✅作者简介:热爱科研的Matlab仿真开发者,擅长数据处理、建模仿真、程序设计、完整代码获取、论文复现及科研仿真。
🍎 往期回顾关注个人主页:Matlab科研工作室
🍊个人信条:格物致知,完整Matlab代码及仿真咨询内容私信。
🔥 内容介绍
LEACH(Low-Energy Adaptive Clustering Hierarchy)和HEED(Hybrid Energy-Efficient Distributed)是两种在无线传感器网络(WSN)中广泛使用的分层路由协议。它们的设计目标都是为了延长网络的生命周期,通过有效地管理传感器节点的能量消耗来实现。尽管两者都采用了分簇机制,但在实现细节、性能表现和适用场景上存在显著差异。本文将对LEACH与HEED进行比较分析研究,从其基本原理、簇头选举机制、数据传输策略、能量效率以及优缺点等方面进行深入探讨。
1. 基本原理
LEACH协议是一种周期性的分簇协议,它将网络的运行划分为多个“轮”(round)。每个轮包含簇的建立阶段和数据传输阶段。在簇的建立阶段,节点根据概率决定是否成为簇头。成为簇头的节点负责收集簇内其他成员节点的数据,并将其聚合后发送到基站(Base Station, BS)。非簇头节点则关闭其无线电模块,直到需要发送数据时才开启。这种轮流担任簇头的机制旨在均衡网络中节点的能量消耗。
HEED协议则是一种混合的、能量有效的分布式分簇协议。与LEACH的周期性簇头选举不同,HEED在每个分簇周期开始时,根据节点的剩余能量和节点度(即其邻居节点的数量)来决定簇头。HEED的簇头选举过程是迭代的,直到所有节点都属于一个簇或成为簇头。HEED的目标是创建分布均匀的簇,并确保簇头拥有足够的能量来完成数据传输任务。
2. 簇头选举机制
LEACH的簇头选举机制是基于概率的。在每个轮开始时,每个节点会生成一个0到1之间的随机数。如果这个随机数小于一个阈值T(n),则该节点成为簇头。阈值T(n)的计算考虑了节点在最近P轮中没有成为簇头的次数。这使得之前未担任簇头的节点有更高的概率在当前轮中成为簇头,从而实现能量负载的均衡。然而,这种随机性可能导致簇头分布不均,或者在某些轮中没有足够的簇头,亦或存在过多的簇头,从而影响网络的效率。
HEED的簇头选举机制则更为复杂和精确。它考虑了节点的剩余能量和其邻居节点的数量。在选举开始时,每个节点根据其剩余能量和预设的簇头概率计算出一个初步的簇头选举概率。然后,节点广播其初步概率。在接下来的迭代中,节点会监听来自其邻居节点的广播。如果一个节点接收到来自拥有更高选举概率的邻居节点的广播,它将不再尝试成为簇头,而是选择加入该邻居节点所在的簇。这个过程会持续迭代,直到所有节点都找到自己的簇头,或者自己成为簇头。这种机制能够有效避免簇头数量过多或过少的问题,并确保簇头是能量相对充足的节点。
3. 数据传输策略
在LEACH中,簇头负责接收其簇内所有成员节点的数据,进行数据融合或聚合,然后将聚合后的数据直接发送到基站。这种一对多的数据收集和一对一的基站传输模式,简化了路由过程。然而,如果簇头距离基站较远,其能量消耗将非常大,这可能导致该簇头过早死亡,进而影响整个网络的连通性。
HEED的数据传输策略与LEACH类似,但由于其簇头选举机制的优势,通常能够确保簇头拥有较好的能量状况。HEED也采用数据聚合来减少传输的数据量。此外,HEED可以与多跳路由机制结合,允许簇头通过其他簇头将数据传输到基站,从而进一步降低远距离传输的能量消耗。
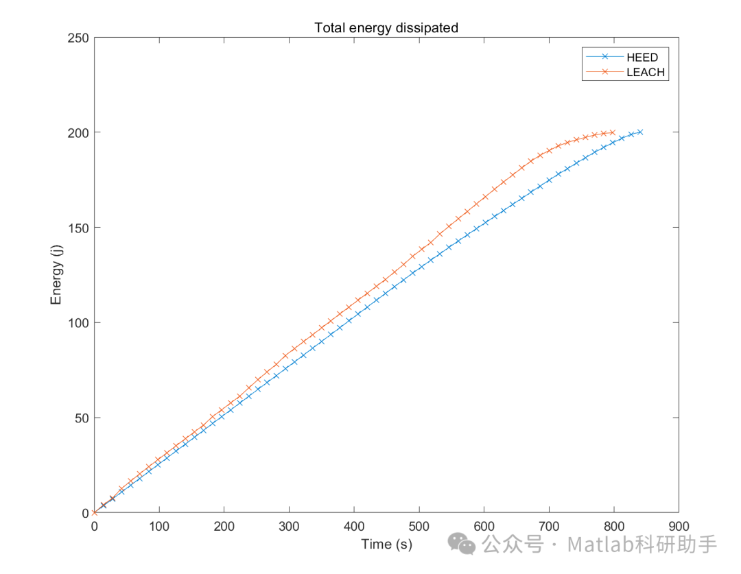
4. 能量效率分析
LEACH通过轮流担任簇头的方式,试图实现网络中能量消耗的均衡。然而,由于其随机的簇头选举机制,可能导致以下问题:
- 簇头分布不均:
某些区域可能簇头密集,而另一些区域则簇头稀疏,导致非簇头节点到簇头的距离过远,增加传输能量消耗。
- 孤立节点:
某些节点可能无法找到合适的簇头加入,成为孤立节点,其数据无法传输。
- 长距离传输:
簇头直接与基站通信,如果簇头距离基站过远,能量消耗将非常大,导致簇头过早死亡。
HEED在能量效率方面表现出更好的性能,主要得益于其更优化的簇头选举机制:
- 均匀的簇分布:
HEED通过考虑节点度,倾向于创建大小适中、分布均匀的簇,减少了簇内传输的能量消耗。
- 高能量簇头:
簇头选举优先考虑剩余能量较高的节点,确保簇头有足够的能量完成数据收集和传输任务。
- 多跳支持:
HEED可以更好地支持多跳路由,通过中间簇头转发数据,有效降低了远距离传输的能量消耗。
5. 优缺点总结
LEACH的优点:
- 实现简单:
算法逻辑相对简单,易于理解和实现。
- 分布式:
节点自主决定是否成为簇头,无需中心控制。
- 均衡能量消耗:
轮流担任簇头有助于在一定程度上均衡节点的能量消耗。
LEACH的缺点:
- 随机性强:
簇头选举的随机性可能导致簇头分布不均、孤立节点等问题。
- 不考虑剩余能量:
簇头选举不直接考虑节点的剩余能量,可能导致低能量节点成为簇头,加速其死亡。
- 不支持多跳路由:
簇头直接与基站通信,不适合大规模或稀疏部署的网络。
- 无法保证簇头的数量:
在某些情况下,簇头的数量可能过多或过少,影响网络性能。
HEED的优点:
- 能量感知:
簇头选举考虑节点的剩余能量,确保簇头拥有足够的能量。
- 均匀的簇分布:
算法设计旨在创建分布均匀的簇,优化簇内传输。
- 支持多跳路由:
可以与多跳路由机制结合,提高远距离传输的效率。
- 保证簇头的数量:
迭代的簇头选举过程有助于控制簇头的数量,避免过多或过少。
- 分布式:
协议是分布式实现的,无需中心控制。
HEED的缺点:
- 实现复杂:
相比LEACH,HEED的簇头选举机制更为复杂。
- 开销较大:
迭代的簇头选举过程会产生额外的通信开销。
- 对节点密度敏感:
在节点密度较低的网络中,HEED的性能可能受到影响。
6. 结论
LEACH和HEED都是旨在延长无线传感器网络生命周期的有效分层路由协议。LEACH以其简单性著称,适用于节点密度适中、规模较小的网络。然而,其随机的簇头选举机制和对能量的非感知性限制了其在复杂场景下的性能。HEED则通过更精细的簇头选举机制,充分考虑了节点的剩余能量和网络拓扑结构,从而在能量效率、簇分布均匀性和可扩展性方面表现出更优越的性能。
在实际应用中,选择LEACH还是HEED取决于具体的网络需求和约束。如果网络规模较小,对协议实现复杂度要求不高,且能容忍一定的随机性,LEACH可能是一个可行的选择。然而,对于大规模、能量受限、对网络生命周期和数据传输效率有更高要求的应用场景,HEED及其改进版本通常是更优的选择。未来的研究可以进一步探索如何将两者的优点结合,设计出更加鲁棒和高效的混合分层路由协议,以应对无线传感器网络日益增长的复杂挑战。
⛳️ 运行结果



🔗 参考文献
[1] 谢璐.无线传感器网络分簇路由协议研究[D].重庆大学,2013.DOI:10.7666/d.D355603.
[2] 李飞.无线传感器网络非均匀分簇与双簇头选择机制研究[D].中南大学[2025-10-02].DOI:10.7666/d.y1916448.
[3] 徐鹏.基于覆盖率和数据传输链的LEACH协议研究[D].华侨大学[2025-10-02].
📣 部分代码
🎈 部分理论引用网络文献,若有侵权联系博主删除
👇 关注我领取海量matlab电子书和数学建模资料
🏆团队擅长辅导定制多种科研领域MATLAB仿真,助力科研梦:
🌈 各类智能优化算法改进及应用
生产调度、经济调度、装配线调度、充电优化、车间调度、发车优化、水库调度、三维装箱、物流选址、货位优化、公交排班优化、充电桩布局优化、车间布局优化、集装箱船配载优化、水泵组合优化、解医疗资源分配优化、设施布局优化、可视域基站和无人机选址优化、背包问题、 风电场布局、时隙分配优化、 最佳分布式发电单元分配、多阶段管道维修、 工厂-中心-需求点三级选址问题、 应急生活物质配送中心选址、 基站选址、 道路灯柱布置、 枢纽节点部署、 输电线路台风监测装置、 集装箱调度、 机组优化、 投资优化组合、云服务器组合优化、 天线线性阵列分布优化、CVRP问题、VRPPD问题、多中心VRP问题、多层网络的VRP问题、多中心多车型的VRP问题、 动态VRP问题、双层车辆路径规划(2E-VRP)、充电车辆路径规划(EVRP)、油电混合车辆路径规划、混合流水车间问题、 订单拆分调度问题、 公交车的调度排班优化问题、航班摆渡车辆调度问题、选址路径规划问题、港口调度、港口岸桥调度、停机位分配、机场航班调度、泄漏源定位
🌈 机器学习和深度学习时序、回归、分类、聚类和降维
2.1 bp时序、回归预测和分类
2.2 ENS声神经网络时序、回归预测和分类
2.3 SVM/CNN-SVM/LSSVM/RVM支持向量机系列时序、回归预测和分类
2.4 CNN|TCN|GCN卷积神经网络系列时序、回归预测和分类
2.5 ELM/KELM/RELM/DELM极限学习机系列时序、回归预测和分类
2.6 GRU/Bi-GRU/CNN-GRU/CNN-BiGRU门控神经网络时序、回归预测和分类
2.7 ELMAN递归神经网络时序、回归\预测和分类
2.8 LSTM/BiLSTM/CNN-LSTM/CNN-BiLSTM/长短记忆神经网络系列时序、回归预测和分类
2.9 RBF径向基神经网络时序、回归预测和分类
2.10 DBN深度置信网络时序、回归预测和分类
2.11 FNN模糊神经网络时序、回归预测
2.12 RF随机森林时序、回归预测和分类
2.13 BLS宽度学习时序、回归预测和分类
2.14 PNN脉冲神经网络分类
2.15 模糊小波神经网络预测和分类
2.16 时序、回归预测和分类
2.17 时序、回归预测预测和分类
2.18 XGBOOST集成学习时序、回归预测预测和分类
2.19 Transform各类组合时序、回归预测预测和分类
方向涵盖风电预测、光伏预测、电池寿命预测、辐射源识别、交通流预测、负荷预测、股价预测、PM2.5浓度预测、电池健康状态预测、用电量预测、水体光学参数反演、NLOS信号识别、地铁停车精准预测、变压器故障诊断
🌈图像处理方面
图像识别、图像分割、图像检测、图像隐藏、图像配准、图像拼接、图像融合、图像增强、图像压缩感知
🌈 路径规划方面
旅行商问题(TSP)、车辆路径问题(VRP、MVRP、CVRP、VRPTW等)、无人机三维路径规划、无人机协同、无人机编队、机器人路径规划、栅格地图路径规划、多式联运运输问题、 充电车辆路径规划(EVRP)、 双层车辆路径规划(2E-VRP)、 油电混合车辆路径规划、 船舶航迹规划、 全路径规划规划、 仓储巡逻
🌈 无人机应用方面
无人机路径规划、无人机控制、无人机编队、无人机协同、无人机任务分配、无人机安全通信轨迹在线优化、车辆协同无人机路径规划
🌈 通信方面
传感器部署优化、通信协议优化、路由优化、目标定位优化、Dv-Hop定位优化、Leach协议优化、WSN覆盖优化、组播优化、RSSI定位优化、水声通信、通信上传下载分配
🌈 信号处理方面
信号识别、信号加密、信号去噪、信号增强、雷达信号处理、信号水印嵌入提取、肌电信号、脑电信号、信号配时优化、心电信号、DOA估计、编码译码、变分模态分解、管道泄漏、滤波器、数字信号处理+传输+分析+去噪、数字信号调制、误码率、信号估计、DTMF、信号检测
🌈电力系统方面
微电网优化、无功优化、配电网重构、储能配置、有序充电、MPPT优化、家庭用电
🌈 元胞自动机方面
交通流 人群疏散 病毒扩散 晶体生长 金属腐蚀
🌈 雷达方面
卡尔曼滤波跟踪、航迹关联、航迹融合、SOC估计、阵列优化、NLOS识别
🌈 车间调度
零等待流水车间调度问题NWFSP 、 置换流水车间调度问题PFSP、 混合流水车间调度问题HFSP 、零空闲流水车间调度问题NIFSP、分布式置换流水车间调度问题 DPFSP、阻塞流水车间调度问题BFSP
👇
693

被折叠的 条评论
为什么被折叠?



