解题思路:不用在意是什么序遍历。因为中的位置对 操作影响不大,只需要对左进行遍历加右遍历和回溯就行
具体代码如下:
class Solution {
public:
bool travel(TreeNode*root,int target){
if(root->left==nullptr&&root->right==nullptr&&target==0)return true;
if(root->left==nullptr&&root->right==nullptr&&target!=0)return false;//确定终止条件
if(root->left){//先左遍历
target=target-root->left->val;
if(travel(root->left,target))return true;//因为会返回true或者
target=target+root->left->val;//回溯
}
if(root->right){//向右遍历
target=target-root->right->val;
if(travel(root->right,target))return true;//因为会返回true或者false所以要进行判断
target=target+root->right->val;//回溯
}//都找不到的话
return false;
}
bool hasPathSum(TreeNode* root, int targetSum) {
if(root==NULL)return false;
return travel(root,targetSum-root->val);
}
};
题目如下:
给你二叉树的根节点 root 和一个表示目标和的整数 targetSum 。判断该树中是否存在 根节点到叶子节点 的路径,这条路径上所有节点值相加等于目标和 targetSum 。如果存在,返回 true ;否则,返回 false 。
叶子节点 是指没有子节点的节点。
示例 1:

输入:root = [5,4,8,11,null,13,4,7,2,null,null,null,1], targetSum = 22 输出:true 解释:等于目标和的根节点到叶节点路径如上图所示。
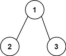
示例 2:

输入:root = [1,2,3], targetSum = 5 输出:false 解释:树中存在两条根节点到叶子节点的路径: (1 --> 2): 和为 3 (1 --> 3): 和为 4 不存在 sum = 5 的根节点到叶子节点的路径。
示例 3:
输入:root = [], targetSum = 0 输出:false 解释:由于树是空的,所以不存在根节点到叶子节点的路径。
提示:
- 树中节点的数目在范围
[0, 5000]内 -1000 <= Node.val <= 1000-1000 <= targetSum <= 1000

被折叠的 条评论
为什么被折叠?



