一、题目
编写一个程序,找到两个单链表相交的起始节点。
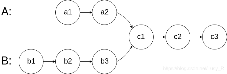
如下面的两个链表:

在节点 c1 开始相交。
示例 1:

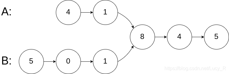
输入:intersectVal = 8, listA = [4,1,8,4,5], listB = [5,0,1,8,4,5], skipA = 2, skipB = 3
输出:Reference of the node with value = 8
输入解释:相交节点的值为 8 (注意,如果两个链表相交则不能为 0)。从各自的表头开始算起,链表 A 为 [4,1,8,4,5],链表 B 为 [5,0,1,8,4,5]。在 A 中,相交节点前有 2 个节点;在 B 中,相交节点前有 3 个节点。
示例 2:

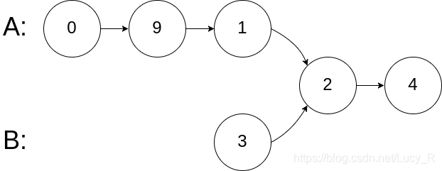
输入:intersectVal = 2, listA = [0,9,1,2,4], listB = [3,2,4], skipA = 3, skipB = 1
输出:Reference of the node with value = 2
输入解释:相交节点的值为 2 (注意,如果两个链表相交则不能为 0)。从各自的表头开始算起,链表 A 为 [0,9,1,2,4],链表 B 为 [3,2,4]。在 A 中,相交节点前有 3 个节点;在 B 中,相交节点前有 1 个节点。
示例 3:

输入:intersectVal = 0, listA = [2,6,4], listB = [1,5], skipA = 3, skipB = 2
输出:null
输入解释:从各自的表头开始算起,链表 A 为 [2,6,4],链表 B 为 [1,5]。由于这两个链表不相交,所以 intersectVal 必须为 0,而 skipA 和 skipB 可以是任意值。
解释:这两个链表不相交,因此返回 null。
注意:
如果两个链表没有交点,返回 null.
在返回结果后,两个链表仍须保持原有的结构。
可假定整个链表结构中没有循环。
程序尽量满足 O(n) 时间复杂度,且仅用 O(1) 内存。
二、解题思路
一开始看这道题的时候,完全看不懂说的是什么,不知道该从何下手。所以直接看了官方解析。然后终于明白了题目说的是啥。关于题目的解读,可以看下面这个视频,讲的很清楚了。
https://leetcode-cn.com/problems/intersection-of-two-linked-lists/solution/lian-biao-xiang-jiao-shuang-zhi-zhen-onshi-jian-fu/
两个链表相遇的点不单单与它本身的值有关,还与它在循环中的索引有关。只有满足值与索引都相同的前提下,才是真正的相交点。这也是为什么示例1里相交点不是8之前的1(这是我一开始看题的时候最疑惑的一点,原因是1只满足值相同,但在两个链表循环过程中始终无法在同一位置一同出现)。
这道题我实在是理解不了,连解析也没有看懂。过两天再说吧。不懂得点:为什么A后要连接B, B后要连接A。实在是看不懂,还有这和长度相差多少有什么关系。如果有人看到并且知道的话麻烦留言指教一下,谢谢。
下面的代码我都能看懂了,也都背会了。但就是无法理解为什么这样写。而且为什么这么写,能通过示例1的测试,难道不应该在【4,1,8,4,5】和【5,0,1,8,4,5】的1处跳出循环吗?
class Solution:
def getIntersectionNode(self, headA: ListNode, headB: ListNode) -> ListNode:
a=headA
b=headB
while a!=b:
a=a.next if a else headB
b=b.next if b else headA
return a
class Solution:
def getIntersectionNode(self, headA: ListNode, headB: ListNode) -> ListNode:
A = set()
cur1 = headA
cur2 = headB
while cur1:
A.add(cur1)
cur1 = cur1.next
while cur2:
if cur2 in A:
return cur2
cur2 = cur2.next
return None

本文探讨了如何在两个单链表中找到它们相交的起始节点,提供了两种解决方案并详细解释了双指针法和集合法的实现细节。
2万+

被折叠的 条评论
为什么被折叠?



