✅作者简介:热爱科研的Matlab仿真开发者,擅长数据处理、建模仿真、程序设计、完整代码获取、论文复现及科研仿真。
🍎 往期回顾关注个人主页:Matlab科研工作室
🍊个人信条:格物致知,完整Matlab代码及仿真咨询内容私信。
🔥 内容介绍
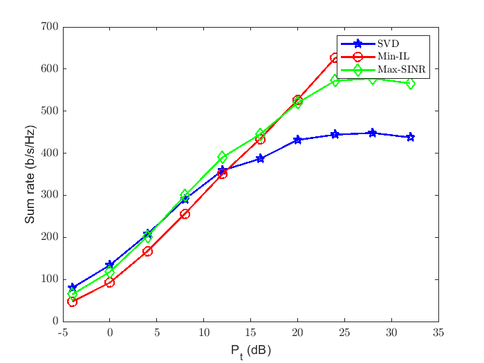
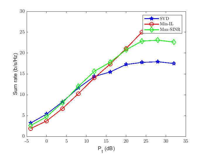
针对多输入多输出(Multiple-Input Multiple-Output, MIMO)干扰信道(Interference Channels, ICs)中用户间干扰严重、系统频谱效率受限的问题,本文提出一种基于超对角可重构智能表面(Beyond-Diagonal Reconfigurable Intelligent Surface, BD-RIS)辅助的双阶段波束成形方案。第一阶段设计被动 BD-RIS 的反射系数矩阵,以最小化所有接收端的聚合干扰功率(即干扰泄漏(Interference Leakage, IL))为目标,提出基于酉矩阵流形的优化算法及计算高效的次优求解方案;第二阶段在 BD-RIS 抑制干扰的基础上,针对用户主动预编码器,分别设计最小干扰泄漏(min-IL)、最大信干噪比(max-SINR)、最大和速率(max-SR)三种优化准则,并将 BD-RIS 未抵消的残余干扰视为噪声处理。仿真结果表明,在 BD-RIS 单元数量适中(
M<20
)且用户高功率传输(残余干扰显著)的场景下,max-SR 预编码器相比其他设计可实现超过 20% 的和速率提升,验证了所提方案的有效性与优越性。
关键词:可重构智能表面(RIS);超对角 RIS(BD-RIS);MIMO 干扰信道;波束成形;干扰抑制;和速率优化
一、引言
1.1 研究背景与问题提出
随着第五代(5G)及 Beyond 5G(B5G)通信系统对高速率、低延迟、大连接需求的不断提升,MIMO 技术凭借多天线空间分集与复用增益,成为提升频谱效率的核心手段 [1]。然而,在密集用户部署场景中,MIMO 干扰信道(ICs)面临严重的用户间同频干扰问题 —— 不同用户的发射信号在接收端相互叠加,导致信干噪比(SINR)下降,系统和速率受限 [2]。传统抗干扰技术(如干扰对齐、迫零预编码)虽能缓解部分干扰,但需用户间高精度信道状态信息(CSI)交互,且在大规模用户场景下计算复杂度急剧增加 [3]。
可重构智能表面(RIS)作为一种新型智能反射面,通过调控大量低成本无源反射单元的幅度与相位,可动态改变无线信号的传播路径,实现干扰抑制、覆盖增强等功能 [4]。传统 RIS 多采用对角反射矩阵(即各反射单元独立调控,矩阵仅对角线元素非零),但在 MIMO 干扰信道中,其对多流干扰的抑制能力有限。超对角 RIS(BD-RIS)通过引入反射单元间的非对角关联(即反射矩阵非对角线元素非零),可实现更灵活的信号调控,为多用户干扰抑制提供新的技术路径 [5]。
基于此,本文针对 BD-RIS 辅助的 MIMO 干扰信道,提出双阶段被动 - 主动波束成形方案:第一阶段利用 BD-RIS 的被动反射特性抑制全局干扰,第二阶段结合用户主动预编码进一步优化系统性能,解决传统方案中干扰抑制不彻底、计算复杂度高的问题。
1.2 相关工作与本文贡献
1.2.1 相关工作
近年来,RIS 辅助 MIMO 系统的波束成形设计成为研究热点。文献 [6] 提出 RIS 辅助 MIMO 下行系统的联合 RIS 反射系数与预编码器设计方案,以最大化系统和速率为目标,但未考虑多用户干扰信道场景;文献 [7] 针对 RIS 辅助 MIMO 干扰信道,设计基于最小干扰泄漏的被动波束成形方案,但采用传统对角 RIS,干扰抑制能力受限;文献 [8] 引入 BD-RIS 提升信号调控灵活性,但仅聚焦单用户场景,未涉及多用户主动预编码优化。现有研究尚未形成 “BD-RIS 被动干扰抑制 + 用户主动预编码优化” 的协同设计框架,且缺乏对不同预编码准则的性能对比分析。
1.2.2 本文主要贡献
- 提出双阶段波束成形框架:首次将 BD-RIS 被动反射与用户主动预编码分为两个阶段设计,先通过 BD-RIS 最小化全局干扰泄漏,再通过主动预编码优化系统性能,降低设计复杂度;
- 设计 BD-RIS 优化算法:针对第一阶段的干扰泄漏最小化问题,提出基于酉矩阵流形的优化算法(保证反射系数的单位模约束),并推导计算高效的次优解,平衡性能与复杂度;
- 多准则主动预编码设计:在第二阶段,分别设计 min-IL、max-SINR、max-SR 三种主动预编码器,考虑 BD-RIS 残余干扰的影响,完善性能优化维度;
- 仿真验证与分析:通过仿真对比不同 BD-RIS 单元数量、用户传输功率下各方案的性能,验证 max-SR 预编码器在残余干扰显著场景下的优势。
⛳️ 运行结果


📣 部分代码
function [U,V,IL] = MinIL_UV(Heq,ILwoRIS,U,V,varargin)
% Precoder and decoder optimization for IL minimization
% for the K-user MIMO-IC. Stage II
K = size(V,2); % number of users
Ntx = zeros(1,K); % transmit antennas
Nrx = zeros(1,K); % receive antennas
d = zeros(1,K); % streams
for kk = 1:K
Ntx(kk) = size(V{kk},1);
Nrx(kk) = size(U{kk},1);
d(kk) = size(V{kk},2);
end
%% Default values
opt_params = struct();
opt_params.niterinner = 100; % Maximum number of iterations for inner loop (U&V opt)
opt_params.thresholdinner1 = 1e-8; % To check convergence of the inner loop (absolute ISP value)
opt_params.thresholdinner2 = 1e-4; % To check convergence of the inner loop (decrease between two consecutive iterations)
if nargin < 4
error(message('TooFewInputs'));
elseif nargin == 5
params = varargin{1};
for arg = fieldnames(params)'
parameter = arg{1};
param_value = params.(parameter);
switch parameter
case 'niterinner'
opt_params.niterinner = param_value;
case 'thresholdinner1'
opt_params.thresholdinner1 = param_value;
case 'thresholdinner2'
opt_params.thresholdinner2 = param_value;
end
end
elseif nargin > 5
error(message('TooManyInputs'));
end
%% ------------------------------- U&V update --------------------------------%
true_inner = 1;
nn_inner = 0;
IL = zeros(1,opt_params.niterinner); % Stores interference leakage
while true_inner % here Heq does not change
nn_inner = nn_inner+1;
%% -------------------------- Decoder update (U) ---------------------------------%
Qaux = cell(K,K); % interference covariance matrices (K^2 matrices)
Q = cell(1,K); % interference covariance matrices at the k-th Rx (K matrices)
for k = 1:K
for l = 1:K
%-- Interference covariance matrix produced by the l-th Tx into the k-th Rx----%
Qaux{l,k} = Heq{l,k}*V{l}*V{l}'*Heq{l,k}';
%------------------------------------------------------------------------------%
end
end
for k = 1:K
ind = 1:K; ind(k)=[]; % a vector with all indexes except the k-th
%---- Int. convariance matrix at the k-th Rx ---%
Q{k} = zeros(size(Qaux{k,k}));
for tt =1:length(ind)
Q{k} = Q{k} + Qaux{ind(tt),k};
end
%------ Now we compute the the interference subspace and ----%
%----- its orthogonal complement------------------------------%
[A,~] = svd(Q{k});
U{k} = A(:,Nrx(k)-d(k)+1:end); % smallest eigenvectors -> interference free subspace-> Projector U(:,:,k)*U(:,:,k)'
end
%% ------------------------------- Precoders update (V) --------------------------------%
Qaux = cell(K,K); % interference covariance matrices (K^2 matrices)
Q = cell(1,K); % interference covariance matrices provoked by the l-th Tx (K matrices)
for k = 1:K
for l = 1:K
%------ Interference covariance matrix seen by the l-th Tx from the k-th Rx-----%
Qaux{l,k} = Heq{l,k}'*U{k}*U{k}'*Heq{l,k};
%--------------------------------------------------------------
end
end
for l = 1:K
ind = 1:K;
ind(l) = []; % we take out the desired user
Q{l} = zeros(size(Qaux{l,l}));
for tt = 1:length(ind)
Q{l} = Q{l} + Qaux{l,ind(tt)};
end
%------ find the subspace that causes less interference ----%
[A,~] = svd(Q{l});
V{l} = A(:,Ntx(l)-d(l)+1:end); % smallest eigenvectors of the interference subspace
end
%% IL Cost
IL(nn_inner) = ILCost(K,U,V,Heq);
%% Check convergence
if nn_inner==1
if IL(nn_inner)<ILwoRIS*opt_params.thresholdinner1
true_inner = 0;
IL(nn_inner+1:end) = [];
end
else
if (abs(IL(nn_inner)-IL(nn_inner-1))<IL(nn_inner-1)*opt_params.thresholdinner2)||...
(IL(nn_inner)<ILwoRIS*opt_params.thresholdinner1)...
||(nn_inner==opt_params.niterinner)
true_inner = 0;
IL(nn_inner+1:end) = [];
end
end
end
🔗 参考文献
Interference Minimization in Beyond-Diagonal RIS-assisted MIMO Interference Channels" by Ignacio Santamaria, Mohammad Soleymani, Eduard Jorswieck, and Jesus Gutierrez, IEEE Open Journal of Vehicular Technology, 2025
🎈 部分理论引用网络文献,若有侵权联系博主删除
👇 关注我领取海量matlab电子书和数学建模资料
🏆团队擅长辅导定制多种科研领域MATLAB仿真,助力科研梦:
🌟 各类智能优化算法改进及应用
生产调度、经济调度、装配线调度、充电优化、车间调度、发车优化、水库调度、三维装箱、物流选址、货位优化、公交排班优化、充电桩布局优化、车间布局优化、集装箱船配载优化、水泵组合优化、解医疗资源分配优化、设施布局优化、可视域基站和无人机选址优化、背包问题、 风电场布局、时隙分配优化、 最佳分布式发电单元分配、多阶段管道维修、 工厂-中心-需求点三级选址问题、 应急生活物质配送中心选址、 基站选址、 道路灯柱布置、 枢纽节点部署、 输电线路台风监测装置、 集装箱调度、 机组优化、 投资优化组合、云服务器组合优化、 天线线性阵列分布优化、CVRP问题、VRPPD问题、多中心VRP问题、多层网络的VRP问题、多中心多车型的VRP问题、 动态VRP问题、双层车辆路径规划(2E-VRP)、充电车辆路径规划(EVRP)、油电混合车辆路径规划、混合流水车间问题、 订单拆分调度问题、 公交车的调度排班优化问题、航班摆渡车辆调度问题、选址路径规划问题、港口调度、港口岸桥调度、停机位分配、机场航班调度、泄漏源定位、冷链、时间窗、多车场等、选址优化、港口岸桥调度优化、交通阻抗、重分配、停机位分配、机场航班调度、通信上传下载分配优化
🌟 机器学习和深度学习时序、回归、分类、聚类和降维
2.1 bp时序、回归预测和分类
2.2 ENS声神经网络时序、回归预测和分类
2.3 SVM/CNN-SVM/LSSVM/RVM支持向量机系列时序、回归预测和分类
2.4 CNN|TCN|GCN卷积神经网络系列时序、回归预测和分类
2.5 ELM/KELM/RELM/DELM极限学习机系列时序、回归预测和分类
2.6 GRU/Bi-GRU/CNN-GRU/CNN-BiGRU门控神经网络时序、回归预测和分类
2.7 ELMAN递归神经网络时序、回归\预测和分类
2.8 LSTM/BiLSTM/CNN-LSTM/CNN-BiLSTM/长短记忆神经网络系列时序、回归预测和分类
2.9 RBF径向基神经网络时序、回归预测和分类
2.10 DBN深度置信网络时序、回归预测和分类
2.11 FNN模糊神经网络时序、回归预测
2.12 RF随机森林时序、回归预测和分类
2.13 BLS宽度学习时序、回归预测和分类
2.14 PNN脉冲神经网络分类
2.15 模糊小波神经网络预测和分类
2.16 时序、回归预测和分类
2.17 时序、回归预测预测和分类
2.18 XGBOOST集成学习时序、回归预测预测和分类
2.19 Transform各类组合时序、回归预测预测和分类
方向涵盖风电预测、光伏预测、电池寿命预测、辐射源识别、交通流预测、负荷预测、股价预测、PM2.5浓度预测、电池健康状态预测、用电量预测、水体光学参数反演、NLOS信号识别、地铁停车精准预测、变压器故障诊断
🌟图像处理方面
图像识别、图像分割、图像检测、图像隐藏、图像配准、图像拼接、图像融合、图像增强、图像压缩感知
🌟 路径规划方面
旅行商问题(TSP)、车辆路径问题(VRP、MVRP、CVRP、VRPTW等)、无人机三维路径规划、无人机协同、无人机编队、机器人路径规划、栅格地图路径规划、多式联运运输问题、 充电车辆路径规划(EVRP)、 双层车辆路径规划(2E-VRP)、 油电混合车辆路径规划、 船舶航迹规划、 全路径规划规划、 仓储巡逻、公交车时间调度、水库调度优化、多式联运优化
🌟 无人机应用方面
无人机路径规划、无人机控制、无人机编队、无人机协同、无人机任务分配、无人机安全通信轨迹在线优化、车辆协同无人机路径规划、
🌟 通信方面
传感器部署优化、通信协议优化、路由优化、目标定位优化、Dv-Hop定位优化、Leach协议优化、WSN覆盖优化、组播优化、RSSI定位优化、水声通信、通信上传下载分配
🌟 信号处理方面
信号识别、信号加密、信号去噪、信号增强、雷达信号处理、信号水印嵌入提取、肌电信号、脑电信号、信号配时优化、心电信号、DOA估计、编码译码、变分模态分解、管道泄漏、滤波器、数字信号处理+传输+分析+去噪、数字信号调制、误码率、信号估计、DTMF、信号检测
🌟电力系统方面
微电网优化、无功优化、配电网重构、储能配置、有序充电、MPPT优化、家庭用电、电/冷/热负荷预测、电力设备故障诊断、电池管理系统(BMS)SOC/SOH估算(粒子滤波/卡尔曼滤波)、 多目标优化在电力系统调度中的应用、光伏MPPT控制算法改进(扰动观察法/电导增量法)、电动汽车充放电优化、微电网日前日内优化、储能优化、家庭用电优化、供应链优化
🌟 元胞自动机方面
交通流 人群疏散 病毒扩散 晶体生长 金属腐蚀
🌟 雷达方面
卡尔曼滤波跟踪、航迹关联、航迹融合、SOC估计、阵列优化、NLOS识别
🌟 车间调度
零等待流水车间调度问题NWFSP 、 置换流水车间调度问题PFSP、 混合流水车间调度问题HFSP 、零空闲流水车间调度问题NIFSP、分布式置换流水车间调度问题 DPFSP、阻塞流水车间调度问题BFSP
👇
503

被折叠的 条评论
为什么被折叠?



