【语音增强】组稀疏信号去噪:非凸正则化,凸优化研究附Matlab代码

✅作者简介:热爱科研的Matlab仿真开发者,擅长数据处理、建模仿真、程序设计、完整代码获取、论文复现及科研仿真。

🍎 往期回顾关注个人主页:Matlab科研工作室

🍊个人信条:格物致知,完整Matlab代码及仿真咨询内容私信。

🔥 内容介绍

语音增强旨在从受噪声干扰的语音信号中恢复出清晰干净的语音信号,是语音处理领域中的一个重要研究方向,在通信、听力辅助、语音识别等领域有着广泛的应用。由于语音信号的复杂性和噪声的随机性,语音增强仍然面临着巨大的挑战。近年来,组稀疏信号去噪技术在语音增强领域取得了显著进展。该技术基于语音信号在特定变换域(如短时傅里叶变换,Short-Time Fourier Transform, STFT)具有组稀疏性的特点,通过施加组稀疏正则化约束来抑制噪声,从而达到增强语音的目的。本文将围绕语音增强中的组稀疏信号去噪技术,重点探讨非凸正则化方法及其相应的凸优化研究。

组稀疏信号去噪的理论基础

语音信号在时域通常表现为复杂的非平稳信号,但通过时频分析,可以将其分解为一系列局部平稳的分量。在STFT域中,语音信号的能量往往集中在少数几个频率成分上,而噪声则相对均匀地分布在整个频域。这种能量分布的不均匀性是语音信号的稀疏性的重要体现。然而,单个频率点的稀疏性往往不足以有效区分语音和噪声,因此,将多个频率点组合成一个“组”,并利用组间的相关性信息,能够更好地描述语音信号的结构,从而提高去噪性能。

组稀疏正则化正是基于这一思想而提出的。它通过惩罚信号中非零组的数量来促进信号的组稀疏性。具体而言,将信号分解为若干个相互重叠或不重叠的组,然后定义一个组稀疏范数,该范数用于衡量信号中非零组的数量。在优化过程中,最小化数据拟合误差的同时,最小化组稀疏范数,从而使得最终得到的信号具有更强的组稀疏性,即只有少数几个组包含显著的能量,其余组的能量则被抑制,从而达到去噪的目的。

非凸正则化的优势与挑战

传统的组稀疏正则化方法通常采用凸的组稀疏范数,例如 l1/l2 范数,它对每个组内的能量进行 l2 范数运算,然后对所有组的 l1 范数求和。这种凸正则化方法具有良好的理论性质和可解性,然而,其在实际应用中也存在一些局限性:

  • 次优解:

     凸正则化方法通常只能找到全局最优解的近似解,而真正的最优解可能需要更强的稀疏性约束。

  • 过度收缩:

     l1/l2 范数会对所有组进行均匀的收缩,可能导致信号中的重要信息也被过度抑制,从而影响语音质量。

为了克服上述问题,研究者们开始关注非凸正则化方法。非凸正则化可以提供更强的稀疏性约束,并能够更好地保留信号中的重要信息。常见的非凸组稀疏范数包括:

  • Lp/l2 范数 (0 < p < 1):

     相比于 l1/l2 范数,Lp/l2 范数可以提供更强的稀疏性约束,因为它对较小的组能量进行更强的惩罚。

  • Log sum penalty (LSP):

     LSP 是一种基于对数函数的惩罚函数,它能够自适应地调整惩罚力度,从而更好地平衡稀疏性和信号保真度。

  • Smoothly Clipped Absolute Deviation (SCAD):

     SCAD 是一种截断式的惩罚函数,它能够在保证稀疏性的同时,减小对较大系数的惩罚,从而避免过度收缩。

然而,非凸正则化也带来了新的挑战:

  • 非凸性:

     非凸优化问题的求解难度远大于凸优化问题,可能存在多个局部最优解,难以保证找到全局最优解。

  • 计算复杂度:

     求解非凸优化问题通常需要更复杂的算法和更大的计算量。

凸优化研究:逼近与算法

为了解决非凸正则化带来的优化难题,研究者们提出了各种凸优化方法,用于逼近非凸正则化问题并进行高效求解。主要思路包括:

  1. 凸代理函数 (Convex Surrogate Function):

     将非凸正则化函数替换为其凸代理函数,例如,利用 Majorization-Minimization (MM) 算法,迭代地寻找原非凸函数的一个凸上界,并最小化该上界。这种方法能够保证算法的收敛性,但收敛速度可能较慢。

  2. 迭代加权最小二乘 (Iteratively Reweighted Least Squares, IRLS):

     IRLS 是一种经典的求解 Lp 范数的算法。它通过迭代地更新权重矩阵,将 L p 范数问题转化为一系列加权最小二乘问题进行求解。该方法简单易行,但收敛速度可能依赖于问题的具体形式。

  3. 交替方向乘子法 (Alternating Direction Method of Multipliers, ADMM):

     ADMM 是一种将优化问题分解为多个子问题进行求解的算法。它可以有效地处理带有复杂约束的优化问题,例如非凸正则化问题。通过引入辅助变量和拉格朗日乘子,ADMM 将原问题分解为一系列易于求解的子问题,并通过交替更新这些变量来逐步逼近最优解。

  4. 基于Proximal算子的算法:

     Proximal算子可以将复杂的正则化项纳入到迭代算法中,例如,利用Proximal Gradient方法,每次迭代通过计算梯度和应用Proximal算子来更新解。这种方法可以有效地处理非光滑的正则化项,并具有良好的收敛性。

针对语音增强中的组稀疏信号去噪问题,研究者们结合具体的语音信号特性,提出了各种改进的凸优化算法,例如:

  • 基于语音先验信息的凸优化:

     利用语音信号的谐波结构、共振峰特性等先验信息,设计更有效的凸代理函数或Proximal算子,从而提高算法的性能。

  • 自适应参数调整:

     根据语音信号的能量和噪声水平,自适应地调整正则化参数,从而更好地平衡去噪效果和语音质量。

  • 多尺度分析:

     将语音信号分解为多个尺度,在不同尺度上应用不同的组稀疏正则化方法,从而更好地捕捉语音信号的局部特征。

研究展望

尽管组稀疏信号去噪技术在语音增强领域取得了显著进展,但仍然存在一些值得进一步研究的方向:

  • 更高效的非凸优化算法:

     探索更高效的非凸优化算法,例如,利用深度学习技术学习非凸正则化模型的参数,或者开发新的基于梯度下降的非凸优化算法。

  • 更鲁棒的组定义方法:

     研究更鲁棒的组定义方法,例如,利用语音信号的结构化信息,自适应地调整组的大小和形状,从而更好地适应不同类型的语音信号和噪声环境。

  • 与其他技术的融合:

     将组稀疏信号去噪技术与其他语音增强技术相结合,例如,将组稀疏信号去噪与深度学习模型相结合,可以有效地利用两者的优势,从而进一步提高语音增强性能。

  • 面向低资源语音的组稀疏去噪:

     针对低资源语音(数据量不足的语音),如何有效地利用组稀疏的先验知识进行语音增强是一个重要的研究方向。如何设计针对低资源语音的组定义策略,并开发相应的凸优化算法,是未来的研究重点。

结论

组稀疏信号去噪技术为语音增强提供了一种有效的方法。非凸正则化能够提供更强的稀疏性约束,并更好地保留信号中的重要信息。尽管非凸优化带来了新的挑战,但通过各种凸优化技术,可以有效地逼近非凸正则化问题并进行高效求解。未来的研究将继续关注更高效的非凸优化算法、更鲁棒的组定义方法以及与其他技术的融合,从而进一步提高语音增强性能,并拓展其应用范围。

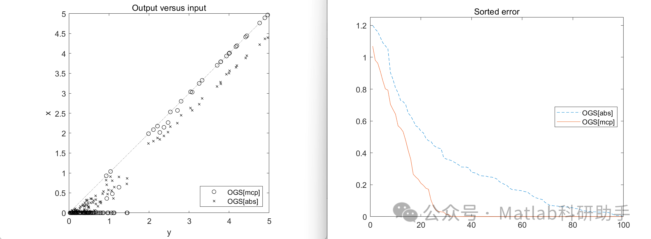
⛳️ 运行结果

🔗 参考文献

[1] 刘玉龙.基于压缩感知的信号重构算法研究[D].东北电力大学[2025-04-06].DOI:CNKI:CDMD:2.1018.184192.

[2] 王锋.非凸压缩感知恢复算法及其在宽带频谱感知中的应用研究[D].西安电子科技大学,2016.DOI:10.7666/d.Y3083686.

[3] 徐云鹏.基于压缩感知的模拟信号采集系统研究[D].南京理工大学,2016.DOI:10.7666/d.Y3045135.

📣 部分代码

🎈 部分理论引用网络文献,若有侵权联系博主删除

 👇 关注我领取海量matlab电子书和数学建模资料 

🏆团队擅长辅导定制多种科研领域MATLAB仿真,助力科研梦:

🌈 各类智能优化算法改进及应用
生产调度、经济调度、装配线调度、充电优化、车间调度、发车优化、水库调度、三维装箱、物流选址、货位优化、公交排班优化、充电桩布局优化、车间布局优化、集装箱船配载优化、水泵组合优化、解医疗资源分配优化、设施布局优化、可视域基站和无人机选址优化、背包问题、 风电场布局、时隙分配优化、 最佳分布式发电单元分配、多阶段管道维修、 工厂-中心-需求点三级选址问题、 应急生活物质配送中心选址、 基站选址、 道路灯柱布置、 枢纽节点部署、 输电线路台风监测装置、 集装箱调度、 机组优化、 投资优化组合、云服务器组合优化、 天线线性阵列分布优化、CVRP问题、VRPPD问题、多中心VRP问题、多层网络的VRP问题、多中心多车型的VRP问题、 动态VRP问题、双层车辆路径规划(2E-VRP)、充电车辆路径规划(EVRP)、油电混合车辆路径规划、混合流水车间问题、 订单拆分调度问题、 公交车的调度排班优化问题、航班摆渡车辆调度问题、选址路径规划问题、港口调度、港口岸桥调度、停机位分配、机场航班调度、泄漏源定位
🌈 机器学习和深度学习时序、回归、分类、聚类和降维

2.1 bp时序、回归预测和分类

2.2 ENS声神经网络时序、回归预测和分类

2.3 SVM/CNN-SVM/LSSVM/RVM支持向量机系列时序、回归预测和分类

2.4 CNN|TCN|GCN卷积神经网络系列时序、回归预测和分类

2.5 ELM/KELM/RELM/DELM极限学习机系列时序、回归预测和分类
2.6 GRU/Bi-GRU/CNN-GRU/CNN-BiGRU门控神经网络时序、回归预测和分类

2.7 ELMAN递归神经网络时序、回归\预测和分类

2.8 LSTM/BiLSTM/CNN-LSTM/CNN-BiLSTM/长短记忆神经网络系列时序、回归预测和分类

2.9 RBF径向基神经网络时序、回归预测和分类

2.10 DBN深度置信网络时序、回归预测和分类
2.11 FNN模糊神经网络时序、回归预测
2.12 RF随机森林时序、回归预测和分类
2.13 BLS宽度学习时序、回归预测和分类
2.14 PNN脉冲神经网络分类
2.15 模糊小波神经网络预测和分类
2.16 时序、回归预测和分类
2.17 时序、回归预测预测和分类
2.18 XGBOOST集成学习时序、回归预测预测和分类
2.19 Transform各类组合时序、回归预测预测和分类
方向涵盖风电预测、光伏预测、电池寿命预测、辐射源识别、交通流预测、负荷预测、股价预测、PM2.5浓度预测、电池健康状态预测、用电量预测、水体光学参数反演、NLOS信号识别、地铁停车精准预测、变压器故障诊断
🌈图像处理方面
图像识别、图像分割、图像检测、图像隐藏、图像配准、图像拼接、图像融合、图像增强、图像压缩感知
🌈 路径规划方面
旅行商问题(TSP)、车辆路径问题(VRP、MVRP、CVRP、VRPTW等)、无人机三维路径规划、无人机协同、无人机编队、机器人路径规划、栅格地图路径规划、多式联运运输问题、 充电车辆路径规划(EVRP)、 双层车辆路径规划(2E-VRP)、 油电混合车辆路径规划、 船舶航迹规划、 全路径规划规划、 仓储巡逻
🌈 无人机应用方面
无人机路径规划、无人机控制、无人机编队、无人机协同、无人机任务分配、无人机安全通信轨迹在线优化、车辆协同无人机路径规划
🌈 通信方面
传感器部署优化、通信协议优化、路由优化、目标定位优化、Dv-Hop定位优化、Leach协议优化、WSN覆盖优化、组播优化、RSSI定位优化、水声通信、通信上传下载分配
🌈 信号处理方面
信号识别、信号加密、信号去噪、信号增强、雷达信号处理、信号水印嵌入提取、肌电信号、脑电信号、信号配时优化、心电信号、DOA估计、编码译码、变分模态分解、管道泄漏、滤波器、数字信号处理+传输+分析+去噪、数字信号调制、误码率、信号估计、DTMF、信号检测
🌈电力系统方面
微电网优化、无功优化、配电网重构、储能配置、有序充电、MPPT优化、家庭用电
🌈 元胞自动机方面
交通流 人群疏散 病毒扩散 晶体生长 金属腐蚀
🌈 雷达方面
卡尔曼滤波跟踪、航迹关联、航迹融合、SOC估计、阵列优化、NLOS识别
🌈 车间调度
零等待流水车间调度问题NWFSP 、 置换流水车间调度问题PFSP、 混合流水车间调度问题HFSP 、零空闲流水车间调度问题NIFSP、分布式置换流水车间调度问题 DPFSP、阻塞流水车间调度问题BFSP

👇

评论
成就一亿技术人!
拼手气红包6.0元
还能输入1000个字符
 
红包 添加红包
表情包 插入表情
 条评论被折叠 查看
添加红包

请填写红包祝福语或标题

红包个数最小为10个

红包金额最低5元

当前余额3.43前往充值 >
需支付:10.00
成就一亿技术人!
领取后你会自动成为博主和红包主的粉丝 规则
hope_wisdom
发出的红包
实付
使用余额支付
点击重新获取
扫码支付
钱包余额 0

抵扣说明:

1.余额是钱包充值的虚拟货币,按照1:1的比例进行支付金额的抵扣。
2.余额无法直接购买下载,可以购买VIP、付费专栏及课程。

余额充值