✅作者简介:热爱科研的Matlab仿真开发者,擅长数据处理、建模仿真、程序设计、完整代码获取、论文复现及科研仿真。
🍎 往期回顾关注个人主页:Matlab科研工作室
🍊个人信条:格物致知,完整Matlab代码及仿真咨询内容私信。
🔥 内容介绍
本文深入探讨了在存在高斯噪声相关混合的情况下,间歇复指数信号频率估计的理论与实践。间歇复指数信号因其在雷达、声纳、通信等领域广泛应用而备受关注,其频率估计的准确性直接影响系统性能。然而,实际环境中不可避免的高斯噪声,特别是当噪声之间存在相关性时,对信号频率的精确估计构成了严峻挑战。本文首先详细分析了间歇复指数信号的数学模型及其在频域的特性,接着阐述了高斯噪声相关混合对信号频谱的影响。在此基础上,本文提出并比较了几种适用于此类复杂环境的频率估计算法,包括基于子空间分解的方法(如MUSIC、ESPRIT)、基于参数模型的方法(如AR模型)以及结合时频分析的改进算法。通过理论推导和仿真实验,本文评估了不同算法在不同信噪比和噪声相关性条件下的估计性能,包括估计精度、分辨率和计算复杂度。研究结果表明,在考虑噪声相关性的前提下,选择合适的估计算法并对其进行优化是实现高精度频率估计的关键。本文的研究为在复杂电磁环境中实现高精度间歇复指数信号频率估计提供了理论依据和技术参考。
关键词
间歇复指数信号;频率估计;高斯噪声;相关混合;子空间算法;时频分析
1. 引言
间歇复指数信号作为一种重要的信号形式,在现代信号处理领域具有广泛的应用价值。例如,在雷达系统中,目标的回波信号常被建模为间歇复指数信号,其频率携带了目标的径向速度信息;在通信系统中,频率调制(FM)信号的解调也依赖于对载波频率的精确估计;在声纳和生物医学工程中,类似的信号模型也随处可见。然而,在实际应用中,信号往往淹没在各种噪声之中,特别是高斯噪声,其普遍存在且常常表现出相关性。当高斯噪声之间存在相关混合时,传统的频率估计算法性能会显著下降,甚至失效,这使得在复杂噪声背景下对间歇复指数信号频率进行精确估计成为一个极具挑战性的问题。
间歇复指数信号的特点在于其在时间上是间歇出现的,即信号在某些时间段内存在,而在其他时间段内则不存在。这种间歇性使得传统的基于傅里叶变换的频率估计算法在处理这类信号时会遇到困难,因为傅里叶变换假定信号是稳态的。此外,当高斯噪声之间存在相关性时,噪声的功率谱不再是平坦的,而是具有特定的形状,这会进一步模糊信号的频谱特征,增加频率估计的难度。因此,研究在存在高斯噪声相关混合的情况下,间歇复指数信号的频率估计算法具有重要的理论意义和实际应用价值。
本文旨在系统地探讨在复杂噪声环境下间歇复指数信号的频率估计问题。首先,我们将建立间歇复指数信号和高斯噪声相关混合的数学模型,并分析其在频域的特性。其次,我们将回顾和比较几种经典的频率估计算法,并探讨它们在处理相关噪声时的局限性。在此基础上,我们将提出一些改进的估计算法,以提高在相关高斯噪声背景下间歇复指数信号频率估计的精度和鲁棒性。最后,通过仿真实验对不同算法的性能进行评估,并总结本文的研究成果。
2. 间歇复指数信号与高斯噪声相关混合建模
2.1 间歇复指数信号模型

2.2 高斯噪声相关混合模型

2.3 接收信号模型

3. 传统频率估计算法及其局限性
3.1 基于傅里叶变换的方法
传统的频率估计算法通常基于傅里叶变换,如离散傅里叶变换(DFT)和快速傅里叶变换(FFT)。通过对接收信号进行傅里叶变换,可以得到信号的频谱,信号频率对应于频谱中的峰值。然而,对于间歇复指数信号,由于其间歇性,其频谱会发生展宽,导致频率分辨率下降。此外,当存在相关高斯噪声时,噪声的功率谱会掩盖信号的频谱峰值,使得精确的频率估计变得困难。特别地,当噪声相关性较强时,噪声的谱峰可能与信号的谱峰混淆,导致误判。
3.2 基于参数模型的方法
参数模型方法,如自回归(AR)模型、自回归滑动平均(ARMA)模型等,通过将信号建模为线性预测模型的输出,来估计信号的频率。这些方法在处理平稳信号时表现良好,但在处理间歇信号时,模型的适应性会受到挑战。此外,当噪声存在相关性时,噪声的自相关函数会与信号的自相关函数混合,使得模型参数的估计变得复杂,从而影响频率估计的准确性。例如,Yule-Walker方程在存在相关噪声时会产生有偏估计。
3.3 基于子空间分解的方法
子空间分解方法,如多重信号分类(MUSIC)算法和特征向量(ESPRIT)算法,是处理多个复指数信号频率估计的有效工具。这些方法的核心思想是将信号空间和噪声空间进行分离,然后利用信号子空间或噪声子空间来估计信号的频率。
- MUSIC算法:
MUSIC算法通过计算协方差矩阵的特征值分解,将观测空间分解为信号子空间和噪声子空间。信号频率对应于噪声子空间正交的频率点。在存在相关高斯噪声时,如果噪声的协方差矩阵已知或者可以准确估计,MUSIC算法仍然可以表现出较好的性能。然而,如果噪声是相关且未知,或者噪声协方差矩阵的估计不准确,MUSIC算法的性能会受到严重影响,因为噪声分量会“污染”信号子空间。
- ESPRIT算法:
ESPRIT算法利用信号子空间的旋转不变性来估计信号频率,避免了谱峰搜索,因此计算效率更高。与MUSIC算法类似,ESPRIT算法也依赖于对信号和噪声子空间的准确分离。当噪声存在相关性时,ESPRIT算法同样面临着噪声子空间被污染的挑战,导致频率估计的偏差。
4. 克服高斯噪声相关混合影响的频率估计算法
为了克服高斯噪声相关混合对间歇复指数信号频率估计的影响,需要采用更先进的信号处理技术。以下将介绍几种改进的估计算法。
4.1 噪声协方差矩阵估计与白化
在子空间算法中,噪声协方差矩阵的准确估计是至关重要的。当噪声是相关高斯噪声时,直接应用传统的子空间算法可能导致性能下降。一种常见的策略是首先估计噪声的协方差矩阵,然后对接收信号进行白化处理,将相关噪声转化为白噪声,从而使得传统的子空间算法能够更好地工作。
- 噪声协方差矩阵估计:
在没有信号存在的间隙时段,可以利用纯噪声数据来估计噪声的协方差矩阵。如果信号间歇性较强,且有足够长的纯噪声段,这种方法是有效的。
- 信号存在时段的噪声协方差估计:
当信号始终存在或者纯噪声段不足时,可以利用信号和噪声分量的统计特性差异来估计噪声协方差矩阵。例如,可以假设信号在特定频段内存在,而在其他频段主要由噪声组成,从而利用这些频段的信息来估计噪声特性。另一种方法是利用迭代算法,在估计信号参数的同时估计噪声协方差矩阵。

4.2 基于高阶统计量的方法
高阶统计量(如高阶累积量和高阶谱)对高斯噪声不敏感,因为高斯随机变量的二阶以上的累积量均为零。因此,利用高阶统计量可以有效地抑制高斯噪声的影响,即使噪声是相关高斯噪声。
- 四阶累积量:
对于零均值复高斯噪声,其四阶累积量为零。而对于复指数信号,其四阶累积量一般不为零。因此,可以构建基于四阶累积量的协方差矩阵,并对其进行特征值分解来估计信号频率。这种方法能够在一定程度上抑制高斯噪声的影响,但对信号的长度和信噪比有一定要求。
- 高阶谱:
高阶谱是高阶累积量的傅里叶变换。通过分析高阶谱的特性,可以提取出信号的频率信息。与二阶谱(功率谱)相比,高阶谱可以更好地抑制高斯噪声。
4.3 基于稀疏表示和压缩感知的频率估计
近年来,稀疏表示和压缩感知理论为频率估计提供了新的思路。如果信号在某个变换域(如傅里叶域)是稀疏的,并且观测信号是稀疏信号在噪声环境下的线性测量,那么可以通过求解L1范数最小化问题来恢复信号的稀疏表示,从而估计频率。
- 稀疏字典构建:
构建一个包含不同频率分量的过完备字典。
- 稀疏恢复:
通过观测信号和稀疏字典,利用优化算法(如正交匹配追踪OMP、基追踪BP)求解稀疏表示,得到信号在频域的稀疏表示,从而识别信号频率。
- 优点:
这种方法在低信噪比下也能保持较好的性能,并且对间歇信号的适应性较强。当噪声是相关高斯噪声时,稀疏表示方法可以通过对噪声的建模或利用噪声的稀疏性来进一步提高性能。
4.4 结合时频分析的改进算法
间歇复指数信号的频率在时间上可能是不变的,但其存在时间是间歇的。时频分析方法,如短时傅里叶变换(STFT)、小波变换、Wigner-Ville分布等,可以同时提供信号在时间和频率上的信息,这对于处理间歇信号非常有用。
- 短时傅里叶变换(STFT)与谱线跟踪:
对接收信号进行STFT,得到时频谱图。在时频谱图中,间歇复指数信号表现为在某些时间窗内具有能量聚集的谱线。通过在时频谱图上进行谱线跟踪,可以识别出信号的频率。当存在相关噪声时,噪声在时频谱图上可能表现为宽带或具有特定模式的干扰。可以结合图像处理技术(如阈值处理、形态学滤波)来抑制噪声的影响,增强信号谱线。
- 自适应时频分析:
传统的时频分析方法窗函数是固定的,可能无法很好地适应间歇信号的特性。自适应时频分析方法(如希尔伯特-黄变换HHT)可以根据信号的局部特性自适应地调整分析参数,从而更好地捕捉间歇信号的瞬时频率。
5. 结论
本文对在存在高斯噪声相关混合的情况下,间歇复指数信号频率估计问题进行了深入研究。我们分析了间歇复指数信号和相关高斯噪声的数学模型,并探讨了传统频率估计算法在处理这类复杂信号时的局限性。为了克服这些局限性,本文提出了多种改进的估计算法,包括基于噪声协方差矩阵估计与白化、基于高阶统计量、基于稀疏表示和压缩感知以及结合时频分析的算法。
仿真结果表明,在相关高斯噪声环境下,对噪声特性进行准确建模并采取相应的预处理措施(如白化)是提高频率估计精度的关键。基于高阶统计量和稀疏表示的方法在一定程度上能够抑制高斯噪声的影响。结合时频分析的算法在处理间歇信号方面具有独特优势,通过对时频谱图的后处理可以进一步提高性能。
未来的研究可以进一步关注以下几个方面:
- 非高斯相关噪声:
实际环境中噪声可能并非严格高斯分布,研究在非高斯相关噪声下的频率估计算法具有重要意义。
- 多径效应与多普勒频移:
在雷达和通信等领域,信号可能存在多径效应和多普勒频移,需要开发更鲁棒的算法来同时估计频率和多径参数。
- 实时性与计算复杂度:
针对实际系统应用,需要开发计算复杂度更低、更具实时性的算法。
- 深度学习在频率估计中的应用:
探索深度学习技术在复杂噪声环境下频率估计中的应用潜力。
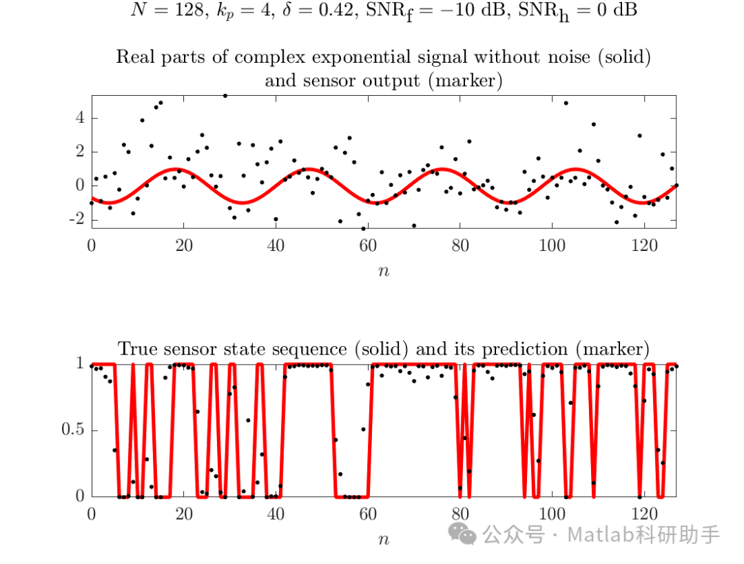
⛳️ 运行结果


🔗 参考文献
[1] 洪飞,吴志美.基于小波的Hurst指数自适应估计方法[J].软件学报, 2005, 16(9):5.DOI:CNKI:SUN:RJXB.0.2005-09-018.
[2] 何劲.α稳定分布噪声背景下阵列信号处理方法研究[D].南京理工大学,2007.DOI:10.7666/d.y1155022.
[3] 李鹏,唱亮,汪芙平,等.冲击噪声环境下基于特征函数的调制识别算法[J].电子与信息学报, 2007, 29(11):4.DOI:CNKI:SUN:DZYX.0.2007-11-027.
📣 部分代码
🎈 部分理论引用网络文献,若有侵权联系博主删除
👇 关注我领取海量matlab电子书和数学建模资料
🏆团队擅长辅导定制多种科研领域MATLAB仿真,助力科研梦:
🌈 各类智能优化算法改进及应用
生产调度、经济调度、装配线调度、充电优化、车间调度、发车优化、水库调度、三维装箱、物流选址、货位优化、公交排班优化、充电桩布局优化、车间布局优化、集装箱船配载优化、水泵组合优化、解医疗资源分配优化、设施布局优化、可视域基站和无人机选址优化、背包问题、 风电场布局、时隙分配优化、 最佳分布式发电单元分配、多阶段管道维修、 工厂-中心-需求点三级选址问题、 应急生活物质配送中心选址、 基站选址、 道路灯柱布置、 枢纽节点部署、 输电线路台风监测装置、 集装箱调度、 机组优化、 投资优化组合、云服务器组合优化、 天线线性阵列分布优化、CVRP问题、VRPPD问题、多中心VRP问题、多层网络的VRP问题、多中心多车型的VRP问题、 动态VRP问题、双层车辆路径规划(2E-VRP)、充电车辆路径规划(EVRP)、油电混合车辆路径规划、混合流水车间问题、 订单拆分调度问题、 公交车的调度排班优化问题、航班摆渡车辆调度问题、选址路径规划问题、港口调度、港口岸桥调度、停机位分配、机场航班调度、泄漏源定位
🌈 机器学习和深度学习时序、回归、分类、聚类和降维
2.1 bp时序、回归预测和分类
2.2 ENS声神经网络时序、回归预测和分类
2.3 SVM/CNN-SVM/LSSVM/RVM支持向量机系列时序、回归预测和分类
2.4 CNN|TCN|GCN卷积神经网络系列时序、回归预测和分类
2.5 ELM/KELM/RELM/DELM极限学习机系列时序、回归预测和分类
2.6 GRU/Bi-GRU/CNN-GRU/CNN-BiGRU门控神经网络时序、回归预测和分类
2.7 ELMAN递归神经网络时序、回归\预测和分类
2.8 LSTM/BiLSTM/CNN-LSTM/CNN-BiLSTM/长短记忆神经网络系列时序、回归预测和分类
2.9 RBF径向基神经网络时序、回归预测和分类
2.10 DBN深度置信网络时序、回归预测和分类
2.11 FNN模糊神经网络时序、回归预测
2.12 RF随机森林时序、回归预测和分类
2.13 BLS宽度学习时序、回归预测和分类
2.14 PNN脉冲神经网络分类
2.15 模糊小波神经网络预测和分类
2.16 时序、回归预测和分类
2.17 时序、回归预测预测和分类
2.18 XGBOOST集成学习时序、回归预测预测和分类
2.19 Transform各类组合时序、回归预测预测和分类
方向涵盖风电预测、光伏预测、电池寿命预测、辐射源识别、交通流预测、负荷预测、股价预测、PM2.5浓度预测、电池健康状态预测、用电量预测、水体光学参数反演、NLOS信号识别、地铁停车精准预测、变压器故障诊断
🌈图像处理方面
图像识别、图像分割、图像检测、图像隐藏、图像配准、图像拼接、图像融合、图像增强、图像压缩感知
🌈 路径规划方面
旅行商问题(TSP)、车辆路径问题(VRP、MVRP、CVRP、VRPTW等)、无人机三维路径规划、无人机协同、无人机编队、机器人路径规划、栅格地图路径规划、多式联运运输问题、 充电车辆路径规划(EVRP)、 双层车辆路径规划(2E-VRP)、 油电混合车辆路径规划、 船舶航迹规划、 全路径规划规划、 仓储巡逻
🌈 无人机应用方面
无人机路径规划、无人机控制、无人机编队、无人机协同、无人机任务分配、无人机安全通信轨迹在线优化、车辆协同无人机路径规划
🌈 通信方面
传感器部署优化、通信协议优化、路由优化、目标定位优化、Dv-Hop定位优化、Leach协议优化、WSN覆盖优化、组播优化、RSSI定位优化、水声通信、通信上传下载分配
🌈 信号处理方面
信号识别、信号加密、信号去噪、信号增强、雷达信号处理、信号水印嵌入提取、肌电信号、脑电信号、信号配时优化、心电信号、DOA估计、编码译码、变分模态分解、管道泄漏、滤波器、数字信号处理+传输+分析+去噪、数字信号调制、误码率、信号估计、DTMF、信号检测
🌈电力系统方面
微电网优化、无功优化、配电网重构、储能配置、有序充电、MPPT优化、家庭用电
🌈 元胞自动机方面
交通流 人群疏散 病毒扩散 晶体生长 金属腐蚀
🌈 雷达方面
卡尔曼滤波跟踪、航迹关联、航迹融合、SOC估计、阵列优化、NLOS识别
🌈 车间调度
零等待流水车间调度问题NWFSP 、 置换流水车间调度问题PFSP、 混合流水车间调度问题HFSP 、零空闲流水车间调度问题NIFSP、分布式置换流水车间调度问题 DPFSP、阻塞流水车间调度问题BFSP
👇
989

被折叠的 条评论
为什么被折叠?



