0x00 指数函数
表达式:y=,a>0且a
1,
,
特点:单调函数;有下界的无界函数;图像经过(0,1)点;对数函数的反函数;
当0<a<1,单调递减,a越大,图像越平缓;a越小,图像越陡峭。

当a>1,单调递增,a越大,图像越陡峭;a越小,图像越平缓。

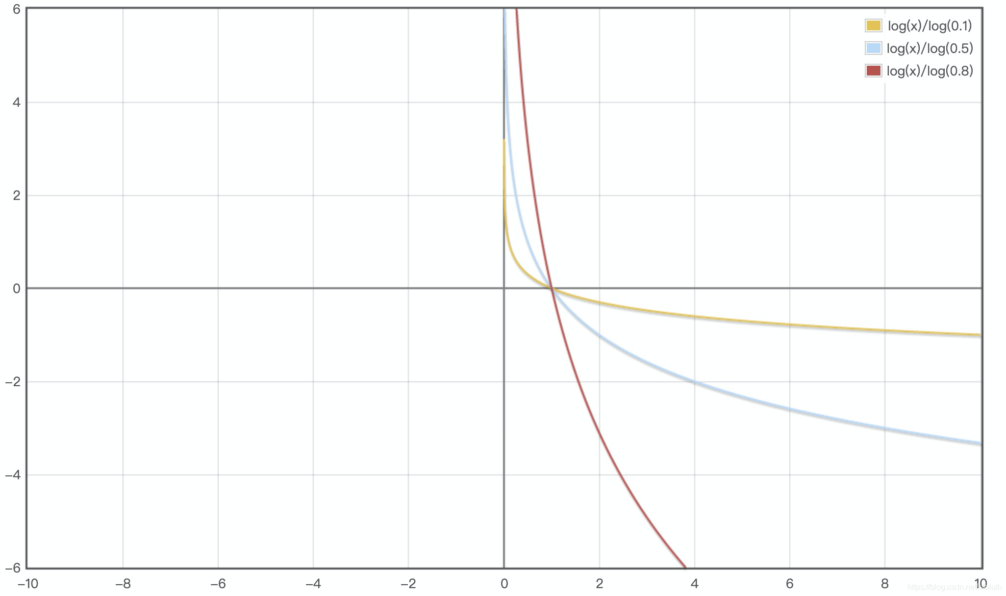
0x01 对数函数
表达式: y= a>0且a
1,
特点:单调函数;无界函数;函数图像经过(1,0)点;指数函数的反函数;
注意:使用的画图工具不够强大,表达式只能用log(x)/log(a)的形式,等价于
当0<a<1,单调递减,a越大,图像越陡峭;a越小,图像越平缓。

当a>1,单调递增,a越大,图像越平缓;a越小,图像越陡峭。

0x02 三角函数
表达式:y=sin(x),y=cos(x),y=tan(x)
特点:都是周期函数;cos(x)是偶函数;sin(x)和tan(x)是奇函数;sin(x)和cos(x)是有界函数

0x03 反三角函数
表达式:y=arcsin(x),y=arccos(x),y=arctan(x)
特点:三角函数们的反函数;arcsin(x),arctan(x)是单调递增函数,arccos(x)是单调递减函数;它们都是有界函数;

0x04 幂函数
表达式:y= a是实数
特点:一言难尽
当a是大于0的奇数,恒过(-1,-1)(0,0),(1,1)点,奇函数,单调递增。定义域是R

当a是大于0的偶数,恒过(-1,1),(0,0),(1,1)点,偶函数,有下界。定义域是R;当a=0时,偶函数,在0点无意义。

当a是正数,且a不是整数时。恒过(0,0)(1,1)点,单调递增有下界。

当a是负奇数,恒过(1,1)(-1,-1)点

当a是负偶数,图像恒过(-1,1),(1,1),有下界函数

当a是负数,且a不是整数。过(1,1)点,单调递减有下界函数。

0x05 一次函数
表达式:y=kx+b,k不为0
特点:图像恒过(0,b)点,无界函数;k大于0时,单调递增函数;当k小于0时,单调递减函数。

0x06 二次函数
表达式:y= a不为0
特点:对称轴-b/(2a);a>0开口向上,a<0开口向下; b*b-4ac决定和x轴交点数量。

0x07 其他函数









本文详细介绍了指数函数、对数函数、三角函数、反三角函数、幂函数、一次函数和二次函数的表达式、特点及图像行为,涵盖了它们的单调性、周期性和奇偶性等关键性质。
2112

被折叠的 条评论
为什么被折叠?



