一位原码乘法器
原文链接(可能需要翻墙)
在定点计算机中,原码表示的两个数字相乘的计算规则是:乘积的符号位由两个数字的符号的异或运算得到,乘积的数字部分是两个正数的乘积。设n位被乘数和乘数用定点小数表示(定点整数也适用)
乘数: [ x ] 原 = x f . x 0 x 1 … x n [x]_原=x_f.x_0x_1\dots x_n [x]原=xf.x0x1…xn
被乘数: [ y ] 原 = y f . y 0 y 1 . . . y n [y]_原=y_f.y_0y_1...y_n [y]原=yf.y0y1...yn
乘积 [ z ] 原 = x f ⨁ y f . ( x 0 x 1 . . . x n ) × ( y 0 y 1 . . . y n ) [z]_原=x_f\bigoplus y_f.(x_0x_1...x_n)\times(y_0y_1...y_n) [z]原=xf⨁yf.(x0x1...xn)×(y0y1...yn)
在公式中, x f , y f x_f,y_f xf,yf是乘法器符号。 乘积符号的算法是:相同符号相乘为正,不同符号相乘为负。由于被乘数和乘数与符号的组合只有四种情况( x f y f = 00 、 01 、 10 、 11 x_f y_f=00、01、10、11 xfyf=00、01、10、11),因此乘积的符号可以通过“异或”(按位加法)运算获得。
数字部分的运算方法类似于普通的十进制乘法,但对于二进制表示的数字,乘法规则更简单:从乘法y的最低位开始,如果该位为“1”,则写入被乘数x;如果该位为“0”,则写入0。此后高位的数相乘则左移相应的位数。依此类推,直到所有乘数都相乘,最后将它们相加,得到最终乘积z
然而,人使用的算法并不完全适用于机器。原因之一是机器通常只有n位长。当两个n位相乘时,乘积可能是2n位。其次,仅添加两个操作数的加法器不适合同时添加n位乘积的操作。为了简化结构,机器通常只有n位长,并且只有两个加法器用于添加操作数。为此,我们必须修改上述乘法的实现,将x·y重写为适合以下定点机器的形式。
假设被乘数x和乘数y是小于1的n位定点正数:
x = 0. x 1 x 2 … x n ; y = 0. y 1 y 2 … y n x=0.x_1x_2…x_n;y=0.y_1y_2…y_n x=0.x1x2…xn;y=0.y1y2…yn
得到乘积:

用
z
i
z_i
zi表示第i项部分积,则上述公式可以表示为:

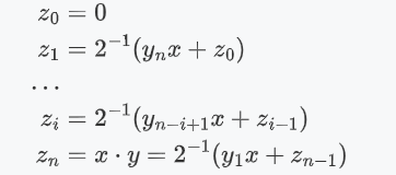
显然为了得到 x ⋅ y x\cdot y x⋅y,我们需要设置一个累加器z来保存部分积。初始化 z 0 = 0 z_0=0 z0=0,加上 y n x + z 0 y_nx+z_0 ynx+z0然后右移一位得到新的部分积 z 1 z_1 z1,重复这个算法将最终得到部分积 z n = x ⋅ y z_n=x\cdot y zn=x⋅y,这里将重复”加法"和“右移”操作n次。
例:x=0.1101,y=0.1011

得到 x ⋅ y = 0.10001111 x\cdot y=0.10001111 x⋅y=0.10001111
硬件实现中则可以设置三个n位寄存器,分别存储乘数Y、被乘数X、部分积Z。
初始化部分积为0,运算 Y 0 = 1 ? Z + = X : 0 Y_0=1?Z+=X:0 Y0=1?Z+=X:0
每次运算完将Z,Y右移一位,Y右移出的位直接抛弃,Z右移出的位存到Y的最高位,这样算到最后的Y就代表着积的低n位(如上例所述),这样最后将Z与Y拼接在一起即是乘积。
但是这样的电路会一直运算下去,所以需要加一个计数器作为使能端,在计数器到达n时停止计算
这样的电路运算n次右移n次。
8719

被折叠的 条评论
为什么被折叠?



