目录
一、前言
二叉搜索树以二叉树为原生结构,在此基础上增加了根、左子树结点、右子树结点的大小关系,在数据的增删查和算法中都有较广泛的应用,然而在极端情况下,二叉搜索树可能会退化成链式结构,时间复杂度退化为O(N),此时二叉搜索树的查找效率大大降低,因此就有必要控制二叉搜索树结构的平衡,使其左右子树分布尽可能均匀,从而使效率维持在O(logN)附近,AVL树就是一种平衡二叉搜索树,AVL树通过控制左右子树的高度差来实现二叉搜索树的平衡,本文将围绕AVL树结构展开介绍,以AVL树结构为出发点,由浅入深,从结构特点到AVL树的查找插入,其中AVL树的插入较为复杂,涉及到平衡因子的更新、旋转相关问题,本文将详细展开介绍,AVL树整体结点数量和分布与完全二叉树类似,其高度维持在logN左右,故增删查改的效率都为O(logN),相比二叉搜索树性能有了本质的提升。
二、AVL树
1、结构
AVL树为平衡二叉搜索树,其左右子树也都为AVL树,且AVL树的左右子树高度差的绝对值不超过1,AVL树通过控制左右子树的高度差来实现结构平衡。

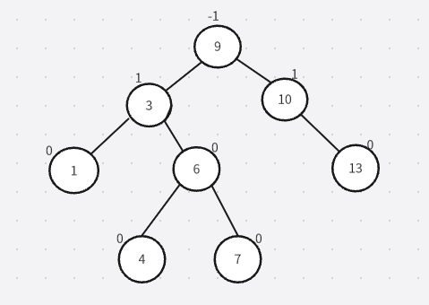
上图所示就是AVL树,在二叉搜索树的结构基础上对左右子树的高度进行了平衡,左右子树高度差的绝对值不超过1,其左子树和右子树也都为AVL树,AVL树这里引入一个平衡因子的概念,每个结点都有一个平衡因子,结点的平衡因子等于其右子树的高度减去左子树的高度,可知在AVL树中结点的平衡因子大小为-1/0/1,AVL树实现并不是一定要有平衡因子,但有了平衡因子可以方便观察和控制树是否平衡,上例AVL树的平衡因子如下图所示:

引入了平衡因子,那么AVL树插入数据后就需更新每个结点的平衡因子,以此观察树是否平衡,对此在AVL树结点中增加了parent指针,parent指针指向该结点的双亲结点,这样就可以通过parent指针由下往上更新相关结点的平衡因子,从而完成平衡因子的更新。
2、结点
AVL树实现为key_value搜索场景平衡二叉搜索树的模板类型,结点存放的数据类型为pair类型,即pair<K,V> _kv。
template<class K, class V>
struct AVLtreenode
{
pair<K, V> _kv;
AVLtreenode<K, V>* _left;
AVLtreenode<K, V>* _right;
AVLtreenode<K, V>* _parent;
int _bf;
AVLtreenode(const pair<K, V>& kv)
:_kv(kv)
, _left(nullptr)
, _right(nullptr)
, _parent(nullptr)
, _bf(0)
{
}
};
K为key的数据类型,V为value的数据类型,_left、_right为结点左右孩子指针,_parent为双亲结点指针,用于平衡因子的更新,_bf为该结点的平衡因子,结点构造函数通过传pair<K,V> kv对象进行构造,pair类型成员变量_kv初始化为kv,_left、_right、_parent初始化为nullptr,结点左右子树初始均为空,故结点的平衡因子_bf初始化为0,这样就实现了AVL树结点的构造。
3、查找
template<class K, class V>
class AVLtree
{
using Node = AVLtreenode<K, V>;
public:
Node* find(const K& key)
{
Node* cur = _root;
while (cur)
{
if (cur->_kv.first < key)
{
cur = cur->_right;
}
else if (cur->_kv.first > key)
{
cur = cur->_left;
}
else
{
return cur;
}
}
return nullptr;
}
private:
Node* _root = nullptr;
};
using Node=AVLtreenode<K,V>,将结点重命名为Node,AVL树成员变量Node*根结点_root初始化为nullptr,find用于AVL树数据key的查找,与二叉搜索树的查找规则一致,cur初始化为_root,通过while循环,比较cur->_kv.first与key的大小关系,若cur->_kv.first小于key,则cur往右子树方向继续遍历,即cur=cur->_right,若cur->_kv.first大于key,则cur往左子树方向继续遍历,即cur=cur->_left,else则查找成功,即cur->_kv.first==key,return cur,while循环结束,则cur为nullptr,没找到key,查找失败,return nullptr。
4、中序
template<class K, class V>
class AVLtree
{
using Node = AVLtreenode<K, V>;
public:
Node* find(const K& key)
{
Node* cur = _root;
while (cur)
{
if (cur->_kv.first < key)
{
cur = cur->_right;
}
else if (cur->_kv.first > key)
{
cur = cur->_left;
}
else
{
return cur;
}
}
return nullptr;
}
void Inorder()
{
_Inorder(_root);
cout << endl;
}
private:
void _Inorder(Node* root)
{
if (root == nullptr)
return;
_Inorder(root->_left);
cout << root->_kv.first << ":" << root->_kv.second << endl;
_Inorder(root->_right);
}
private:
Node* _root = nullptr;
};
AVL树中序遍历与二叉搜索树中序遍历的规则一致,通过递归实现中序遍历,递归返回条件为root==nullptr,先递归遍历左子树,即_Inorder(root->_left),再访问根,即访问pair的first、second成员,cout<<root->_kv.first<<":"<<root->_kv.second<<endl,再递归遍历根的右子树,即_Inorder(root->_right),就完成了AVL树的中序遍历,这里还需注意的是_root为private成员,类外不能直接访问,类内部可以访问,因此就需在类内实现一个成员函数Inorder通过访问_root、调用_Inorder函数来完成中序遍历,那么类外就可以通过调用Inorder函数来完成AVL树的中序遍历。
5、高度
template<class K, class V>
class AVLtree
{
using Node = AVLtreenode<K, V>;
public:
int Height()
{
return _Height(_root);
}
private:
int _Height(Node* root)
{
if (root == nullptr)
return 0;
int leftheight=_Height(root->_left);
int rightheight = _Height(root->_right);
return leftheight > rightheight ? leftheight + 1 : rightheight + 1;
}
private:
Node* _root = nullptr;
};
求AVL树的高度,也可以通过递归实现,先递归求出左子树的高度,再递归求出右子树的高度,递归返回条件为当root==nullptr,return 0 ,最后取左子树、右子树高度的较大值再加上根,即leftheight>rightheight?leftheight+1:rightheight+1,这样就递归求出了AVL树的高度,与中序遍历类似,类外不能直接访问_root,因此也需在类内实现成员函数Height通过访问_root、调用_Height来求出树的高度,那么类外就可以通过调用Height函数来求出树的高度。
6、结点数
template<class K, class V>
class AVLtree
{
using Node = AVLtreenode<K, V>;
public:
int size()
{
return _size(_root);
}
private:
int _size(Node* root)
{
if (root == nullptr)
return 0;
int leftsize = _size(root->_left);
int rightsize = _size(root->_right);
return leftsize + rightsize + 1;
}
private:
Node* _root = nullptr;
};
求AVL树的结点数,与上面类似,先递归求出左子树的结点数,再递归求出右子树的结点数,总结点数就是左子树结点数+右子树结点数+根结点,即leftsize+rightsize+1,递归返回条件为root==nullptr,也需在类内实现成员函数size访问_root、调用_size来求出树的结点数,类外就可以直接调用size来求出树的结点数。
7、判断是否为AVL树
template<class K, class V>
class AVLtree
{
using Node = AVLtreenode<K, V>;
public:
bool IsAVLtree()
{
return _IsAVLtree(_root);
}
private:
int _Getheight(Node* root)
{
if (root == nullptr)
return 0;
int leftheight = _Getheight(root->_left);
if (leftheight == -1)
{
return -1;
}
int rightheight = _Getheight(root->_right);
if (rightheight == -1)
{
return -1;
}
int diff = rightheight - leftheight;
if (abs(diff) >= 2)
{
cout << root->_kv.first << "高度差异常" << endl;
return -1;
}
if (root->_bf != diff)
{
cout << root->_kv.first << "平衡因子异常" << endl;
return -1;
}
return max(leftheight, rightheight) + 1;
}
bool _IsAVLtree(Node*root)
{
return _Getheight(root) != -1;
}
private:
Node* _root = nullptr;
};
判断是否为AVL树,可通过左右子树的高度差来判断,_Getheight用于求出左右子树的高度差,并进行判断,采取后序遍历的方式对树进行递归,先递归求出左子树的高度,再递归求出右子树的高度,两者作差进行比较,若高度差绝对值大于等于2,即abs(diff)>=2,则该树不为AVL树,return -1,也可顺便检查平衡因子是否异常,若高度差diff不等于平衡因子,则平衡因子异常,return -1,若为AVL树,则返回该子树的高度,即max(leftheight,rightheight)+1,后序方式判断的好处是先判断左子树,再判断右子树,并保存了左右子树的高度,最后判断根就无需再重复计算一遍左右子树的高度,直接两者作差即可,即若该树为AVL树,则返回该树的高度,若不为AVL树,则返回-1,_IsAVLtree通过_Getheight的返回值即可判断是否为AVL树,若不为AVL树,则_Getheight==-1,即return _Getheight(root)!=-1,同理也需在类内实现成员函数IsAVLtree访问_root,调用_IsAVLtree来完成AVL树的判断,类外通过调用成员函数IsAVLtree来判断是否为AVL树。
8、插入
(1)结点插入
AVL树的插入操作就有点复杂了,涉及到平衡因子的更新、旋转等操作,首先插入一个结点还是按二叉搜索树的规则进行插入:
bool insert(const pair<K, V>& kv)
{
if (_root == nullptr)
{
_root = new Node(kv);
return true;
}
Node* parent = nullptr;
Node* cur = _root;
while (cur)
{
if (cur->_kv.first < kv.first)
{
parent = cur;
cur = cur->_right;
}
else if (cur->_kv.first > kv.first)
{
parent = cur;
cur = cur->_left;
}
else
{
return false;
}
}
cur = new Node(kv);
if (parent->_kv.first < kv.first)
{
parent->_right = cur;
}
else
{
parent->_left = cur;
}
cur->_parent = parent;
return true;
}
若起始树为空,则直接将结点插入即可,_root=new Node(kv),若不为空,则按二叉搜索树的比较路线,cur初始化为_root,parent初始化为nullptr,parent用于保存cur的位置,便于后续结点指针的连接,通过while循环,若cur->_kv.first小于kv.first,则cur往右子树方向继续遍历,即paren=cur,cur=cur->_right,若cur->_kv.first大于kv.first,则cur往左子树方向继续遍历,即parent=cur,cur=cur->_left,不支持key相等数据的插入,else则cur->_kv.first==kv.first,插入失败,return false,遍历完成后,cur来到相应的位置,比较parent与cur的key,若parent->_kv.first<kv.first,则新增结点应为parent的右孩子,反之则为左孩子,最后还需处理_parent指针,即cur的_parent指针指向parent,即cur->_parent=parent,return true,就完成了结点的插入。
(2)平衡因子更新
<1> 含义
新增结点以后,会影响祖先结点的高度,也就是可能会影响部分祖先结点的平衡因子,因此需要更新从新增结点到根结点路径上的平衡因子,更新平衡因子过程中没有出现问题,即更新后的平衡因子都为-1/0/1,则插入结束,若更新平衡因子过程中出现不平衡,那么就需要对不平衡子树旋转,旋转调平衡的同时,本质也降低了子树的高度,不会再影响上一层,插入结束。
<2> 更新原则
1、平衡因子=右子树高度-左子树高度
2、只有子树高度变化才会影响当前结点的平衡因子
3、插入结点,会增加高度,若新增结点在parent的右子树,则parent的平衡因子++,新增结点在parent的左子树,parent的平衡因子--。
4、parent所在子树的高度是否变化决定了是否会继续往上更新。
<3> 更新停止条件

1、若更新后parent的平衡因子等于0,则更新之前parent的平衡因子为-1或1,说明更新前parent子树一边高一边低,新增结点插入在低的那边,插入后parent所在的子树高度不变,不会影响parent结点以上的平衡因子,更新结束,如结点6插入结点7:

则6的平衡因子从-1->0,可知结点6所在的子树高度不变,不影响结点6以上结点的平衡因子,平衡因子更新结束。

2、更新后parent的平衡因子等于1或-1,则更新中parent的平衡因子变化为0->1或0->-1,说明更新前parent子树两边一样高,新增的结点插入后,parent所在的子树一边高一边低,parent所在的子树符合平衡要求,但高度增加了1,会影响parent以上结点的平衡因子,要继续往上更新,如结点13后插入结点12:

则结点13的平衡因子由0->-1,这时结点13所在的子树高度发生了变化,需要继续向上更新平衡因子,可知结点10的平衡因子由1->2。
3、更新后parent的平衡因子等于2或-2,说明更新中parent的平衡因子由1->2或-1->-2,说明更新前parent子树一边高一边低,新增的插入结点在高的那边,破坏了平衡,故parent所在的子树不符合平衡要求,需要旋转处理,如结点10的平衡因子为2,故需要对10所在的子树进行旋转,旋转的目的有两个:第1是把10所在的子树旋转平衡,第2是降低10所在子树的高度,恢复到插入结点以前的高度,因此旋转后也不需要继续向上更新平衡因子,插入结束。

parent通过while循环完成平衡因子的更新:
bool insert(const pair<K, V>& kv)
{
if (_root == nullptr)
{
_root = new Node(kv);
return true;
}
Node* parent = nullptr;
Node* cur = _root;
while (cur)
{
if (cur->_kv.first < kv.first)
{
parent = cur;
cur = cur->_right;
}
else if (cur->_kv.first > kv.first)
{
parent = cur;
cur = cur->_left;
}
else
{
return false;
}
}
cur = new Node(kv);
if (parent->_kv.first < kv.first)
{
parent->_right = cur;
}
else
{
parent->_left = cur;
}
cur->_parent = parent;
while (parent)
{
if (parent->_left == cur)
{
parent->_bf--;
}
else
{
parent->_bf++;
}
if (parent->_bf == 0)
{
break;
}
else if (parent->_bf == 1 || parent->_bf == -1)
{
cur = parent;
parent = parent->_parent;
}
else if (parent->_bf == 2 || parent->_bf == -2)
{
//旋转
}
}
return true;
}
若cur为parent的左孩子,则parent的平衡因子--,若cur为parent的右孩子,则parent的平衡因子++,再判断parent的平衡因子,若parent->_bf==0,则无需继续向上更新平衡因子,break跳出循环,插入结束;若parent->_bf==-1或parent->_bf==1,则需继续向上更新平衡因子,即cur=parent,parent=parent->_parent,若parent->_bf==2或parent->_bf==-2,则parent所在子树不平衡,需要对其旋转。
(3)旋转
<1> 原则
旋转需保持搜索树的规则,让旋转的树从不平衡变平衡,其次降低旋转树的高度。
<2> 左单旋

为方便概括左单旋的所有场景,将a/b/c抽象为高度为h的子树,a/b/c均为AVL树,9可以是整个树的根,也可以是某个局部子树的根,在a子树中插入一个新结点,如下图所示:

a子树的高度从h变为h+1,可知以13为根的子树和以9为根的树都是右子树比左子树高,这种情况采取左单旋,向上更新平衡因子,13的平衡因子从0变为1,9的平衡因子从1变为2,9为根的树左右高度差超过1,显然不平衡了,9为根的右子树过高,需要往左边旋转,控制平衡。
左单旋核心步骤:由于9<b<13,因此可以将b变为9的右子树,9变为13的左子树,13变成该树新的根,如下图所示:

可知左单旋后仍符合搜索树的规则,同时控制了平衡,树的高度恢复到插入之前的h+2,符合旋转降低高度的原则,如果插入之前9为某个局部的子树,那么旋转后不会再影响上一层,插入结束。
代码实现:

左单旋需要处理subR、parent、subRL三者左右孩子指针、parent指针的指向问题,由上图可知
parent的_right指针指向subRL,即parent->_right=subRL,subRL可能为空,若subRL不为空,则subRL的_parent指针指向parent,即subRL->_parent=parent。
void RotateL(Node* parent)
{
Node* subR = parent->_right;
Node* subRL = subR->_left;
parent->_right = subRL;
if (subRL)
{
subRL->_parent = parent;
}
Node* pparent = parent->_parent;
subR->_left = parent;
parent->_parent = subR;
if (pparent == nullptr)
{
_root = subR;
subR->_parent = nullptr;
}
else
{
if (pparent->_left == parent)
{
pparent->_left = subR;
}
else
{
pparent->_right = subR;
}
subR->_parent = pparent;
}
parent->_bf = 0;
subR->_bf = 0;
}
再处理subR结点与parent结点的连接问题,可知旋转后parent为subR的左孩子,即subR->_left=parent,parent的_parent指针指向subR,即parent->_parent=subR,这里还需注意的是parent可能为某个局部子树的根,因此还需处理parent的_parent指针所指向的结点,Node*pparent=parent->_parent,若pparent为空,则subR为新的根,即_root=subR,subR->_parent=nullptr,若pparent不为空,则先判断pparent与parent的关系,若parent为pparent的左孩子,则subR为pparent的左孩子,反之则为右孩子,subR的_parent指针指向pparent,即subR->_parent=pparent,最后还需更新平衡因子,可知旋转后parent、subR的平衡因子都为0,即parent->_bf=0,subR->_bf=0,左单旋完成。
<3> 右单旋

右单旋与左单旋类似,为方便表示右单旋的所有场景,将a/b/c抽象为高度为h的子树,在a子树中插入一个新结点,如下图所示:

a子树高度由h变为h+1,可知以9为根的子树和以13为根的树都是左子树比右子树高,这种情况采取右单旋,向上更新平衡因子,结点9的平衡因子由0更新为-1,结点13的平衡因子由-1更新为-2,即以13为根的树不平衡了,左子树偏高,需要进行右单旋,以控制树的平衡。
右单旋步骤与左单旋类似,由于9<b<13,故可将b变为13的左子树,13变为9的右子树,9作为该树新的根,如下图所示:

可知右单旋后仍符合搜索树的规则,同时控制了平衡,树的高度降低为插入之前的h+2,如果插入之前13为某个局部子树的根,那么旋转后也不会再影响上一层,插入结束。
代码实现:

与左单旋类似,右单旋需处理parent、subl、sublr三者指针的连接问题,parent的_left指针
void RotateR(Node* parent)
{
Node* subl = parent->_left;
Node* sublr = subl->_right;
parent->_left=sublr;
if (sublr)
{
sublr->_parent = parent;
}
Node* pparent = parent->_parent;
subl->_right = parent;
parent->_parent = subl;
if (parent == _root)
{
_root=subl;
subl->_parent = nullptr;
}
else
{
if (pparent->_left == parent)
{
pparent->_left = subl;
}
else
{
pparent->_right = subl;
}
subl->_parent = pparent;
}
subl->_bf = 0;
parent->_bf = 0;
}
指向sublr,同理需要判断sublr是否为空,若sublr不为空,则sublr的_parent指针指向parent,subl的_right指针指向parent,parent的_parent指针指向subl,也需讨论parent是否为整个树的根,若parent为根,即parent==_root,则右单旋后subl为整个树的根,即_root=subl,subl->_parent=nullptr,若parent为某个局部子树的根,则需讨论parent为左孩子、右孩子的情况,旋转后subl为相应的孩子结点,subl的_parent指针指向pparent,即subl->_parent==pparent,最后更新平衡因子,可知右单旋后subl、parent的平衡因子都为0,即subl->_bf=0,parent->_bf=0,右单旋完成。
<4> 左右双旋

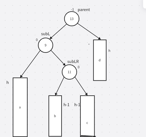
当树和子树的较高子树不一致时,这种情况下就需采取双旋,双旋有两种方式,先以左右双旋为例:

在c子树中插入一个结点,c子树高度由h-1变为h,结点11的平衡因子由0更新为1,可知11的右子树比左子树高,继续向上更新,结点9的平衡因子由0更新为1,结点9的右子树比左子树高,继续向上更新,结点13的平衡因子由-1变为-2,与结点9、11不同的是,结点13的左子树比右子树高,这种情况下采取左右双旋,先对以9为根的子树进行左单旋:

左单旋后b变成9的右子树,9变成11的左子树,11为该子树新的根,左单旋后以11为根的子树和以13为根的树都是左子树比右子树高,11的平衡因子更新为-1,13的平衡因子更新为-2,接下来对13进行右单旋:

右单旋后c变为13的左子树,13变为11的右子树,11作为整个树的根,右单旋后结点13的平衡因子由-2变为0,结点9的平衡因子为-1保持不变,结点11的平衡因子由-1变为0,可知左右双旋后,树恢复平衡,且符合搜索树的规则,树的高度恢复为插入之前的h+2,如果插入之前13为某个局部子树的根,那么左右双旋后也不会再影响上一层,插入结束。这是在c子树插入结点的情况,另一种情况是在b子树插入结点,与c子树插入结点方法类似,也是采取左右双旋来实现平衡,结果如下图所示:

与c子树插入结点不同的是平衡因子的大小,c中插入结点由以上分析可知,parent、subLR的平衡因子为0,subL的平衡因子为-1。在b中插入结点,subL、subLR的平衡因子都为0,parent的平衡因子为1。
第3种情况:当a、b、c、d都为空树

这时左右双旋后parent、subL、subLR的平衡因子都为0。
代码实现:
左右双旋即先对根的左子树左单旋,左单旋函数前面已实现,可直接调用,即RotateL(parent->_left)
void RotateLR(Node* parent)
{
Node* subL = parent->_left;
Node* subLR = subL->_right;
int bf = subLR->_bf;
RotateL(parent->_left);
RotateR(parent);
if (bf == -1)
{
subLR->_bf = 0;
parent->_bf = 1;
subL->_bf = 0;
}
else if(bf == 1)
{
parent->_bf = 0;
subL->_bf = -1;
subLR->_bf = 0;
}
else if (bf == 0)
{
parent->_bf = subL->_bf = subLR->_bf = 0;
}
else
{
assert(false);
}
}
左单旋完成后,再对根右单旋,右单旋函数前面已实现,可直接调用,即RotateR(parent),左右双旋完成后,对平衡因子进行更新,可通过subLR的平衡因子大小来讨论左右双旋的3种情况,当bf==-1,即在b子树中插入,则subLR、subL的平衡因子为0,parent的平衡因子为1,当bf==1,即在c子树中插入,则subLR、parent的平衡因子为0,subL的平衡因子为-1,当bf==0,即第3种情况,则parent、subL、subLR的平衡因子都为0,除以上3种情况之外,其他情况均为异常,断言报错,assert(false)。
<5> 右左双旋

与左右双旋类似,在b子树中插入结点后,导致以parent为根的树不平衡,右子树偏高,平衡因子为2,以subR为根的子树左边高,平衡因子为-1,这种情况下采取右左双旋来实现树的平衡,以13为根的子树先进行右单旋,接着以9为根的树进行左单旋,结果如下所示:

右左双旋后,9变为11的左子树,13变为11的右子树,11为整棵树新的根,parent、subRL的平衡因子为0,subR的平衡因子为1,可知旋转后树已恢复平衡,符合搜索树的规则,且高度降低为插入之前的h+2,如果插入之前9为某个局部子树的根,则右左双旋后也不会再影响上一层,插入结束。这是在b子树插入结点的情况,若在c子树中插入,与b类似,也是通过右左双旋来实现平衡,结果如下图所示:

c中插入结点与b中插入结点结果也是平衡因子的不同,可知c中插入结点,subR、subRL的平衡因子为0,parent的平衡因子为-1。
第3种情况:当a/b/c/d均为空树时:

这时右左双旋后,parent、subR、subRL的平衡因子都为0。
代码实现:
右左双旋步骤:先对parent的右子树进行右单旋,右单旋函数前面已实现,直接调用即可,即
void RotateRL(Node* parent)
{
Node* subR = parent->_right;
Node* subRL = subR->_left;
int bf = subRL->_bf;
RotateR(parent->_right);
RotateL(parent);
if (bf == -1)
{
parent->_bf = 0;
subRL->_bf = 0;
subR->_bf = 1;
}
else if (bf == 1)
{
subRL->_bf = 0;
parent->_bf = -1;
subR->_bf = 0;
}
else if (bf == 0)
{
parent->_bf = subR->_bf = subRL->_bf = 0;
}
else
{
assert(false);
}
}
RotateR(parent->_right),再对以parent为根的树进行左单旋,左单旋函数前面已实现,即RotateL(parent),这样就完成了右左双旋,最后进行平衡因子的更新,以subRL的平衡因子为标准对3种情况进行判断,若bf==-1,则是在b中插入结点,则subRL、parent的平衡因子为0,subR的平衡因子为1,若bf==1,则是在c中插入结点,则subRL、subR的平衡因子为0,parent的平衡因子为-1,若bf==0,则对应a/b/c/d均为空树,则parent、subR、subRL的平衡因子为0,其他情况则为异常,需断言报错,即assert(false)。
(4)插入完整实现
bool insert(const pair<K, V>& kv)
{
if (_root == nullptr)
{
_root = new Node(kv);
return true;
}
Node* parent = nullptr;
Node* cur = _root;
while (cur)
{
if (cur->_kv.first < kv.first)
{
parent = cur;
cur = cur->_right;
}
else if (cur->_kv.first > kv.first)
{
parent = cur;
cur = cur->_left;
}
else
{
return false;
}
}
cur = new Node(kv);
if (parent->_kv.first < kv.first)
{
parent->_right = cur;
}
else
{
parent->_left = cur;
}
cur->_parent = parent;
while (parent)
{
if (parent->_left == cur)
{
parent->_bf--;
}
else
{
parent->_bf++;
}
if (parent->_bf == 0)
{
break;
}
else if (parent->_bf == 1 || parent->_bf == -1)
{
cur = parent;
parent = parent->_parent;
}
else if (parent->_bf == 2 || parent->_bf == -2)
{
if (parent->_bf == -2 && cur->_bf == -1)
{
RotateR(parent);
}
else if (parent->_bf==2 && cur->_bf==1)
{
RotateL(parent);
}
else if (parent->_bf == -2 && cur->_bf == 1)
{
RotateLR(parent);
}
else if (parent->_bf == 2 && cur->_bf == -1)
{
RotateRL(parent);
}
else
{
assert(false);
}
break;
}
else
{
assert(false);
}
}
return true;
}
实现AVL树旋转的4种场景后,就可以完整实现AVL树的插入了,当parent->_bf==-2 && cur->_bf==-1时,说明parent和cur都为左子树偏高,采取右单旋,即RotateR(parent),当parent->_bf==2 && cur->_bf==1时,说明parent和cur都为右子树偏高,采取左单旋,即RotateL(parent),当parent->_bf==-2 && cur->_bf==1时,说明parent左子树偏高不平衡,cur右子树高,采取左右双旋,即RotateLR(parent),当parent->_bf==2 && cur->_bf==-1时,说明parent右子树偏高不平衡,cur左子树高,采取右左双旋,即RotateRL(parent),除以上情况,其他情况均为异常,断言报错,即assert(false)。
9、测试
(1) 结构测试
#include"AVLtree.h"
void TestAVLtree1()
{
int arr[] = {16,3,7,11,9,26,18,14,15};
AVLtree<int, int> t;
for (auto e : arr)
{
t.insert({ e,e });
}
t.Inorder();
cout << t.IsAVLtree() << endl;
}
int main()
{
TestAVLtree1();
return 0;
}
AVLtree<int,int> t,通过范围for将arr数据逐个插入,即t.insert({e,e}),t.Inorder(),进行中序遍历,则结果应为升序,通过t.IsAVLtree()判断是否为AVL树,结果如下:

数据为升序,且该树为AVL树,结果正确,测试通过。
(2) 性能测试
void TestAVLtree2()
{
const int N = 100000;
vector<int> v1;
v1.reserve(N);
srand(time(0));
for (size_t i = 0;i < N;i++)
{
v1.push_back(rand() + i);
}
size_t begin2 = clock();
AVLtree<int, int> t;
for (auto e : v1)
{
t.insert(make_pair(e,e));
}
size_t end2 = clock();
cout << "insert:"<<end2 - begin2 << endl;
cout << t.IsAVLtree() << endl;
cout << "height:" << t.Height() << endl;
cout << "size:" << t.size() << endl;
size_t begin1 = clock();
for (size_t i = 0;i < N;i++)
{
t.find((rand() + i));
}
size_t end1 = clock();
cout << "find:" << end1 - begin1 << endl;
}
对已实现的AVL树进行性能测试,检测其插入、查找性能,将一个容量为100000的vector容器数据插入到t中,srand(time(0)),v1.push_back(rand()+i),数据均为随机数,t.find((rand()+i)),用于AVL树数据的查找,end1-begin1、end2-begin2用于获取查找、插入完成的时间,结果如下:

由于随机数可能重复,且不支持相等数据的插入,总结点数为66556,AVL树的高度为19,插入只需0.1s,查找79ms,由此可见AVL树强大的数据处理能力了。
三、结语
AVL树在二叉搜索树的结构基础上进行了优化,控制了左右子树的平衡,左右子树的高度差不超过1,通过引入平衡因子,可以方便观察AVL树的结构与左右子树的平衡,每个结点都有一个平衡因子,平衡因子大小为右子树与左子树的高度差,AVL树的插入需更新平衡因子,对此在结点中引入了_parent指针用于平衡因子的更新,当平衡因子更新为0时,不再往上更新,插入结束,平衡因子为-1或1时,需继续向上更新,平衡因子为-2或2时,说明该子树已经不平衡了,需要进行旋转,旋转分为左单旋、右单旋、左右双旋、右左双旋4种情况,旋转使树结构平衡的同时,本质也降低了树的高度,旋转后不会再影响上一层的结点,旋转完成后,插入就结束了,AVL树平衡的实现并不是静态的,而是每次插入后进行动态调整实现的,AVL树正是凭借其独特的平衡结构和动态调整能力,保证了最坏情况下O(logN)的查找、插入,AVL树结构的实现,正是平衡智慧的完美诠释!

352

被折叠的 条评论
为什么被折叠?



