✅作者简介:热爱科研的Matlab仿真开发者,擅长数据处理、建模仿真、程序设计、完整代码获取、论文复现及科研仿真。
🍎 往期回顾关注个人主页:Matlab科研工作室
🍊个人信条:格物致知,完整Matlab代码及仿真咨询内容私信。
🔥 内容介绍
在信道编码理论中,评估数字通信系统性能的极限是至关重要的。针对特定的调制方案和信道模型,预测可达到的误码率或误帧率下限,有助于指导系统设计和性能优化。本文旨在深入探讨在加性高斯白噪声(AWGN)信道和瑞利衰落信道下,16-QAM(正交幅度调制)系统的几种重要性能界限:联合界限(Union Bound)、联合巴特查里亚界限(Union Bhattacharyya Bound)和最小欧几里得距离界限(Minimum Euclidean Distance Bound)。文章还将结合提及的“fading_16QAM2”、“Gaussian_16QAM”、“GaussianAM4”等研究内容,对这些界限在实际系统性能分析中的应用进行阐述。
1. 引言

对于16-QAM调制,它是一种常用的高阶调制方式,可以在有限的带宽内传输更多的数据。然而,高阶调制对噪声和衰落更加敏感,因此准确预测其在不同信道下的性能界限显得尤为重要。AWGN信道是一种理想化的信道模型,只考虑高斯噪声的影响,是分析通信系统基本性能的基础。瑞利衰落信道则是一种常见的慢衰落模型,描述了信号由于多径传播引起的幅度随机衰落,更接近实际无线通信环境。
本文将详细阐述联合界限、联合巴特查里亚界限和最小欧几里得距离界限的原理和推导过程,并分析它们在AWGN和瑞利衰落信道下16-QAM系统中的具体应用。同时,将结合“fading_16QAM2”、“Gaussian_16QAM”、“GaussianAM4”等研究内容,探讨这些界限在实际系统仿真和理论分析中的作用。
2. 性能界限的理论基础
在数字通信系统中,接收端通常采用最大似然(ML)译码或检测,即选择与接收信号最“接近”的星座点作为发送符号的估计。在AWGN信道下,ML检测器的准则是最小欧几里得距离。在衰落信道下,ML检测通常需要信道状态信息(CSI)。

3. 联合界限 (Union Bound)

由于星座图的对称性,实际计算时可以利用对称性简化计算,例如只计算从一个符号点出发到其他所有符号点的PEP,然后乘以16。


联合界限的优点是直观易于理解和计算,尤其是在AWGN信道下。然而,它是一个上界,在低信噪比区域可能不是很紧,因为它忽略了多重错误事件之间的重叠。在高信噪比区域,主要的错误是误判为最近的星座点,此时联合界限会趋近于实际的误码率。
4. 联合巴特查里亚界限 (Union Bhattacharyya Bound)



巴特查里亚界限通常比联合界限更紧,尤其是在低信噪比区域。它的优点在于计算相对简单,尤其是在推导信道编码的性能界限时非常有用。然而,它仍然是一个上界。
5. 最小欧几里得距离界限 (Minimum Euclidean Distance Bound)

在瑞利衰落信道下,在高信噪比区域,性能通常由具有最小欧几里得距离的成对错误决定,并且由于衰落的影响,误码率以较低的速率下降。最小欧几里得距离界限可以表示为:
PeMED≈NminP(si→sj∣Rayleigh)dij=dmin

最小欧几里得距离界限在高信噪比区域是紧的,并且计算非常简单。然而,在低信噪比区域,它可能与实际性能相差较大,因为它忽略了距离较大的符号对的错误贡献。
6. 研究内容与性能界限的联系
提及的“fading_16QAM2”、“Gaussian_16QAM”、“GaussianAM4”等很可能代表了具体的仿真或理论研究项目。
-
Gaussian_16QAM: 这很可能指的是在AWGN信道下对16-QAM系统的研究。在这种研究中,联合界限、联合巴特查里亚界限和最小欧几里得距离界限都可以用来预测和分析仿真结果。仿真曲线应该位于联合界限或联合巴特查里亚界限之下,并在高信噪比区域趋近于最小欧几里得距离界限。通过比较仿真结果与理论界限,可以验证仿真模型的正确性,并评估系统设计的效率。
-
fading_16QAM2: 这很可能指的是在瑞利衰落信道或其他衰落信道下对16-QAM系统的研究。这里的“2”可能表示某种特定的衰落参数、分集技术、编码方案或系统配置。在这种研究中,对瑞利衰落信道下推导的联合界限、联合巴特查里亚界限和最小欧几里得距离界限将具有重要的参考价值。仿真结果将反映衰落的影响,并且与理论界限的对比可以帮助理解不同衰落条件和系统配置对性能的影响。例如,如果研究涉及分集技术,理论界限的推导也需要考虑分集增益。
-
GaussianAM4: 这可能指的是在AWGN信道下对4-QAM(QPSK)系统的研究。虽然本文主要关注16-QAM,但性能界限的原理对于其他QAM调制方案(如4-QAM)是通用的。研究GaussianAM4时,可以采用类似的联合界限、联合巴特查里亚界限和最小欧几里得距离界限来分析其在AWGN信道下的性能。与16-QAM相比,4-QAM的星座点更少,符号之间的欧几里得距离更大(在相同平均功率下),因此在相同的信噪比下,4-QAM的误码率通常低于16-QAM。比较Gaussian_16QAM和GaussianAM4的研究结果和理论界限,可以直观地展示调制阶数对性能的影响。
这些研究通常会通过Matlab、Python或其他仿真工具来实现,生成误码率或误帧率随信噪比变化的曲线。将这些仿真曲线与理论推导出的性能界限曲线绘制在同一张图上,是分析和展示结果的常用方法。
8. 结论
本文详细阐述了在AWGN和瑞利衰落信道下,16-QAM系统的联合界限、联合巴特查里亚界限和最小欧几里得距离界限。这些界限为评估通信系统性能提供了重要的理论工具。
- 联合界限
提供了一个相对容易计算的误码率上界,在分析误码率随信噪比变化趋势时很有用,尤其是在高信噪比区域。
- 联合巴特查里亚界限
通常比联合界限更紧,尤其是在低信噪比区域,为系统设计提供了更精确的参考。
- 最小欧几里得距离界限
在高信噪比区域非常紧,并且计算最简单,为系统性能的渐近行为提供了直观的理解。
在结合“fading_16QAM2”、“Gaussian_16QAM”、“GaussianAM4”等研究内容时,这些性能界限的应用体现在以下几个方面:
- 验证仿真结果的正确性:
仿真得到的误码率曲线不应低于理论推导出的界限。
- 评估系统设计的潜力:
比较实际系统性能与理论界限的差距,可以判断系统设计的效率,并指出进一步优化的方向。
- 理解信道和调制方案的影响:
通过分析不同信道(AWGN vs. Rayleigh fading)和不同调制方案(16-QAM vs. 4-QAM)下的性能界限,可以深入理解它们对系统性能的根本影响。
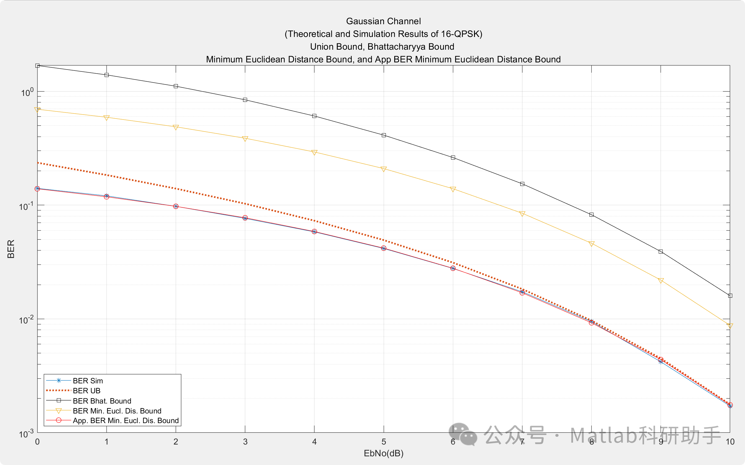
⛳️ 运行结果



🔗 参考文献
[1] 谭文芬,陈启兴.非AWGN环境下调制类型自动识别[J].现代电子技术, 2003(18):4.DOI:10.3969/j.issn.1004-373X.2003.18.007.
[2] 周鹏,赵春明,史志华,等.AWGN信道中载波频偏影响下的PCC-OFDM系统性能分析[J].中国科学(E辑:信息科学), 2007.DOI:CNKI:SUN:JEXK.0.2007-10-009.
[3] 周鹏,赵春明,史志华,等.AWGN信道中载波频偏影响下的PCC-OFDM系统性能分析[J].中国科学(E辑:信息科学), 2007, 37(10):1339.DOI:10.1360/zf2007-37-10-1339.
📣 部分代码
🎈 部分理论引用网络文献,若有侵权联系博主删除
👇 关注我领取海量matlab电子书和数学建模资料
🏆团队擅长辅导定制多种科研领域MATLAB仿真,助力科研梦:
🌈 各类智能优化算法改进及应用
生产调度、经济调度、装配线调度、充电优化、车间调度、发车优化、水库调度、三维装箱、物流选址、货位优化、公交排班优化、充电桩布局优化、车间布局优化、集装箱船配载优化、水泵组合优化、解医疗资源分配优化、设施布局优化、可视域基站和无人机选址优化、背包问题、 风电场布局、时隙分配优化、 最佳分布式发电单元分配、多阶段管道维修、 工厂-中心-需求点三级选址问题、 应急生活物质配送中心选址、 基站选址、 道路灯柱布置、 枢纽节点部署、 输电线路台风监测装置、 集装箱调度、 机组优化、 投资优化组合、云服务器组合优化、 天线线性阵列分布优化、CVRP问题、VRPPD问题、多中心VRP问题、多层网络的VRP问题、多中心多车型的VRP问题、 动态VRP问题、双层车辆路径规划(2E-VRP)、充电车辆路径规划(EVRP)、油电混合车辆路径规划、混合流水车间问题、 订单拆分调度问题、 公交车的调度排班优化问题、航班摆渡车辆调度问题、选址路径规划问题、港口调度、港口岸桥调度、停机位分配、机场航班调度、泄漏源定位
🌈 机器学习和深度学习时序、回归、分类、聚类和降维
2.1 bp时序、回归预测和分类
2.2 ENS声神经网络时序、回归预测和分类
2.3 SVM/CNN-SVM/LSSVM/RVM支持向量机系列时序、回归预测和分类
2.4 CNN|TCN|GCN卷积神经网络系列时序、回归预测和分类
2.5 ELM/KELM/RELM/DELM极限学习机系列时序、回归预测和分类
2.6 GRU/Bi-GRU/CNN-GRU/CNN-BiGRU门控神经网络时序、回归预测和分类
2.7 ELMAN递归神经网络时序、回归\预测和分类
2.8 LSTM/BiLSTM/CNN-LSTM/CNN-BiLSTM/长短记忆神经网络系列时序、回归预测和分类
2.9 RBF径向基神经网络时序、回归预测和分类
2.10 DBN深度置信网络时序、回归预测和分类
2.11 FNN模糊神经网络时序、回归预测
2.12 RF随机森林时序、回归预测和分类
2.13 BLS宽度学习时序、回归预测和分类
2.14 PNN脉冲神经网络分类
2.15 模糊小波神经网络预测和分类
2.16 时序、回归预测和分类
2.17 时序、回归预测预测和分类
2.18 XGBOOST集成学习时序、回归预测预测和分类
2.19 Transform各类组合时序、回归预测预测和分类
方向涵盖风电预测、光伏预测、电池寿命预测、辐射源识别、交通流预测、负荷预测、股价预测、PM2.5浓度预测、电池健康状态预测、用电量预测、水体光学参数反演、NLOS信号识别、地铁停车精准预测、变压器故障诊断
🌈图像处理方面
图像识别、图像分割、图像检测、图像隐藏、图像配准、图像拼接、图像融合、图像增强、图像压缩感知
🌈 路径规划方面
旅行商问题(TSP)、车辆路径问题(VRP、MVRP、CVRP、VRPTW等)、无人机三维路径规划、无人机协同、无人机编队、机器人路径规划、栅格地图路径规划、多式联运运输问题、 充电车辆路径规划(EVRP)、 双层车辆路径规划(2E-VRP)、 油电混合车辆路径规划、 船舶航迹规划、 全路径规划规划、 仓储巡逻
🌈 无人机应用方面
无人机路径规划、无人机控制、无人机编队、无人机协同、无人机任务分配、无人机安全通信轨迹在线优化、车辆协同无人机路径规划
🌈 通信方面
传感器部署优化、通信协议优化、路由优化、目标定位优化、Dv-Hop定位优化、Leach协议优化、WSN覆盖优化、组播优化、RSSI定位优化、水声通信、通信上传下载分配
🌈 信号处理方面
信号识别、信号加密、信号去噪、信号增强、雷达信号处理、信号水印嵌入提取、肌电信号、脑电信号、信号配时优化、心电信号、DOA估计、编码译码、变分模态分解、管道泄漏、滤波器、数字信号处理+传输+分析+去噪、数字信号调制、误码率、信号估计、DTMF、信号检测
🌈电力系统方面
微电网优化、无功优化、配电网重构、储能配置、有序充电、MPPT优化、家庭用电
🌈 元胞自动机方面
交通流 人群疏散 病毒扩散 晶体生长 金属腐蚀
🌈 雷达方面
卡尔曼滤波跟踪、航迹关联、航迹融合、SOC估计、阵列优化、NLOS识别
🌈 车间调度
零等待流水车间调度问题NWFSP 、 置换流水车间调度问题PFSP、 混合流水车间调度问题HFSP 、零空闲流水车间调度问题NIFSP、分布式置换流水车间调度问题 DPFSP、阻塞流水车间调度问题BFSP
👇
790

被折叠的 条评论
为什么被折叠?



