1 Adaboost的原理
1.1 Adaboost是什么
AdaBoost,是英文"Adaptive Boosting"(自适应增强)的缩写,由Yoav Freund和Robert Schapire在1995年提出。它的自适应在于:前一个基本分类器分错的样本会得到加强,加权后的全体样本再次被用来训练下一个基本分类器。同时,在每一轮中加入一个新的弱分类器,直到达到某个预定的足够小的错误率或达到预先指定的最大迭代次数。
具体说来,整个Adaboost 迭代算法就3步:
初始化训练数据的权值分布。如果有N个样本,则每一个训练样本最开始时都被赋予相同的权值:1/N。
训练弱分类器。具体训练过程中,如果某个样本点已经被准确地分类,那么在构造下一个训练集中,它的权值就被降低;相反,如果某个样本点没有被准确地分类,那么它的权值就得到提高。然后,权值更新过的样本集被用于训练下一个分类器,整个训练过程如此迭代地进行下去。
将各个训练得到的弱分类器组合成强分类器。各个弱分类器的训练过程结束后,加大分类误差率小的弱分类器的权重,使其在最终的分类函数中起着较大的决定作用,而降低分类误差率大的弱分类器的权重,使其在最终的分类函数中起着较小的决定作用。换言之,误差率低的弱分类器在最终分类器中占的权重较大,否则较小。
1.2 Adaboost算法流程
给定一个训练数据集T={(x1,y1), (x2,y2)…(xN,yN)},其中实例x \in \mathcal{X},而实例空间\mathcal{X} \subset \mathbb{R}^n,yi属于标记集合{-1,+1},Adaboost的目的就是从训练数据中学习一系列弱分类器或基本分类器,然后将这些弱分类器组合成一个强分类器。
Adaboost的算法流程如下:
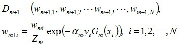
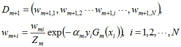
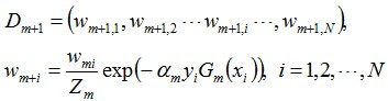
步骤1. 首先,初始化训练数据的权值分布。每一个训练样本最开始时都被赋予相同的权值:1/N。

由上述式子可知,Gm(x)在训练数据集上的误差率em就是被Gm(x)误分类样本的权值之和。


阈值v取2.5时误差率为0.3(x < 2.5时取1,x > 2.5时取-1,则6 7 8分错,误差率为0.3),
阈值v取5.5时误差率最低为0.4(x < 5.5时取1,x > 5.5时取-1,则3 4 5 6 7 8皆分错,误差率0.6大于0.5,不可取。故令x > 5.5时取1,x < 5.5时取-1,则0 1 2 9分错,误差率为0.4),
阈值v取8.5时误差率为0.3(x < 8.5时取1,x > 8.5时取-1,则3 4 5分错,误差率为0.3)。
可以看到,无论阈值v取2.5,还是8.5,总得分错3个样本,故可任取其中任意一个如2.5,弄成第一个基本分类器为:

上面说阈值v取2.5时则6 7 8分错,所以误差率为0.3,更加详细的解释是:因为样本集中
0 1 2对应的类(Y)是1,因它们本身都小于2.5,所以被G1(x)分在了相应的类“1”中,分对了。
3 4 5本身对应的类(Y)是-1,因它们本身都大于2.5,所以被G1(x)分在了相应的类“-1”中,分对了。
但6 7 8本身对应类(Y)是1,却因它们本身大于2.5而被G1(x)分在了类"-1"中,所以这3个样本被分错了。
9本身对应的类(Y)是-1,因它本身大于2.5,所以被G1(x)分在了相应的类“-1”中,分对了。
从而得到G1(x)在训练数据集上的误差率(被G1(x)误分类样本“6 7 8”的权值之和)e1=P(G1(xi)≠yi) = 3*0.1 = 0.3。
然后根据误差率e1计算G1的系数:

这个a1代表G1(x)在最终的分类函数中所占的权重,为0.4236。
接着更新训练数据的权值分布,用于下一轮迭代:

值得一提的是,由权值更新的公式可知,每个样本的新权值是变大还是变小,取决于它是被分错还是被分正确。
即如果某个样本被分错了,则yi * Gm(xi)为负,负负得正,结果使得整个式子变大(样本权值变大),否则变小。
第一轮迭代后,最后得到各个数据新的权值分布D2 = (0.0715, 0.0715, 0.0715, 0.0715, 0.0715, 0.0715, 0.1666, 0.1666, 0.1666, 0.0715)。由此可以看出,因为样本中是数据“6 7 8”被G1(x)分错了,所以它们的权值由之前的0.1增大到0.1666,反之,其它数据皆被分正确,所以它们的权值皆由之前的0.1减小到0.0715。
分类函数f1(x)= a1*G1(x) = 0.4236G1(x)。
此时,得到的第一个基本分类器sign(f1(x))在训练数据集上有3个误分类点(即6 7 8)。
从上述第一轮的整个迭代过程可以看出:被误分类样本的权值之和影响误差率,误差率影响基本分类器在最终分类器中所占的权重。
迭代过程2
对于m=2,在权值分布为D2 = (0.0715, 0.0715, 0.0715, 0.0715, 0.0715, 0.0715, 0.1666, 0.1666, 0.1666, 0.0715)的训练数据上,经过计算可得:
阈值v取2.5时误差率为0.16663(x < 2.5时取1,x > 2.5时取-1,则6 7 8分错,误差率为0.16663),
阈值v取5.5时误差率最低为0.07154(x > 5.5时取1,x < 5.5时取-1,则0 1 2 9分错,误差率为0.07153 + 0.0715),
阈值v取8.5时误差率为0.07153(x < 8.5时取1,x > 8.5时取-1,则3 4 5分错,误差率为0.07153)。
所以,阈值v取8.5时误差率最低,故第二个基本分类器为:

很明显,G2(x)把样本“3 4 5”分错了,根据D2可知它们的权值为0.0715, 0.0715, 0.0715,所以G2(x)在训练数据集上的误差率e2=P(G2(xi)≠yi) = 0.0715 * 3 = 0.2143。
计算G2的系数:
更新训练数据的权值分布:
D3 = (0.0455, 0.0455, 0.0455, 0.1667, 0.1667, 0.01667, 0.1060, 0.1060, 0.1060, 0.0455)。被分错的样本“3 4 5”的权值变大,其它被分对的样本的权值变小。
f2(x)=0.4236G1(x) + 0.6496G2(x)
此时,得到的第二个基本分类器sign(f2(x))在训练数据集上有3个误分类点(即3 4 5)。
迭代过程3
对于m=3,在权值分布为D3 = (0.0455, 0.0455, 0.0455, 0.1667, 0.1667, 0.01667, 0.1060, 0.1060, 0.1060, 0.0455)的训练数据上,经过计算可得:
阈值v取2.5时误差率为0.10603(x < 2.5时取1,x > 2.5时取-1,则6 7 8分错,误差率为0.10603),
阈值v取5.5时误差率最低为0.04554(x > 5.5时取1,x < 5.5时取-1,则0 1 2 9分错,误差率为0.04553 + 0.0715),
阈值v取8.5时误差率为0.16673(x < 8.5时取1,x > 8.5时取-1,则3 4 5分错,误差率为0.16673)。
所以阈值v取5.5时误差率最低,故第三个基本分类器为:

此时,被误分类的样本是:0 1 2 9,这4个样本所对应的权值皆为0.0455,
所以G3(x)在训练数据集上的误差率e3 = P(G3(xi)≠yi) = 0.0455*4 = 0.1820。
计算G3的系数:
更新训练数据的权值分布:
D4 = (0.125, 0.125, 0.125, 0.102, 0.102, 0.102, 0.065, 0.065, 0.065, 0.125)。被分错的样本“0 1 2 9”的权值变大,其它被分对的样本的权值变小。
f3(x)=0.4236G1(x) + 0.6496G2(x)+0.7514G3(x)
此时,得到的第三个基本分类器sign(f3(x))在训练数据集上有0个误分类点。至此,整个训练过程结束。
现在,咱们来总结下3轮迭代下来,各个样本权值和误差率的变化,如下所示(其中,样本权值D中加了下划线的表示在上一轮中被分错的样本的新权值):
训练之前,各个样本的权值被初始化为D1 = (0.1, 0.1,0.1, 0.1, 0.1, 0.1, 0.1, 0.1, 0.1, 0.1);
第一轮迭代中,样本“6 7 8”被分错,对应的误差率为e1=P(G1(xi)≠yi) = 30.1 = 0.3,此第一个基本分类器在最终的分类器中所占的权重为a1 = 0.4236。第一轮迭代过后,样本新的权值为D2 = (0.0715, 0.0715, 0.0715, 0.0715, 0.0715, 0.0715, 0.1666, 0.1666, 0.1666, 0.0715);
第二轮迭代中,样本“3 4 5”被分错,对应的误差率为e2=P(G2(xi)≠yi) = 0.0715 * 3 = 0.2143,此第二个基本分类器在最终的分类器中所占的权重为a2 = 0.6496。第二轮迭代过后,样本新的权值为D3 = (0.0455, 0.0455, 0.0455, 0.1667, 0.1667, 0.01667, 0.1060, 0.1060, 0.1060, 0.0455);
第三轮迭代中,样本“0 1 2 9”被分错,对应的误差率为e3 = P(G3(xi)≠yi) = 0.04554 = 0.1820,此第三个基本分类器在最终的分类器中所占的权重为a3 = 0.7514。第三轮迭代过后,样本新的权值为D4 = (0.125, 0.125, 0.125, 0.102, 0.102, 0.102, 0.065, 0.065, 0.065, 0.125)。
从上述过程中可以发现,如果某些个样本被分错,它们在下一轮迭代中的权值将被增大,同时,其它被分对的样本在下一轮迭代中的权值将被减小。就这样,分错样本权值增大,分对样本权值变小,而在下一轮迭代中,总是选取让误差率最低的阈值来设计基本分类器,所以误差率e(所有被Gm(x)误分类样本的权值之和)不断降低。
综上,将上面计算得到的a1、a2、a3各值代入G(x)中,G(x) = sign[f3(x)] = sign[ a1 * G1(x) + a2 * G2(x) + a3 * G3(x) ],得到最终的分类器为:
G(x) = sign[f3(x)] = sign[ 0.4236G1(x) + 0.6496G2(x)+0.7514G3(x) ]。
2Adaboost 指数损失函数推导
事实上,在上文1.2节Adaboost的算法流程的步骤3中,我们构造的各个基本分类器的线性组合.

是一个加法模型,而Adaboost算法其实是前向分步算法的特例。那么问题来了,什么是加法模型,什么又是前向分步算法呢?
加法模型和前向分步算法
如下图所示的便是一个加法模型

其中,称为基函数,称为基函数的参数,称为基函数的系数。
在给定训练数据及损失函数的条件下,学习加法模型成为经验风险极小化问题,即损失函数极小化问题:
随后,该问题可以作如此简化:从前向后,每一步只学习一个基函数及其系数,逐步逼近上式,即:每步只优化如下损失函数:
这个优化方法便就是所谓的前向分步算法。
输入:训练数据集
损失函数:
基函数集:
输出:加法模型
算法步骤:
-
初始化
-
对于m=1,2,…M
a)极小化损失函数


前向分步算法与Adaboost的关系
在上文第2节最后,我们说Adaboost 还有另外一种理解,即可以认为其模型是加法模型、损失函数为指数函数、学习算法为前向分步算法的二类分类学习方法。其实,Adaboost算法就是前向分步算法的一个特例,Adaboost 中,各个基本分类器就相当于加法模型中的基函数,且其损失函数为指数函数。换句话说,当前向分步算法中的基函数为Adaboost中的基本分类器时,加法模型等价于Adaboost的最终分类器。

你甚至可以说,这个最终分类器其实就是一个加法模型。只是这个加法模型由基本分类器及其系数组成,m = 1, 2, …, M。前向分步算法逐一学习基函数的过程,与Adaboost算法逐一学习各个基本分类器的过程一致。下面,咱们便来证明:当前向分步算法的损失函数是指数损失函数

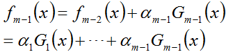
时,其学习的具体操作等价于Adaboost算法的学习过程。假设经过m-1轮迭代,前向分步算法已经得到:

而后在第m轮迭代得到、和。其中,为:

而和未知。所以,现在咱们的目标便是根据前向分步算法训练和,使得最终在训练数据集T上的指数损失最小,即
针对这种需要求解多个参数的情况,可以先固定其它参数,求解其中一两个参数,然后逐一求解剩下的参数。例如我们可以固定和,只针对和做优化。换言之,在面对和 这2m个参数都未知的情况下,可以:
先假定和已知,求解出和;
然后再逐一求解其它未知参数。
且考虑到上式中的既不依赖也不依赖G,所以是个与最小化无关的固定值,记为,即,则上式可以表示为(后面要多次用到这个式子,简记为):

本文深入讲解Adaboost算法原理及实现流程,通过实例演示如何构建强分类器,并探讨Adaboost作为加法模型的指数损失函数推导过程。
1万+

被折叠的 条评论
为什么被折叠?



