✅作者简介:热爱科研的Matlab仿真开发者,擅长数据处理、建模仿真、程序设计、完整代码获取、论文复现及科研仿真。
🍎个人主页:Matlab科研工作室
🍊个人信条:格物致知,求助可私信。
🔥 内容介绍
时间序列预测是诸多领域的关键问题,从金融市场预测到气象预报,准确预测未来趋势至关重要。然而,点预测方法仅能提供单一数值预测,无法反映预测的不确定性。相比之下,区间预测通过提供预测区间,能够更全面地刻画预测结果的置信度,为决策提供更可靠的依据。本文将深入探讨一种基于QRCNN-GRU模型的时间序列区间预测方法,分析其原理、优势以及在实际应用中的潜力。
QRCNN-GRU模型结合了卷积神经网络 (CNN) 的局部特征提取能力和门控循环单元 (GRU) 的长程依赖建模能力,并利用分位数回归 (Quantile Regression) 来获得预测区间。这种混合模型有效地解决了传统时间序列预测方法在处理复杂非线性关系和捕捉长期依赖性方面的不足。
首先,卷积神经网络 (CNN) 作为特征提取器,能够有效地捕捉时间序列数据中的局部特征。CNN 通过卷积操作,能够从原始时间序列中提取出不同尺度的特征,例如趋势、季节性以及周期性波动等。这些特征对于后续的预测至关重要,特别是对于那些包含复杂模式的时间序列数据。不同于传统的ARIMA模型,CNN能够自动学习特征,无需人工干预选择合适的特征,减少了模型构建的复杂度和主观性。 卷积核的大小和数量可以根据具体的时间序列数据的特点进行调整,以达到最佳的特征提取效果。
其次,门控循环单元 (GRU) 作为序列建模器,能够有效地捕捉时间序列数据中的长期依赖性。GRU是循环神经网络 (RNN) 的一种改进版本,它通过门控机制来控制信息的流动,解决了RNN在处理长序列时容易出现的梯度消失问题。GRU能够有效地记忆过去的信息,并将这些信息用于未来的预测,从而提高预测的准确性,尤其适用于那些具有长期记忆效应的时间序列。 GRU的记忆能力使得模型能够捕捉到时间序列中隐藏的长期模式,这在传统的非循环神经网络模型中是难以实现的。
最后,分位数回归 (Quantile Regression) 用于构建预测区间。与传统的最小二乘回归不同,分位数回归能够直接估计不同分位数的条件分位数,例如预测区间的下界和上界。通过估计多个分位数,例如5%分位数和95%分位数,我们可以得到一个包含预测值在内的90%预测区间。这种方法不仅能够提供预测值,更重要的是能够量化预测的不确定性,为决策提供更全面的信息。与仅提供点预测的模型相比,分位数回归提供更可靠和更具信息量的预测结果。
QRCNN-GRU模型的优势在于其能够有效地结合CNN和GRU的优势,并利用分位数回归来获得更全面的预测结果。具体来说,该模型具有以下几个优势:
-
强大的特征提取能力: CNN能够有效地提取时间序列数据中的局部特征,提高预测的准确性。
-
有效的长期依赖建模能力: GRU能够有效地捕捉时间序列数据中的长期依赖性,提高预测的稳定性。
-
全面的预测结果: 分位数回归能够提供预测区间,量化预测的不确定性,为决策提供更可靠的依据。
-
较高的鲁棒性: 相比于一些对数据异常敏感的模型,QRCNN-GRU模型通常展现出较高的鲁棒性。
然而,QRCNN-GRU模型也存在一些不足之处。例如,模型的超参数需要仔细调整,以达到最佳的预测效果。此外,模型的训练可能需要较大的计算资源,特别是对于长序列数据。 模型的可解释性也相对较弱,难以直观地理解模型的内部运作机制。
未来研究可以集中在以下几个方面: 改进模型的超参数优化策略,提高模型的效率和泛化能力;探索更有效的特征工程方法,提高模型对不同类型时间序列数据的适应性;研究模型的可解释性,提高模型的透明度和可信度;将QRCNN-GRU模型应用于更广泛的领域,例如金融风险管理、交通流量预测等。
总而言之,QRCNN-GRU卷积门控循环单元分位数回归时间序列区间预测方法为时间序列预测提供了一种新的有效途径。其结合了CNN、GRU和分位数回归的优势,能够有效地处理复杂非线性关系,捕捉长期依赖性,并提供更全面、更可靠的预测结果。虽然该方法仍存在一些不足,但其潜力巨大,值得进一步研究和应用。 未来随着深度学习技术的发展和计算能力的提升,相信QRCNN-GRU模型及其改进版本将会在时间序列预测领域发挥更加重要的作用。
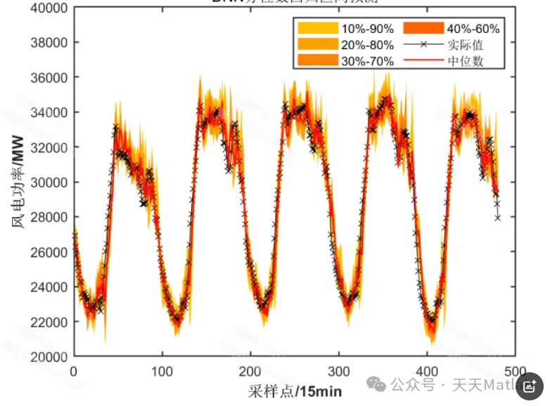
⛳️ 运行结果

🔗 参考文献
🎈 部分理论引用网络文献,若有侵权联系博主删除
👇 关注我领取海量matlab电子书和数学建模资料
🎁 私信完整代码和数据获取及论文数模仿真定制
擅长领域:
🌈 各类智能优化算法改进及应用
生产调度、经济调度、装配线调度、充电优化、车间调度、发车优化、水库调度、三维装箱、物流选址、货位优化、公交排班优化、充电桩布局优化、车间布局优化、集装箱船配载优化、水泵组合优化、解医疗资源分配优化、设施布局优化、可视域基站和无人机选址优化、背包问题、 风电场布局、时隙分配优化、 最佳分布式发电单元分配、多阶段管道维修、 工厂-中心-需求点三级选址问题、 应急生活物质配送中心选址、 基站选址、 道路灯柱布置、 枢纽节点部署、 输电线路台风监测装置、 集装箱调度、 机组优化、 投资优化组合、云服务器组合优化、 天线线性阵列分布优化、CVRP问题、VRPPD问题、多中心VRP问题、多层网络的VRP问题、多中心多车型的VRP问题、 动态VRP问题、双层车辆路径规划(2E-VRP)、充电车辆路径规划(EVRP)、油电混合车辆路径规划、混合流水车间问题、 订单拆分调度问题、 公交车的调度排班优化问题、航班摆渡车辆调度问题、选址路径规划问题、港口调度、港口岸桥调度、停机位分配、机场航班调度、泄漏源定位
🌈 机器学习和深度学习时序、回归、分类、聚类和降维
2.1 bp时序、回归预测和分类
2.2 ENS声神经网络时序、回归预测和分类
2.3 SVM/CNN-SVM/LSSVM/RVM支持向量机系列时序、回归预测和分类
2.4 CNN|TCN|GCN卷积神经网络系列时序、回归预测和分类
2.5 ELM/KELM/RELM/DELM极限学习机系列时序、回归预测和分类
2.6 GRU/Bi-GRU/CNN-GRU/CNN-BiGRU门控神经网络时序、回归预测和分类
2.7 ELMAN递归神经网络时序、回归\预测和分类
2.8 LSTM/BiLSTM/CNN-LSTM/CNN-BiLSTM/长短记忆神经网络系列时序、回归预测和分类
2.9 RBF径向基神经网络时序、回归预测和分类
2.10 DBN深度置信网络时序、回归预测和分类
2.11 FNN模糊神经网络时序、回归预测
2.12 RF随机森林时序、回归预测和分类
2.13 BLS宽度学习时序、回归预测和分类
2.14 PNN脉冲神经网络分类
2.15 模糊小波神经网络预测和分类
2.16 时序、回归预测和分类
2.17 时序、回归预测预测和分类
2.18 XGBOOST集成学习时序、回归预测预测和分类
2.19 Transform各类组合时序、回归预测预测和分类
方向涵盖风电预测、光伏预测、电池寿命预测、辐射源识别、交通流预测、负荷预测、股价预测、PM2.5浓度预测、电池健康状态预测、用电量预测、水体光学参数反演、NLOS信号识别、地铁停车精准预测、变压器故障诊断
🌈图像处理方面
图像识别、图像分割、图像检测、图像隐藏、图像配准、图像拼接、图像融合、图像增强、图像压缩感知
🌈 路径规划方面
旅行商问题(TSP)、车辆路径问题(VRP、MVRP、CVRP、VRPTW等)、无人机三维路径规划、无人机协同、无人机编队、机器人路径规划、栅格地图路径规划、多式联运运输问题、 充电车辆路径规划(EVRP)、 双层车辆路径规划(2E-VRP)、 油电混合车辆路径规划、 船舶航迹规划、 全路径规划规划、 仓储巡逻
🌈 无人机应用方面
无人机路径规划、无人机控制、无人机编队、无人机协同、无人机任务分配、无人机安全通信轨迹在线优化、车辆协同无人机路径规划
🌈 通信方面
传感器部署优化、通信协议优化、路由优化、目标定位优化、Dv-Hop定位优化、Leach协议优化、WSN覆盖优化、组播优化、RSSI定位优化、水声通信、通信上传下载分配
🌈 信号处理方面
信号识别、信号加密、信号去噪、信号增强、雷达信号处理、信号水印嵌入提取、肌电信号、脑电信号、信号配时优化、心电信号、DOA估计、编码译码、变分模态分解、管道泄漏、滤波器、数字信号处理+传输+分析+去噪、数字信号调制、误码率、信号估计、DTMF、信号检测
🌈电力系统方面
微电网优化、无功优化、配电网重构、储能配置、有序充电、MPPT优化、家庭用电
🌈 元胞自动机方面
交通流 人群疏散 病毒扩散 晶体生长 金属腐蚀
🌈 雷达方面
卡尔曼滤波跟踪、航迹关联、航迹融合、SOC估计、阵列优化、NLOS识别
🌈 车间调度
零等待流水车间调度问题NWFSP 、 置换流水车间调度问题PFSP、 混合流水车间调度问题HFSP 、零空闲流水车间调度问题NIFSP、分布式置换流水车间调度问题 DPFSP、阻塞流水车间调度问题BFSP
👇
118

被折叠的 条评论
为什么被折叠?



