原内容请参考哈尔滨工业大学何飞教授:https://www.bilibili.com/video/BV18b4y1Y7wd/?p=12&spm_id_from=pageDriver&vd_source=61654d4a6e8d7941436149dd99026962
或《材料物理性能及其在材料研究中的应用》(哈尔滨工业大学出版社)
文章目录
宏观电极化的微观角度分析
宏观电极化的微观物理解释
物质的宏观电极化是组成物质的微观粒子在外电场作用下发生微观电极化的结果。
微观粒子在外电场作用下产生的电偶极矩 μ \mu μ
μ = α E l o c \mu=\alpha E_{\mathrm{loc}} μ=αEloc
- α :微观极化率 \alpha:微观极化率 α:微观极化率
- E l o c :局部场强 E_{\mathrm{loc}}:局部场强 Eloc:局部场强
微观粒子产生的电偶极矩与局部场强呈正比例关系,比例系数为微观极化率。
电极化的类型
基本极化类型

位移极化
弹性、瞬时完成,无能量消耗。
弛豫极化
与热运动有关,非弹性、需一定时间完成,有能量消耗。
位移极化
电子位移极化
在外电场作用下,原子外围的电子云相对于原子核发生的位移形成的极化。
当发生电子位移极化时,正负电荷中心发生相对位移而产生感应偶极矩。当外加电场的作用去除以后,电子位移极化即刻消失,反映了位移极化的特征。
电子位移极化率
由玻尔模型计算出电子极化率:
α
e
=
4
π
ϵ
0
R
3
\alpha_e=4\pi\epsilon_0R^3
αe=4πϵ0R3
- α e \alpha_e αe:电子位移极化率;
-
R
R
R:原子(离子)半径。
电子位移极化的根本
电子位移极化率与原子或离子的半径有关,半径越大,电子极化率越高,电子极化越容易发生。
电子(尤其是最外层电子)与原子核之间的作用关系越弱,在外电场作用下,正负电荷之间越容易发生偏离。因此从根本上看,电子位移极化就是正负电荷中心产生了相对位移。
电子位移极化的三个特点
- 形成极化所需的时间极短(≈10-16~10-14 s),在一般频率范围内,可以认为 ϵ \epsilon ϵ与频率无关。
- 具有弹性。当外电场去掉时,正负电荷中心又马上会重合而整个呈现非极性,故电子式极化没有能量损耗。
- 温度对电子位移极化的影响不大。
离子位移极化

离子在电场的作用下,偏离平衡位置引起的极化,相当于形成一个感生偶极矩。若去掉电场,离子又回到原来的位置。
通常离子位移极化主要存在于离子化合物材料中(如云母、陶瓷等)。
离子位移极化率
根据经典弹性振动理论,可估算出离子极化率:
α
i
=
a
3
n
−
1
4
π
ϵ
0
\alpha_i=\frac{a^3}{n-1}4\pi\epsilon_0
αi=n−1a34πϵ0
- α i \alpha_i αi:离子位移极化率
- a a a:晶格常数
- n n n:电子层斥力指数
决定离子位移极化率的关键是晶格常数
a
a
a,即离子之间的距离。离子间距越大,离子间相互作用越小,因此越容易在电场作用下发生相对位移。
离子位移极化的特点
- 形成极化所需时间很短,约为10-13~10-12s。在频率不太高时,可以认为 ϵ \epsilon ϵ与频率无关。
- 属于弹性极化,能量损耗很小。
- 离子位移极化受两个相反因素的影响:
- 温度升高时,离子间的结合力降低,使极化能力增加;
- 离子的密度随温度升高而减小,使极化能量降低。
极化的强弱取决于这两个因素的共同作用。
- 通常前一种因素的影响较大,因此介电常数一般具有正的温度系数,即随温度升高,出现极化能力增强趋势的特征。
偶极子取向极化
偶极子取向极化是在外加电场作用下,电偶极子倾向于定向排列的过程。
在极性电介质中,
- 当无外加电场时,偶极子排列混乱,使 ∑ μ i = 0 \sum{\mu_i}=0 ∑μi=0(宏观电偶极矩矢量和为零),此时对外不显极性。
- 当外加电场时,偶极转向,形成定向排列,使电介质极化。
极性分子的偶极子取向极化率
α d = μ 0 2 3 k B T \alpha_d=\frac{\mu^2_0}{3k_BT} αd=3kBTμ02
- α d \alpha_d αd:取向极化率
- μ 0 \mu_0 μ0:固有偶极矩
从公式可以看到,取向极化率主要与温度有关。实际上温度越高,偶极子的活性越强,混乱度越高,也就越难在电场的驱动下取向一致,所以取向极化率降低。
偶极子取向极化的特点
- 极化过程是非弹性的,消耗的电场能在复原时不可能回收。
- 形成极化所需时间较长,约为10-10~10-2s。因此 ϵ \epsilon ϵ与频率有较大关系。当频率很高时,偶极子来不及转动,因而 ϵ \epsilon ϵ较低,即高频下取向极化率低。
- 温度对极性电介质的极化率有很大影响(热运动与外电场作用的两个矛盾,从而建立新的统计平衡):
- 偶极子沿外加电场的有序化降低系统的能量
- 热运动破坏这种有序化
空间电荷极化(界面极化)
空间电荷极化常发生在不均匀介质中,例如介质中存在晶界、相界、晶格畸变、杂质、气泡等缺陷区,都可成为自由电荷运动的障碍。在电场作用下,不均匀介质内部的正/负间隙离子分别向负/正极移动,引起电介质内各点离子密度的变化,出现了电偶极矩,这种极化就是空间电荷极化,也称为界面极化。
空间电荷极化与介质不均匀的几何形状以及离子的扩散能力是有关的。从根本上看,空间电荷极化主要反映的是不均匀介质中正负离子相对移动的情况。
空间电荷极化的特点
- 空间电荷极化随温度升高而降低,因为温度升高,离子运动加剧,离子扩散容易,因而空间电荷减少。
- 空间电荷的建立需要较长时间,大约几秒到数十分钟,甚至数十个小时,因此空间电荷极化对低频下的介电性质有很大影响。
- 空间电荷常存在于结构不均匀的陶瓷电介质中。
- 取向极化率比电子极化率高两个数量级。
电介质极化的四个微观机制

弛豫极化
弛豫
一个宏观系统由于周围环境的变化或受到外界的作用而变为非平衡状态,这个系统再从非平衡状态过渡到新的热平衡状态的整个过程就称为弛豫过程。
弛豫极化由外加电场作用于弱束缚电荷粒子造成,与带电质点的热运动密切相关:
- 热运动使弱束缚电荷粒子分布混乱;
- 电场使电荷粒子有序分布;
- 平衡时建立极化状态,弛豫为非可逆过程。
弛豫极化必须考虑带电粒子的热运动对极化的影响。
电子弛豫极化
弱束缚电子电场下作短距离运动。
由于晶格的热运动、晶格缺陷、杂质引入、化学成分局部改变等因素,使电子能态发生改变,导致位于禁带中的局部能级中出现弱束缚电子,在热运动和电场作用下可建立电子弛豫极化。
电子弛豫极化与电子位移极化的区别
- 电子位移极化:原子自身对外电场的快速响应,不消耗能量。
- 电子弛豫极化:弱束缚电子作短距离运动,消耗能量。
具有电子弛豫极化特性的介质往往具有电子导电性
只有当弱束缚电子获得更高的能量激发到导带成为自由电子时,才形成电导。电子弛豫极化建立的时间的时间约为10-9~10-2 s。在高频下(>109 Hz),电子弛豫极化消失。
离子弛豫极化
弱束缚离子电场下作短距离运动。由弱束缚离子在电场和热运动作用下建立离子弛豫极化。
弱束缚离子
主要是对于玻璃态的物质结构松散的离子晶体,晶体的杂质或缺陷区域中自身的能量较高,易于活化迁移的离子。
离子弛豫极化的过程是不可逆的,存在能量的消耗
离子弛豫极化率 α T a \alpha^{a}_{T} αTa
α T a = q 2 δ 2 12 k B T \alpha^{a}_{T}=\frac{q^2\delta^2}{12k_BT} αTa=12kBTq2δ2
- q : 离子电荷量 q:离子电荷量 q:离子电荷量
- δ : 迁移距离 \delta:迁移距离 δ:迁移距离
温度越高,热运动对质点的规则运动阻碍增强,因此电极化率是降低的。通常离子弛豫极化率比离子位移极化率大一个数量级,往往导致材料具有高的介电常数。
离子弛豫极化时,离子需要克服一定的势垒才能移动,因此这种极化建立的时间较长,约为10-5~10-2s。
高频率下,介电常数
ϵ
\epsilon
ϵ随频率的升高而下降。频率很高时,无弛豫极化,此时只存在位移极化。
这种高频低介电常数的特点同时存在于电子类和离子类的弛豫极化中。
弛豫极化的特点
- 弛豫极化的带电质点在热运动时移动的距离有分子大小,甚至更大。
- 弛豫极化中质点需要克服一定的势垒才能移动,因此这种极化建立的时间较长,并且需要吸收一定的能量,所以这种极化是一种不可逆的过程。
- 弛豫极化多发生在晶体缺陷处或玻璃体内。
- 离子弛豫极化率比位移极化率大一个数量级,导致高介电常数。
电介质极化微观机制
- 电介质总的极化强度是各种微观机制作用的总和
- 材料的组织结构影响极化机制:
对于电子极化、离子极化和取向极化,主要由原子种类和键合类型所影响
对于空间电荷极化,主要由面缺陷所影响 - 外电场频率对极化影响很大,某种微观机制都是在不同的时间量级内发生的,只有在某个频率范围内才有显著的作用。
电介质可能发生的各种极化形式

作用于分子、原子上的有效电场
宏观电场
对于宏观电场强度
E
→
\overrightarrow{E}
E来说,主要包括外加电场
E
0
→
\overrightarrow{E_0}
E0和由分布在物体上面的束缚电荷所产生的退极化场
E
d
→
\overrightarrow{E_d}
Ed有关,并且这两个电场的方向是相反的,因此宏观电场强度可以写成
E
0
→
\overrightarrow{E_0}
E0和
E
d
→
\overrightarrow{E_d}
Ed的矢量和:
E
→
=
E
0
→
+
E
d
→
\overrightarrow{E}=\overrightarrow{E_0}+\overrightarrow{E_d}
E=E0+Ed。
莫索提极化球形腔模型/作用于一个原子上的局部电场
莫索提利用极化的球形腔模型提出了作用于一个原子上的局部电场的概念。
将参考原子作为球心画一个球,假设当把这个球挖空后,在球外介质的作用是空球表面的作用场
E
i
→
\overrightarrow{E_i}
Ei以及外加电场
E
0
→
\overrightarrow{E_0}
E0和退极化场
E
d
→
\overrightarrow{E_d}
Ed共同产生的介质外表面电荷极化作用场:
E
→
loc
=
E
→
0
+
E
→
d
+
E
→
i
\overrightarrow{E}_{\text{loc}}=\overrightarrow{E}_0+\overrightarrow{E}_d+\overrightarrow{E}_i
Eloc=E0+Ed+Ei
- E → 0 : 外加电场 \overrightarrow{E}_0:外加电场 E0:外加电场
- E → d : 电介质极化形成的退极化场 \overrightarrow{E}_d:电介质极化形成的退极化场 Ed:电介质极化形成的退极化场
-
E
→
i
:
周围带电质点相互作用形成的洛伦兹场
\overrightarrow{E}_i:周围带电质点相互作用形成的洛伦兹场
Ei:周围带电质点相互作用形成的洛伦兹场
洛伦兹场结论
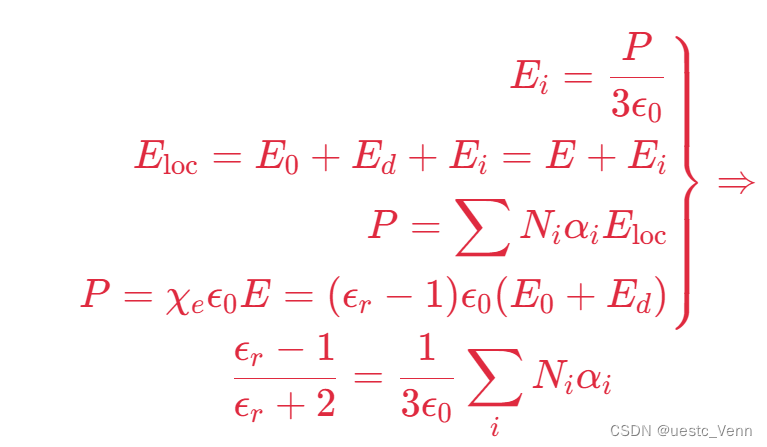
E → i = P → 3 ϵ 0 \overrightarrow{E}_i=\frac{\overrightarrow{P}}{3\epsilon_0} Ei=3ϵ0P
克劳修斯-莫索提方程
借助克劳修斯-莫索提方程建立电极化宏观量与微观量之间的关系。
电极化强度
P
P
P为单位体积电介质在实际电场作用下所有电偶极矩的矢量和。带电质点的平均偶极矩
μ
\mu
μ与局部电场
E
loc
E_{\text{loc}}
Eloc之间借助电极化率
α
\alpha
α建立关系。将这些关系联立,可以把总的电极化强度用局部电场的形式写出:
P
=
∑
N
i
μ
i
μ
i
=
α
i
E
loc
}
⇒
P
=
∑
N
i
α
i
E
loc
\left. \begin{aligned} P=\sum{N_i\mu_i}\\ \mu_i=\alpha_iE_{\text{loc}} \end{aligned} \right\} \Rightarrow P=\sum{N_i\alpha_iE_{\text{loc}}}
P=∑Niμiμi=αiEloc⎭
⎬
⎫⇒P=∑NiαiEloc
式中,
i
:
某种极化形式
i:某种极化形式
i:某种极化形式
μ
i
:
第
i
种偶极子的平均偶极矩
\mu_i:第i种偶极子的平均偶极矩
μi:第i种偶极子的平均偶极矩
N
i
:
第
i
种偶极子的数目
N_i:第i种偶极子的数目
Ni:第i种偶极子的数目
α
i
:
第
i
种偶极子电极化率
\alpha_i:第i种偶极子电极化率
αi:第i种偶极子电极化率
克劳修斯-莫索提方程的推导过程*

克劳修斯-莫索提方程用于描述电介质的相对介电常数、偶极子数目和电极化率之间的关系。
克劳修斯-莫索提方程的微观极化率展开式
将用于描述各种微观极化机制的极化率引入方程并展开后得到展开后的克劳修斯-莫索提方程:
ϵ
r
−
1
ϵ
r
+
2
=
1
3
ϵ
0
(
N
1
α
1
+
N
2
α
2
+
N
3
α
3
+
N
4
α
4
)
\frac{\epsilon_r-1}{\epsilon_r+2}=\frac{1}{3\epsilon_0}(N_1\alpha_1+N_2\alpha_2+N_3\alpha_3+N_4\alpha_4)
ϵr+2ϵr−1=3ϵ01(N1α1+N2α2+N3α3+N4α4)
1→电子极化
2→离子极化
3→取向极化
4→空间电荷极化
观察发现,方程左侧的相对介电常数与电介质材料的宏观性能有关,即可通过实验方法获得材料的相对介电常数。而方程右侧的电极化率和偶极子数目都体现着电介质微观上的电偶极矩的变化关系。因此克劳修斯-莫索提方程实际上建立了电介质极化宏观与微观之间的关系。
电介质极化微观机制详解,


1692

被折叠的 条评论
为什么被折叠?



