传送门:http://acm.hdu.edu.cn/showproblem.php?pid=6467
简单数学题
Time Limit: 4000/2000 MS (Java/Others) Memory Limit: 65536/65536 K (Java/Others)
Total Submission(s): 308 Accepted Submission(s): 150
Problem Description
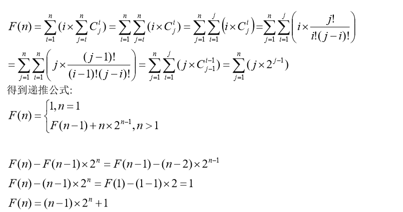
已知
求 F(n) mod 1000000007
F(n)=∑i=1n(i×∑j=inCij)
求 F(n) mod 1000000007
Input
多组输入,每组输入占一行,包含一个整数n(1 <= n <= 1e18)。
数据不超过300000组。
数据不超过300000组。
Output
对于每组输入,输出一行,包括一个数代表答案。
Sample Input
5 100
Sample Output
129 660756544
Source
解题思路:

但是这道题只推出递推公式是不行的,因为普通的乘法运算会导致溢出。
但是log2的优化乘法又会超时,所以需要O(1)的优化乘法防止溢出:
inline long long multi(long long x,long long y) { long long tmp=(x*y-(long long)((long double)x/mod*y+1.0e-8)*mod); return tmp<0 ? tmp+mod : tmp; }
AC code:
1 #include <bits/stdc++.h> 2 #define INF 0x3f3f3f3f 3 #define LL long long 4 using namespace std; 5 const LL mod = 1000000007; 6 7 inline long long multi(long long x,long long y) 8 { 9 long long tmp=(x*y-(long long)((long double)x/mod*y+1.0e-8)*mod); 10 return tmp<0 ? tmp+mod : tmp; 11 } 12 13 14 LL qpow(LL a, LL n) 15 { 16 LL res = 1; 17 while(n){ 18 if(n&1) res = multi(res, a)%mod; 19 a = multi(a, a); 20 n>>=1; 21 } 22 return res%mod; 23 } 24 25 26 int main() 27 { 28 // freopen("result.out", "w", stdout); 29 LL N, p, ans; 30 while(~scanf("%lld", &N)){ 31 p = qpow(2, N); 32 ans = (multi((N-1), p)%mod+1)%mod; 33 printf("%lld\n", ans); 34 } 35 36 return 0; 37 }
博客围绕一道简单数学题展开,指出仅推出递推公式不可行,普通乘法运算会溢出,log2优化乘法会超时,因此需要采用O(1)的优化乘法来防止溢出,并给出了题目的传送门及相关时间、内存限制等信息。

被折叠的 条评论
为什么被折叠?



