实战TensorFlow房价预测
目录
房价预测模型介绍
使用TensorFlow实现房价预测模型
使用TensorBoard可视化模型数据流图
一、房价预测模型介绍
1.前置知识



2.单变量房价预测问题
问题描述:
根据房屋面积x来预测其销售价格y
# 导包
# pandas是一个BSD开源协议许可的,面向python用户的高性能和易于上手的数据结构化和数据分析工具
# seaborn是一个基于matplotlib的python数据可视化库,它提供了更易用的高级接口,而且有易于绘制精美且信息丰富的统计图像
import pandas as pd
import seaborn as sns
sns.set(context="notebook",style="whitegrid",palette="dark")
# 查看q前5行数据
df0 = pd.read_csv("data/data0.csv",names=["square","price"])
df0.head()
| square | price | |
|---|---|---|
| 0 | 2104 | 399900 |
| 1 | 1600 | 329900 |
| 2 | 2400 | 369000 |
| 3 | 1416 | 232000 |
| 4 | 3000 | 539900 |
# 绘图来表示数据
# seaborn.lmplot()方法专门用于用于线性关系的可视化,适用于回归模型
sns.lmplot("square","price",df0,height=6,fit_reg=True)
<seaborn.axisgrid.FacetGrid at 0x1ac51644c88>

# 查看数据的详细信息
df0.info()
<class 'pandas.core.frame.DataFrame'>
RangeIndex: 47 entries, 0 to 46
Data columns (total 2 columns):
square 47 non-null int64
price 47 non-null int64
dtypes: int64(2)
memory usage: 832.0 bytes
3. 多变量房价预测
a.问题描述:
根据房屋面积x1和卧室面积数量x2,预测其销售价格y
b.查看数据
# 导包
# matplotlib是一个Python 2D绘图库
# mpl_toolkits.mplot3d是一个基础3d绘图(散点图、平面图、折线图)工具集,也是matplotlib库的一部分
import matplotlib.pyplot as plt
from mpl_toolkits import mplot3d
# 读取数据,显示前5行数据
df1 = pd.read_csv("data/data1.csv",names=["square","bedrooms","price"])
df1.head()
| square | bedrooms | price | |
|---|---|---|---|
| 0 | 2104 | 3 | 399900 |
| 1 | 1600 | 3 | 329900 |
| 2 | 2400 | 3 | 369000 |
| 3 | 1416 | 2 | 232000 |
| 4 | 3000 | 4 | 539900 |
# 绘制3D散点图
fig = plt.figure()
# 创建一个Axes3D object
ax = plt.axes(projection="3d")
# 设置三个坐标的名称
ax.set_xlabel("square")
ax.set_ylabel("bedrooms")
ax.set_zlabel("price")
# 绘制3D散点图
ax.scatter3D(df1["square"],df1["bedrooms"],df1["price"],c=df1["price"],cmap="Greens")
<mpl_toolkits.mplot3d.art3d.Path3DCollection at 0x1ac52a5e160>

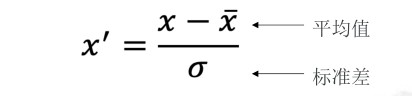
c.数据归一化处理
然而房屋面积和卧室数量这两个变量(特征)在数值上差了1000倍。在这种情况下,通常先进行特征缩放,再开始训练,可以加速模型收敛。

# 定义归一化函数
def normalize_feature(df):
return df.apply(lambda column:(column-column.mean()) / column.std())
# 重新查看数据
df = normalize_feature(df1)
df.head()
| square | bedrooms | price | |
|---|---|---|---|
| 0 | 0.130010 | -0.223675 | 0.475747 |
| 1 | -0.504190 | -0.223675 | -0.084074 |
| 2 | 0.502476 | -0.223675 | 0.228626 |
| 3 | -0.735723 | -1.537767 | -0.867025 |
| 4 | 1.257476 | 1.090417 | 1.595389 |
# 重新展示数据
ax = plt.axes(projection="3d")
ax.set_xlabel("square")
ax.set_ylabel("bedrooms")
ax.set_zlabel("price")
ax.scatter3D(df["square"],df["bedrooms"],df["price"],c=df["price"],cmap="Reds")
<mpl_toolkits.mplot3d.art3d.Path3DCollection at 0x1ac52b50438>

# 查看数据详细信息
df.info()
<class 'pandas.core.frame.DataFrame'>
RangeIndex: 47 entries, 0 to 46
Data columns (total 3 columns):
square 47 non-null float64
bedrooms 47 non-null float64
price 47 non-null float64
dtypes: float64(3)
memory usage: 1.2 KB
d.数据处理:添加ones列(x0)
# numpy 是bsd开源协议许可的,面向python用户的基础科学计算库,在多维数组上实现了线性代数、傅里叶变换和其它丰富的函数运算
# 生成一列ones,ones是n行1列的数据框,表示x0恒为1
import numpy as np
ones = pd.DataFrame({"ones":np.ones(len(df))})
# 根据列合并数据
df = pd.concat([ones,df],axis=1)
df.head()
| ones | square | bedrooms | price | |
|---|---|---|---|---|
| 0 | 1.0 | 0.130010 | -0.223675 | 0.475747 |
| 1 | 1.0 | -0.504190 | -0.223675 | -0.084074 |
| 2 | 1.0 | 0.502476 | -0.223675 | 0.228626 |
| 3 | 1.0 | -0.735723 | -1.537767 | -0.867025 |
| 4 | 1.0 | 1.257476 | 1.090417 | 1.595389 |
# 查看详细数据
df.info()
<class 'pandas.core.frame.DataFrame'>
RangeIndex: 47 entries, 0 to 46
Data columns (total 4 columns):
ones 47 non-null float64
square 47 non-null float64
bedrooms 47 non-null float64
price 47 non-null float64
dtypes: float64(4)
memory usage: 1.5 KB
二、使用TensorFlow实现房价预测模型

1.前期数据处理
import pandas as pd
import numpy as np
# 定义标准化的函数
def normalize_feature(df):
return df.apply(lambda column:(column-column.mean())/column.std())
df = normalize_feature(pd.read_csv("./data/data1.csv",names=["square","bedrooms","price"]))
ones = pd.DataFrame({"ones": np.ones(len(df))})
df = pd.concat([ones,df],axis=1)
df.head()
| ones | square | bedrooms | price | |
|---|---|---|---|---|
| 0 | 1.0 | 0.130010 | -0.223675 | 0.475747 |
| 1 | 1.0 | -0.504190 | -0.223675 | -0.084074 |
| 2 | 1.0 | 0.502476 | -0.223675 | 0.228626 |
| 3 | 1.0 | -0.735723 | -1.537767 | -0.867025 |
| 4 | 1.0 | 1.257476 | 1.090417 | 1.595389 |
2.获取数据
X_data = np.array(df[df.columns[0:3]])
y_data = np.array(df[df.columns[-1]]).reshape(len(df),1)
print(X_data.shape,type(X_data))
print(y_data.shape,type(y_data))
(47, 3) <class 'numpy.ndarray'>
(47, 1) <class 'numpy.ndarray'>
3.创建线性回归模型
import tensorflow as tf
alpha = 0.01 # 学习率 alpha
epoch = 500 # 训练全量数据集的轮数
with tf.name_scope('input'):
# 输入 X,形状[47, 3]
X = tf.placeholder(tf.float32, X_data.shape, name='X')
# 输出 y,形状[47, 1]
y = tf.placeholder(tf.float32, y_data.shape, name='y')
with tf.name_scope('hypothesis'):
# 权重变量 W,形状[3,1]
W = tf.get_variable("weights",
(X_data.shape[1], 1),
initializer=tf.constant_initializer())
# 假设函数 h(x) = w0*x0+w1*x1+w2*x2, 其中x0恒为1
# 推理值 y_pred 形状[47,1]
y_pred = tf.matmul(X, W, name='y_pred')
with tf.name_scope('loss'):
# 损失函数采用最小二乘法,y_pred - y 是形如[47, 1]的向量。
# tf.matmul(a,b,transpose_a=True) 表示:矩阵a的转置乘矩阵b,即 [1,47] X [47,1]
# 损失函数操作 loss
loss_op = 1 / (2 * len(X_data)) * tf.matmul((y_pred - y), (y_pred - y), transpose_a=True)
with tf.name_scope('train'):
# 随机梯度下降优化器 opt
train_op = tf.train.GradientDescentOptimizer(learning_rate=alpha).minimize(loss_op)
WARNING:tensorflow:From D:\software\Anaconda\workplace\lib\site-packages\tensorflow\python\framework\op_def_library.py:263: colocate_with (from tensorflow.python.framework.ops) is deprecated and will be removed in a future version.
Instructions for updating:
Colocations handled automatically by placer.
4.创建会话
with tf.Session() as sess:
# 初始化全局变量
sess.run(tf.global_variables_initializer())
# 创建FileWriter实例,并传入当前会话加载的数据流图
writer = tf.summary.FileWriter('./summary/linear-regression-1', sess.graph)
# 记录所有损失值
loss_data = []
# 开始训练模型
# 因为训练集较小,所以采用批梯度下降优化算法,每次都使用全量数据训练
for e in range(1, epoch + 1):
_, loss, w = sess.run([train_op, loss_op, W], feed_dict={X: X_data, y: y_data})
# 记录每一轮损失值变化情况
loss_data.append(float(loss))
if e % 10 == 0:
log_str = "Epoch %d \t Loss=%.4g \t Model: y = %.4gx1 + %.4gx2 + %.4g"
print(log_str % (e, loss, w[1], w[2], w[0]))
# 关闭FileWriter的输出流
writer.close()
Epoch 10 Loss=0.4184 Model: y = 0.0791x1 + 0.03948x2 + 3.353e-10
Epoch 20 Loss=0.3582 Model: y = 0.1489x1 + 0.07135x2 + -5.588e-11
Epoch 30 Loss=0.3126 Model: y = 0.2107x1 + 0.09676x2 + 3.912e-10
Epoch 40 Loss=0.2778 Model: y = 0.2655x1 + 0.1167x2 + -1.863e-11
Epoch 50 Loss=0.2512 Model: y = 0.3142x1 + 0.1321x2 + 1.77e-10
Epoch 60 Loss=0.2306 Model: y = 0.3576x1 + 0.1436x2 + -4.47e-10
Epoch 70 Loss=0.2145 Model: y = 0.3965x1 + 0.1519x2 + -8.941e-10
Epoch 80 Loss=0.2018 Model: y = 0.4313x1 + 0.1574x2 + -6.24e-10
Epoch 90 Loss=0.1917 Model: y = 0.4626x1 + 0.1607x2 + -4.191e-10
Epoch 100 Loss=0.1835 Model: y = 0.4909x1 + 0.1621x2 + -5.402e-10
Epoch 110 Loss=0.1769 Model: y = 0.5165x1 + 0.162x2 + -7.125e-10
Epoch 120 Loss=0.1714 Model: y = 0.5397x1 + 0.1606x2 + -5.076e-10
Epoch 130 Loss=0.1668 Model: y = 0.5609x1 + 0.1581x2 + -8.335e-10
Epoch 140 Loss=0.1629 Model: y = 0.5802x1 + 0.1549x2 + -9.22e-10
Epoch 150 Loss=0.1596 Model: y = 0.5979x1 + 0.1509x2 + -9.011e-10
Epoch 160 Loss=0.1567 Model: y = 0.6142x1 + 0.1465x2 + -3.399e-10
Epoch 170 Loss=0.1542 Model: y = 0.6292x1 + 0.1416x2 + -2.561e-11
Epoch 180 Loss=0.152 Model: y = 0.643x1 + 0.1364x2 + -2.491e-10
Epoch 190 Loss=0.15 Model: y = 0.6559x1 + 0.131x2 + 1.164e-11
Epoch 200 Loss=0.1483 Model: y = 0.6678x1 + 0.1255x2 + 2.654e-10
Epoch 210 Loss=0.1467 Model: y = 0.6789x1 + 0.1199x2 + 1.979e-10
Epoch 220 Loss=0.1453 Model: y = 0.6892x1 + 0.1142x2 + 2.34e-10
Epoch 230 Loss=0.144 Model: y = 0.6989x1 + 0.1085x2 + 1.409e-10
Epoch 240 Loss=0.1429 Model: y = 0.708x1 + 0.1029x2 + 6.252e-10
Epoch 250 Loss=0.1419 Model: y = 0.7165x1 + 0.09736x2 + 6.834e-10
Epoch 260 Loss=0.1409 Model: y = 0.7245x1 + 0.09189x2 + 1.127e-09
Epoch 270 Loss=0.14 Model: y = 0.732x1 + 0.08653x2 + 7.765e-10
Epoch 280 Loss=0.1393 Model: y = 0.7391x1 + 0.08128x2 + 8.126e-10
Epoch 290 Loss=0.1385 Model: y = 0.7458x1 + 0.07616x2 + 5.047e-10
Epoch 300 Loss=0.1379 Model: y = 0.7522x1 + 0.07118x2 + 9.93e-10
Epoch 310 Loss=0.1373 Model: y = 0.7582x1 + 0.06634x2 + 1.224e-09
Epoch 320 Loss=0.1367 Model: y = 0.7639x1 + 0.06165x2 + 1.169e-09
Epoch 330 Loss=0.1362 Model: y = 0.7693x1 + 0.0571x2 + 1.327e-09
Epoch 340 Loss=0.1358 Model: y = 0.7744x1 + 0.0527x2 + 1.409e-09
Epoch 350 Loss=0.1353 Model: y = 0.7793x1 + 0.04845x2 + 1.588e-09
Epoch 360 Loss=0.135 Model: y = 0.784x1 + 0.04435x2 + 1.63e-09
Epoch 370 Loss=0.1346 Model: y = 0.7884x1 + 0.0404x2 + 2.116e-09
Epoch 380 Loss=0.1343 Model: y = 0.7926x1 + 0.03658x2 + 1.931e-09
Epoch 390 Loss=0.134 Model: y = 0.7966x1 + 0.03291x2 + 1.914e-09
Epoch 400 Loss=0.1337 Model: y = 0.8004x1 + 0.02938x2 + 2.179e-09
Epoch 410 Loss=0.1335 Model: y = 0.8041x1 + 0.02598x2 + 2.181e-09
Epoch 420 Loss=0.1332 Model: y = 0.8076x1 + 0.02271x2 + 2.497e-09
Epoch 430 Loss=0.133 Model: y = 0.8109x1 + 0.01957x2 + 2.655e-09
Epoch 440 Loss=0.1328 Model: y = 0.8141x1 + 0.01655x2 + 3.158e-09
Epoch 450 Loss=0.1327 Model: y = 0.8171x1 + 0.01366x2 + 3.703e-09
Epoch 460 Loss=0.1325 Model: y = 0.82x1 + 0.01087x2 + 4.021e-09
Epoch 470 Loss=0.1323 Model: y = 0.8228x1 + 0.008204x2 + 3.739e-09
Epoch 480 Loss=0.1322 Model: y = 0.8254x1 + 0.005641x2 + 3.865e-09
Epoch 490 Loss=0.1321 Model: y = 0.828x1 + 0.003183x2 + 4.31e-09
Epoch 500 Loss=0.132 Model: y = 0.8304x1 + 0.0008239x2 + 4.303e-09
估计模型:y = 0.8304x1 + 0.0008239x2 + 4.303e-09
三、使用TensorBoard可视化模型数据流图
1.TensorBoard使用流程

2.可视化数据流图–工作流

3.可视化数据流图制作
a.TensorBoard查看数据流图


b.可视化损失值
import matplotlib.pyplot as plt
import seaborn as sns
sns.set(context="notebook", style="whitegrid", palette="dark")
ax = sns.lineplot(x='epoch', y='loss', data=pd.DataFrame({'loss': loss_data, 'epoch': np.arange(epoch)}))
ax.set_xlabel('epoch')
ax.set_ylabel('loss')
plt.show()


本文通过实战案例,详细介绍如何使用TensorFlow实现房价预测模型。从数据预处理到模型搭建,再到利用TensorBoard进行模型可视化,全面解析房价预测的全过程。
760





