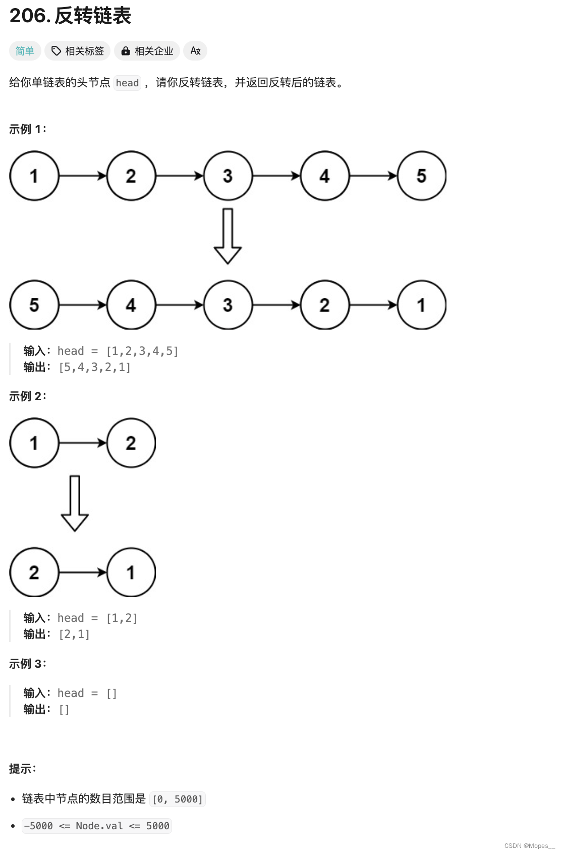
题目:

题解:
# Definition for singly-linked list.
# class ListNode:
# def __init__(self, val=0, next=None):
# self.val = val
# self.next = next
class Solution:
def reverseList(self, head: Optional[ListNode]) -> Optional[ListNode]:
newHead = ListNode(0)
newHead.next = None
h = head
while h:
cur = ListNode(h.val)
cur.next = newHead.next
newHead.next = cur
h = h.next
return newHead.next
909

被折叠的 条评论
为什么被折叠?



