✅作者简介:热爱科研的Matlab仿真开发者,擅长数据处理、建模仿真、程序设计、完整代码获取、论文复现及科研仿真。
🍎 往期回顾关注个人主页:Matlab科研工作室
🍊个人信条:格物致知,完整Matlab代码及仿真咨询内容私信。
🔥 内容介绍
无线传感器网络(Wireless Sensor Networks, WSNs)作为一种新兴的分布式传感技术,近年来在环境监测、智能家居、医疗保健、工业自动化等领域得到了广泛的应用。由于WSN具有资源受限、网络拓扑动态变化、节点部署环境复杂等特点,直接在真实环境中进行WSN的研究和开发成本高昂且效率低下。因此,无线传感器网络模拟器应运而生,成为WSN研究中不可或缺的关键工具。本文旨在对无线传感器网络模拟器进行深入研究,探讨其发展历程、关键技术、应用现状以及未来发展趋势。
一、无线传感器网络模拟器的发展历程
WSN模拟器的发展历程可以大致分为三个阶段:
-
早期阶段 (20世纪90年代末至2005年左右): 这一阶段的模拟器主要基于通用的网络仿真器,如NS-2 (Network Simulator 2) 和 GloMoSim (Global Mobile Information System Simulator)。这些仿真器虽然功能强大,但并非专门针对WSN设计,在对WSN特定协议和硬件平台的模拟上存在不足,例如对能量消耗、节点硬件限制等方面的支持较弱。尽管如此,NS-2仍然是早期WSN研究者们的重要工具,他们通过扩展NS-2的模块来模拟WSN的特性。
-
中期阶段 (2005年至2010年左右): 随着WSN研究的不断深入,涌现出了一批专门针对WSN设计的模拟器,例如TOSSIM (TinyOS Simulator)、OPNET Modeler、以及QualNet。TOSSIM专门针对TinyOS操作系统设计,可以进行位级精确的模拟,但其可扩展性较差。OPNET Modeler和QualNet则是商业化的网络仿真软件,提供了更全面的WSN模拟功能,包括无线信道模型、节点硬件模型、协议栈支持等,但其价格昂贵,限制了其在学术界的广泛应用。
-
现代阶段 (2010年至今): 这一阶段的模拟器更加注重灵活性、可扩展性和易用性。开源的WSN模拟器,如OMNeT++ (Objective Modular Network Testbed in C++) 及其扩展框架INET Framework,以及COOJA (Contiki OS Java Simulator),变得越来越受欢迎。OMNeT++提供了模块化的仿真框架,可以灵活地扩展和定制,而INET Framework则提供了丰富的网络协议模型,可以方便地进行WSN的模拟。COOJA则专门针对Contiki操作系统设计,支持在模拟环境中运行真实的Contiki应用程序,方便了应用程序的调试和验证。同时,随着云计算技术的发展,也出现了一些基于云计算的WSN模拟平台,例如CloudSim,可以提供大规模的仿真能力,降低了仿真成本。
二、无线传感器网络模拟器的关键技术
WSN模拟器的核心在于能够准确、高效地模拟WSN的各种特性。其关键技术主要包括以下几个方面:
-
无线信道建模: 无线信道的复杂性对WSN的性能影响巨大,因此准确的无线信道建模是WSN模拟器的重要组成部分。常见的无线信道模型包括自由空间模型、两径模型、阴影衰落模型、多径衰落模型等。不同的模型适用于不同的场景,选择合适的模型对于获得准确的仿真结果至关重要。更高级的信道模型还考虑了路径损耗、多径效应、阴影衰落、干扰等因素,甚至可以基于实测数据建立更精确的信道模型。
-
能量消耗建模: WSN节点的能量资源有限,因此能量消耗的精确建模是WSN模拟器的另一关键技术。能量消耗主要包括传感器采样、数据处理、通信等几个方面。模拟器需要考虑不同操作的能量消耗,例如发送和接收数据、休眠、激活等。一些模拟器还提供了节点硬件模型的参数配置,可以更加精细地模拟能量消耗。
-
协议栈模拟: WSN通常采用轻量级的协议栈,例如IEEE 802.15.4、ZigBee、6LoWPAN等。模拟器需要提供对这些协议栈的模拟支持,以便研究者可以验证和优化自己的协议设计。协议栈模拟不仅需要考虑协议的逻辑功能,还需要考虑协议的时序和性能。
-
节点硬件建模: WSN节点的硬件平台通常由传感器、处理器、存储器、无线通信模块等组成。模拟器可以提供节点硬件的模型,以便研究者可以评估不同硬件平台对WSN性能的影响。硬件建模可以包括处理器速度、存储器大小、无线通信模块的传输速率和功耗等参数。
-
大规模网络模拟: 随着WSN应用规模的扩大,需要模拟大规模的WSN网络。这要求模拟器具有良好的可扩展性,能够高效地处理大量的节点和通信事件。一些模拟器采用了并行或分布式仿真技术,以提高仿真效率。
-
可视化和调试: 良好的可视化界面可以帮助研究者直观地了解WSN的运行状态,例如节点的分布、通信路径、数据流量等。调试工具可以帮助研究者发现和解决程序中的错误。
三、无线传感器网络模拟器的应用现状
WSN模拟器在WSN的研究和开发中发挥着重要的作用,主要体现在以下几个方面:
-
协议设计和验证: 研究者可以使用模拟器来设计和验证新的WSN协议,例如路由协议、MAC协议、定位协议等。通过模拟不同场景和参数设置,可以评估协议的性能,发现潜在的问题,并进行优化。
-
算法评估: 模拟器可以用于评估不同的WSN算法,例如数据融合算法、传感器调度算法、故障诊断算法等。通过模拟真实环境中的数据和事件,可以比较不同算法的性能,选择合适的算法。
-
系统优化: 模拟器可以用于优化WSN系统的参数配置,例如节点部署位置、传输功率、采样频率等。通过模拟不同参数设置下的系统性能,可以找到最佳的参数配置,提高系统的效率和可靠性。
-
应用开发和测试: 研究者可以使用模拟器来开发和测试WSN应用程序,例如环境监测应用、智能家居应用、医疗保健应用等。通过在模拟环境中运行真实的应用程序,可以发现和解决程序中的错误,提高应用程序的质量。
-
教学和培训: WSN模拟器可以用于教学和培训,帮助学生和工程师了解WSN的原理和技术,掌握WSN的设计和开发方法。
四、无线传感器网络模拟器的未来发展趋势
随着WSN技术的不断发展,对WSN模拟器的要求也越来越高。未来的WSN模拟器将朝着以下几个方向发展:
-
更真实的信道建模: 未来的WSN模拟器将更加注重无线信道的真实建模,考虑更多的因素,例如时变信道、多普勒频移、信道衰落的统计特性等。一些研究者正在探索基于机器学习的信道建模方法,利用实测数据训练模型,提高信道模型的准确性。
-
更精确的能量模型: 未来的WSN模拟器将更加注重能量消耗的精确建模,考虑更多的细节,例如节点硬件平台的能量消耗特性、电源管理策略的影响等。一些研究者正在探索基于硬件平台的能量模型,利用实验数据或数据手册建立模型,提高能量模型的准确性。
-
更高效的仿真算法: 随着WSN应用规模的扩大,需要模拟更大规模的WSN网络。未来的WSN模拟器将更加注重仿真算法的效率,采用并行或分布式仿真技术,提高仿真效率。一些研究者正在探索基于GPU的仿真算法,利用GPU强大的并行计算能力,提高仿真效率。
-
更友好的用户界面: 未来的WSN模拟器将更加注重用户界面的友好性,提供更直观的可视化工具和更方便的调试工具,帮助研究者更容易地使用模拟器。一些研究者正在探索基于Web的模拟平台,方便用户通过浏览器访问和使用模拟器。
-
与硬件平台的集成: 未来的WSN模拟器将更加注重与硬件平台的集成,可以方便地将模拟结果与真实环境中的实验结果进行比较和验证。一些研究者正在探索硬件在环仿真技术,将真实的节点与模拟环境连接起来,进行混合仿真。
五、结论
无线传感器网络模拟器是WSN研究中不可或缺的关键工具。随着WSN技术的不断发展,对WSN模拟器的要求也越来越高。未来的WSN模拟器将朝着更真实的信道建模、更精确的能量模型、更高效的仿真算法、更友好的用户界面以及与硬件平台的集成等方向发展,为WSN的研究和开发提供更强大的支持。通过深入研究和不断改进WSN模拟器,可以加速WSN技术的创新和应用,推动WSN在各个领域的广泛应用。
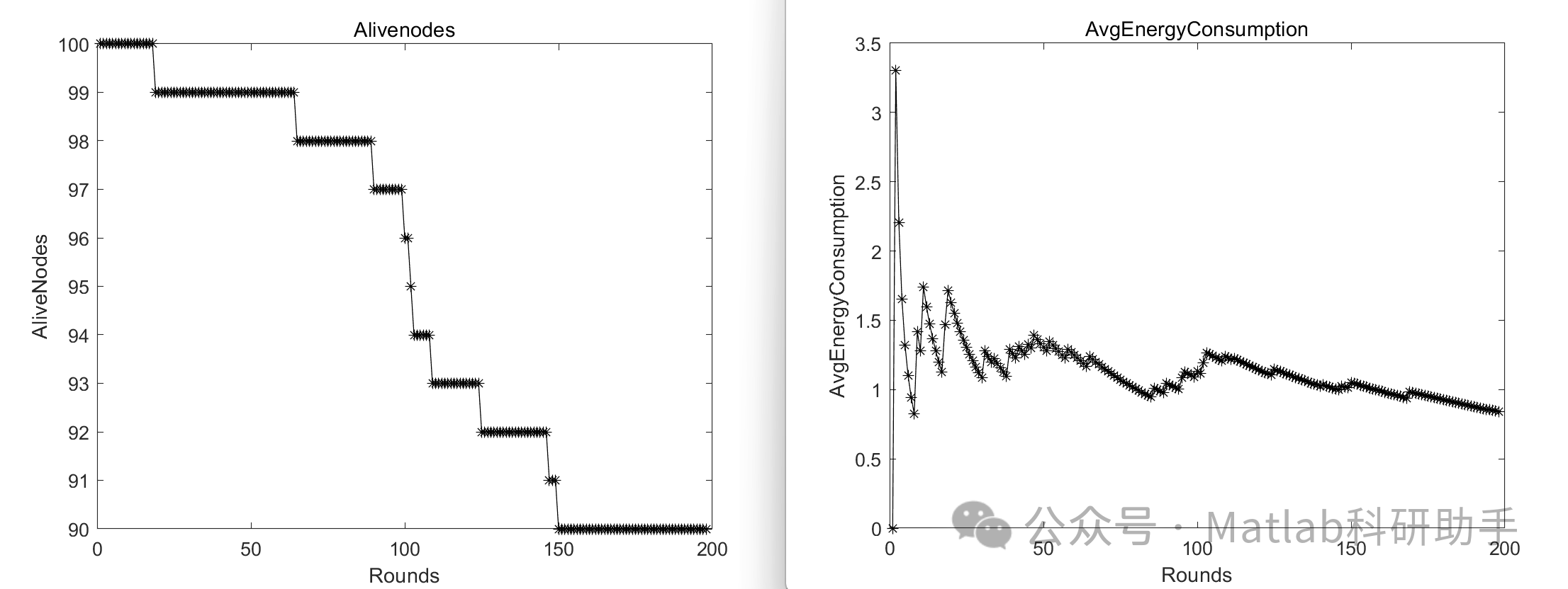
⛳️ 运行结果




🔗 参考文献
[1] 刘政.无线传感器网络节点定位问题研究[D].重庆大学[2025-04-13].DOI:10.7666/d.y2153466.
[2] 邓文莲.无线传感器网络节点定位的仿真研究[J].计算机仿真, 2012.DOI:CNKI:SUN:JSJZ.0.2012-05-040.
[3] 张珉.无线传感器网络分簇路由协议研究[D].烟台大学[2025-04-13].DOI:CNKI:CDMD:2.1017.851693.
📣 部分代码
🎈 部分理论引用网络文献,若有侵权联系博主删除
👇 关注我领取海量matlab电子书和数学建模资料
🏆团队擅长辅导定制多种科研领域MATLAB仿真,助力科研梦:
🌈 各类智能优化算法改进及应用
生产调度、经济调度、装配线调度、充电优化、车间调度、发车优化、水库调度、三维装箱、物流选址、货位优化、公交排班优化、充电桩布局优化、车间布局优化、集装箱船配载优化、水泵组合优化、解医疗资源分配优化、设施布局优化、可视域基站和无人机选址优化、背包问题、 风电场布局、时隙分配优化、 最佳分布式发电单元分配、多阶段管道维修、 工厂-中心-需求点三级选址问题、 应急生活物质配送中心选址、 基站选址、 道路灯柱布置、 枢纽节点部署、 输电线路台风监测装置、 集装箱调度、 机组优化、 投资优化组合、云服务器组合优化、 天线线性阵列分布优化、CVRP问题、VRPPD问题、多中心VRP问题、多层网络的VRP问题、多中心多车型的VRP问题、 动态VRP问题、双层车辆路径规划(2E-VRP)、充电车辆路径规划(EVRP)、油电混合车辆路径规划、混合流水车间问题、 订单拆分调度问题、 公交车的调度排班优化问题、航班摆渡车辆调度问题、选址路径规划问题、港口调度、港口岸桥调度、停机位分配、机场航班调度、泄漏源定位
🌈 机器学习和深度学习时序、回归、分类、聚类和降维
2.1 bp时序、回归预测和分类
2.2 ENS声神经网络时序、回归预测和分类
2.3 SVM/CNN-SVM/LSSVM/RVM支持向量机系列时序、回归预测和分类
2.4 CNN|TCN|GCN卷积神经网络系列时序、回归预测和分类
2.5 ELM/KELM/RELM/DELM极限学习机系列时序、回归预测和分类
2.6 GRU/Bi-GRU/CNN-GRU/CNN-BiGRU门控神经网络时序、回归预测和分类
2.7 ELMAN递归神经网络时序、回归\预测和分类
2.8 LSTM/BiLSTM/CNN-LSTM/CNN-BiLSTM/长短记忆神经网络系列时序、回归预测和分类
2.9 RBF径向基神经网络时序、回归预测和分类
2.10 DBN深度置信网络时序、回归预测和分类
2.11 FNN模糊神经网络时序、回归预测
2.12 RF随机森林时序、回归预测和分类
2.13 BLS宽度学习时序、回归预测和分类
2.14 PNN脉冲神经网络分类
2.15 模糊小波神经网络预测和分类
2.16 时序、回归预测和分类
2.17 时序、回归预测预测和分类
2.18 XGBOOST集成学习时序、回归预测预测和分类
2.19 Transform各类组合时序、回归预测预测和分类
方向涵盖风电预测、光伏预测、电池寿命预测、辐射源识别、交通流预测、负荷预测、股价预测、PM2.5浓度预测、电池健康状态预测、用电量预测、水体光学参数反演、NLOS信号识别、地铁停车精准预测、变压器故障诊断
🌈图像处理方面
图像识别、图像分割、图像检测、图像隐藏、图像配准、图像拼接、图像融合、图像增强、图像压缩感知
🌈 路径规划方面
旅行商问题(TSP)、车辆路径问题(VRP、MVRP、CVRP、VRPTW等)、无人机三维路径规划、无人机协同、无人机编队、机器人路径规划、栅格地图路径规划、多式联运运输问题、 充电车辆路径规划(EVRP)、 双层车辆路径规划(2E-VRP)、 油电混合车辆路径规划、 船舶航迹规划、 全路径规划规划、 仓储巡逻
🌈 无人机应用方面
无人机路径规划、无人机控制、无人机编队、无人机协同、无人机任务分配、无人机安全通信轨迹在线优化、车辆协同无人机路径规划
🌈 通信方面
传感器部署优化、通信协议优化、路由优化、目标定位优化、Dv-Hop定位优化、Leach协议优化、WSN覆盖优化、组播优化、RSSI定位优化、水声通信、通信上传下载分配
🌈 信号处理方面
信号识别、信号加密、信号去噪、信号增强、雷达信号处理、信号水印嵌入提取、肌电信号、脑电信号、信号配时优化、心电信号、DOA估计、编码译码、变分模态分解、管道泄漏、滤波器、数字信号处理+传输+分析+去噪、数字信号调制、误码率、信号估计、DTMF、信号检测
🌈电力系统方面
微电网优化、无功优化、配电网重构、储能配置、有序充电、MPPT优化、家庭用电
🌈 元胞自动机方面
交通流 人群疏散 病毒扩散 晶体生长 金属腐蚀
🌈 雷达方面
卡尔曼滤波跟踪、航迹关联、航迹融合、SOC估计、阵列优化、NLOS识别
🌈 车间调度
零等待流水车间调度问题NWFSP 、 置换流水车间调度问题PFSP、 混合流水车间调度问题HFSP 、零空闲流水车间调度问题NIFSP、分布式置换流水车间调度问题 DPFSP、阻塞流水车间调度问题BFSP
👇
52

被折叠的 条评论
为什么被折叠?



