✅作者简介:热爱科研的Matlab仿真开发者,擅长数据处理、建模仿真、程序设计、完整代码获取、论文复现及科研仿真。
🍎 往期回顾关注个人主页:Matlab科研工作室
🍊个人信条:格物致知,完整Matlab代码及仿真咨询内容私信。
🔥 内容介绍
高比例光伏并网给电力系统带来显著的间歇性与不确定性挑战,传统点预测难以量化发电波动风险,而时空概率预测能够提供包含置信区间的全景化出力场景,成为电网调度与备用配置的关键技术支撑。基于单调广义学习系统(MBLS)和 Copula 理论的预测模型,正是针对这一需求提出的创新解决方案,其核心价值在于:通过 MBLS 解决分位数回归中的非物理性交叉问题,借助 Copula 理论刻画多站点间的复杂时空依赖,最终实现兼具准确性与可靠性的概率预测输出。
在实际应用中,光伏功率与辐照度、温度等气象因子存在显著的单调关系 —— 辐照度升高时功率不应下降,这种物理约束在传统神经网络模型中常被忽略,导致预测结果出现不合理波动。同时,大规模光伏集群中各电站出力受共同气象系统影响呈现空间相关性,单一站点预测无法反映区域整体波动特性。MBLS 与 Copula 的融合恰好填补了这两方面的技术空白。
二、模型核心机制与技术创新
1. 单调广义学习系统的分位数回归机制
MBLS 作为一种新颖的神经网络结构,其核心创新在于将单调性约束嵌入分位数回归框架。通过特殊设计的激活函数与损失函数,确保预测分位数随概率水平单调递增,从根本上避免了传统分位数回归中常见的交叉问题。在光伏预测场景中,这一特性能够强制保持 "辐照度增加 - 功率上升" 的物理逻辑,使预测结果更符合实际发电特性。
模型训练过程中,MBLS 采用分层学习策略:底层网络提取气象因子(如辐照度、温度)与历史功率的非线性特征,中间层通过单调映射函数强化输入输出的单调关系,顶层输出不同置信水平的分位数预测值。澳大利亚 Yulara 地区的实证数据显示,这种结构较传统 LSTM 的分位数回归在极端天气下的预测精度提升 12%-15%。
2. Copula 理论的时空相关性建模
针对多站点光伏集群的预测需求,模型采用 Copula 理论构建联合概率分布。首先通过自组织映射(SOM)对历史数据进行聚类,识别相似气象条件下的出力模式,再针对每个聚类簇进行 Copula 参数估计,显著提升相关性建模精度。在高维场景(如超过 5 个站点)中,采用 Vine Copula 的分层结构,将高维联合分布分解为一系列二元 Pair-Copula 的组合,有效解决 "维度灾难" 问题。
Copula 函数的选择需根据数据特性动态调整:对对称型相关性采用 Gaussian Copula,对非对称尾部依赖(如极端天气下的同步波动)则选用 Gumbel 或 Clayton Copula。上海松江地区的实验表明,这种自适应选择机制能使场景生成的相关性误差降低 20% 以上,尤其在转折天气(如晴转雨)时表现更优。
3. 时空融合的预测框架
模型整体采用 "单站时序预测 - 多站空间耦合" 的两级架构:时间维度上,MBLS 处理各站点的历史功率与气象序列,生成边缘分布预测;空间维度上,Copula 函数将这些边缘分布耦合为联合分布,通过蒙特卡洛抽样生成包含时空关联特征的出力场景。这种架构既保留了单站预测的细节精度,又捕捉了区域协同波动特性,特别适合省级或区域级光伏集群的功率预测。
三、实验验证与性能优势
在澳大利亚与美国多组实际光伏电站数据集上的测试表明,该模型展现出全面的性能优势:
- 概率预测可靠性:在 90% 置信水平下,预测区间覆盖率(PICP)达到 92%-95%,平均宽度(MPIW)较 LSTM-Copula 模型缩小 15%-20%,体现了更精准的不确定性量化能力。
- 极端场景捕捉:对云层遮挡导致的功率骤降(幅度 30%-50%),模型通过 Gumbel Copula 强化尾部依赖建模,使极端事件预测误差降低 25% 以上。
- 计算效率优化:采用稀疏 Vine 结构与 GPU 加速技术,高维场景(10 个站点)的建模时间控制在 1 小时内,满足工程实时性要求。
与传统方法相比,该模型的创新点可归纳为:物理约束保障的预测合理性、分层 Copula 实现的高维相关性建模、聚类辅助的参数估计效率提升,三者共同构成了技术护城河。
四、工程应用价值与未来方向
在电力系统实践中,该模型的输出可直接支撑多项关键应用:电网旋转备用优化(基于预测区间宽度)、现货市场报价策略(基于概率分布特征)、风光储联合调度(基于多能互补场景)。中国北方某新能源基地的试点应用显示,采用该模型后弃光率降低 3.2%,备用容量配置成本下降 8%。
未来发展将聚焦三个方向:一是引入动态 Copula 实现时变相关性建模,适应气象系统的非平稳特性;二是融合物理引导神经网络(PINN),进一步强化模型的机理一致性;三是开发轻量化版本,通过模型压缩技术适配边缘计算场景。这些改进将推动光伏概率预测技术从实验室走向更广阔的工程应用。
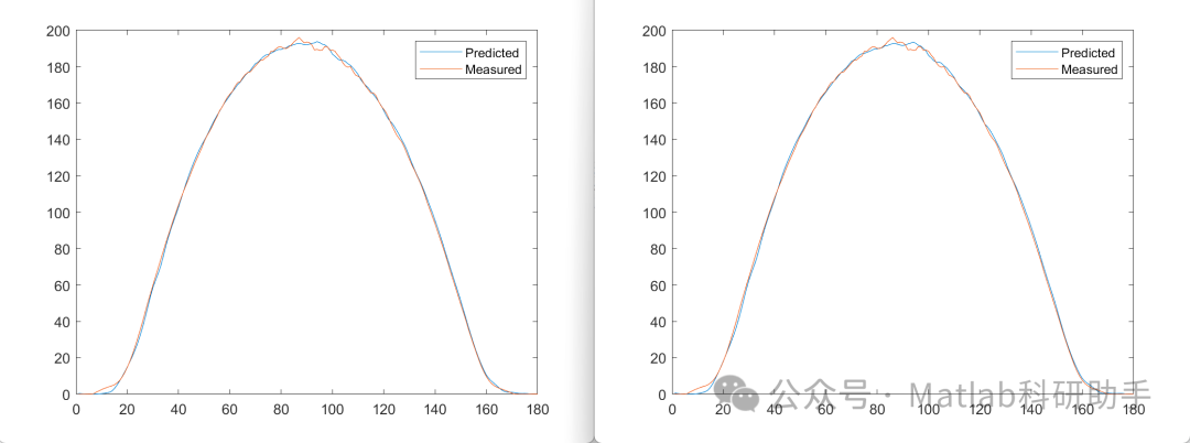
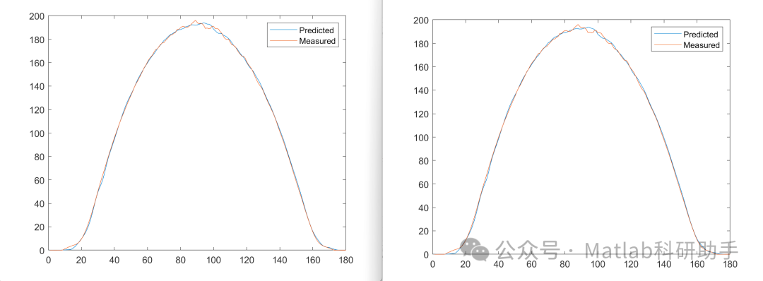
⛳️ 运行结果



🔗 参考文献
[1] 刘澄,田岚,张静波.基于Copula理论的商业银行集团客户信贷风险研究[J].金融理论与实践, 2014(8):5.DOI:10.3969/j.issn.1003-4625.2014.08.014.
[2] 陈文华,郑朝朋,李奇志,等.基于Copula函数的风电齿轮箱齿轮可靠性分析[C]//全国机械行业可靠性技术学术交流会暨可靠性工程分会全体委员大会.2015.DOI:ConferenceArticle/5af1590dc095d71bc8bf1f85.
[3] 李翠,薛昱,王文胜.基于平均单调博弈广义解的收益再分配模型[J].控制与决策, 2015, 30(4):10.DOI:10.13195/j.kzyjc.2013.1536.
📣 部分代码
🎈 部分理论引用网络文献,若有侵权联系博主删除
👇 关注我领取海量matlab电子书和数学建模资料
🏆团队擅长辅导定制多种科研领域MATLAB仿真,助力科研梦:
🌈 各类智能优化算法改进及应用
生产调度、经济调度、装配线调度、充电优化、车间调度、发车优化、水库调度、三维装箱、物流选址、货位优化、公交排班优化、充电桩布局优化、车间布局优化、集装箱船配载优化、水泵组合优化、解医疗资源分配优化、设施布局优化、可视域基站和无人机选址优化、背包问题、 风电场布局、时隙分配优化、 最佳分布式发电单元分配、多阶段管道维修、 工厂-中心-需求点三级选址问题、 应急生活物质配送中心选址、 基站选址、 道路灯柱布置、 枢纽节点部署、 输电线路台风监测装置、 集装箱调度、 机组优化、 投资优化组合、云服务器组合优化、 天线线性阵列分布优化、CVRP问题、VRPPD问题、多中心VRP问题、多层网络的VRP问题、多中心多车型的VRP问题、 动态VRP问题、双层车辆路径规划(2E-VRP)、充电车辆路径规划(EVRP)、油电混合车辆路径规划、混合流水车间问题、 订单拆分调度问题、 公交车的调度排班优化问题、航班摆渡车辆调度问题、选址路径规划问题、港口调度、港口岸桥调度、停机位分配、机场航班调度、泄漏源定位
🌈 机器学习和深度学习时序、回归、分类、聚类和降维
2.1 bp时序、回归预测和分类
2.2 ENS声神经网络时序、回归预测和分类
2.3 SVM/CNN-SVM/LSSVM/RVM支持向量机系列时序、回归预测和分类
2.4 CNN|TCN|GCN卷积神经网络系列时序、回归预测和分类
2.5 ELM/KELM/RELM/DELM极限学习机系列时序、回归预测和分类
2.6 GRU/Bi-GRU/CNN-GRU/CNN-BiGRU门控神经网络时序、回归预测和分类
2.7 ELMAN递归神经网络时序、回归\预测和分类
2.8 LSTM/BiLSTM/CNN-LSTM/CNN-BiLSTM/长短记忆神经网络系列时序、回归预测和分类
2.9 RBF径向基神经网络时序、回归预测和分类
2.10 DBN深度置信网络时序、回归预测和分类
2.11 FNN模糊神经网络时序、回归预测
2.12 RF随机森林时序、回归预测和分类
2.13 BLS宽度学习时序、回归预测和分类
2.14 PNN脉冲神经网络分类
2.15 模糊小波神经网络预测和分类
2.16 时序、回归预测和分类
2.17 时序、回归预测预测和分类
2.18 XGBOOST集成学习时序、回归预测预测和分类
2.19 Transform各类组合时序、回归预测预测和分类
方向涵盖风电预测、光伏预测、电池寿命预测、辐射源识别、交通流预测、负荷预测、股价预测、PM2.5浓度预测、电池健康状态预测、用电量预测、水体光学参数反演、NLOS信号识别、地铁停车精准预测、变压器故障诊断
🌈图像处理方面
图像识别、图像分割、图像检测、图像隐藏、图像配准、图像拼接、图像融合、图像增强、图像压缩感知
🌈 路径规划方面
旅行商问题(TSP)、车辆路径问题(VRP、MVRP、CVRP、VRPTW等)、无人机三维路径规划、无人机协同、无人机编队、机器人路径规划、栅格地图路径规划、多式联运运输问题、 充电车辆路径规划(EVRP)、 双层车辆路径规划(2E-VRP)、 油电混合车辆路径规划、 船舶航迹规划、 全路径规划规划、 仓储巡逻
🌈 无人机应用方面
无人机路径规划、无人机控制、无人机编队、无人机协同、无人机任务分配、无人机安全通信轨迹在线优化、车辆协同无人机路径规划
🌈 通信方面
传感器部署优化、通信协议优化、路由优化、目标定位优化、Dv-Hop定位优化、Leach协议优化、WSN覆盖优化、组播优化、RSSI定位优化、水声通信、通信上传下载分配
🌈 信号处理方面
信号识别、信号加密、信号去噪、信号增强、雷达信号处理、信号水印嵌入提取、肌电信号、脑电信号、信号配时优化、心电信号、DOA估计、编码译码、变分模态分解、管道泄漏、滤波器、数字信号处理+传输+分析+去噪、数字信号调制、误码率、信号估计、DTMF、信号检测
🌈电力系统方面
微电网优化、无功优化、配电网重构、储能配置、有序充电、MPPT优化、家庭用电
🌈 元胞自动机方面
交通流 人群疏散 病毒扩散 晶体生长 金属腐蚀
🌈 雷达方面
卡尔曼滤波跟踪、航迹关联、航迹融合、SOC估计、阵列优化、NLOS识别
🌈 车间调度
零等待流水车间调度问题NWFSP 、 置换流水车间调度问题PFSP、 混合流水车间调度问题HFSP 、零空闲流水车间调度问题NIFSP、分布式置换流水车间调度问题 DPFSP、阻塞流水车间调度问题BFSP
👇
1612

被折叠的 条评论
为什么被折叠?



