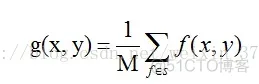
图片中一个方块区域(一般为3*3)内,中心点的像素为全部点像素值的平均值。均值滤波就是对于整张图片进行以上操作。
我们可以看下图的矩阵进行理解


缺陷:均值滤波本身存在着固有的缺陷,即它不能很好地保护图像细节,在图像去噪的同时也破坏了图像的细节部分,从而使图像变得模糊,不能很好地去除噪声点。特别是椒盐噪声
中值滤波取卷积核当中所覆盖像素中的中值作为锚点的像素值即可。此时实验中所用到的为3*3的卷积模板。即3行3列共9个元素的中值作为当前元素的像素值。
二.中值滤波首先,我们复习中值。在一连串数字{1,4,6,8,9}中,数字6就是这串数字的中值。由此我们可以应用到图像处理中。依然我们在图像中去3*3的矩阵,里面有9个像素点,我们将9个像素进行排序,最后将这个矩阵的中心点赋值为这九个像素的中值。


-
close all;clear all;clc; -
I=imread('image3.jpg'); -
J=rgb2gray(I); -
J=im2double(J); -
P1=imnoise(J,'gaussian',0.02);%添加高斯噪声 -
P2=imnoise(J,'salt & pepper',0.02);%添加椒盐噪声 -
G=medfilt2(P1);%对高斯噪声中值滤波 -
H=medfilt2(P2);%对椒盐噪声中值滤波 -
figure;
三、运行结果


8289

被折叠的 条评论
为什么被折叠?



