十二、列表1
1、创建列表及基本运算
1)使用中括号,将所有准备放入列表中的元素,包裹起来,不同元素之间使用逗号分隔。
举例:
[1,2,3,4,5]
2)列表可以容纳不同类型的数据。
举例:
[1,2,3,4,5,"上山打老虎"]
3)给列表添加变量名。
举例:
rhyme = [1,2,3,4,5,"上山打老虎"]
print(rhyme)
[1,2,3,4,5,'上山打老虎']
4)序列在Python中是最常见的数据结构,字符串和列表都是序列,按顺序访问列表上的每一个元素。
rhyme = [1,2,3,4,5,"上山打老虎"]
for each in rhyme:
print(each)
1
2
3
4
5
上山打老虎
5)单独访问列表中的某一个元素,可以使用下标索引的方法。
rhyme = [1,2,3,4,5,"上山打老虎"]
rhyme[0]
1
rhyme[2]
3
rhyme[5]
'上山打老虎'
6)如果列表很长,如何访问最后一个元素。
length = len (rhyme)
rhyme[length -1]
'上山打老虎'
rhyme[-1]
'上山打老虎'
2、列表切片
1)输入需要获取的元素的范围。
rhyme[0:3]
[1, 2, 3]
2)简写元素范围
rhyme[:3]
[1, 2, 3]
rhyme[3:]
[4, 5, '上山打老虎']
rhyme[:]
[1, 2, 3, 4, 5, '上山打老虎']
3)跳着显示元素,第二个冒号后是设置列表步进的跨度值。
rhyme[0:6:2]
[1, 3, 5]
rhyme[::2]
[1, 3, 5]
4)倒序输出
rhyme[::-2]
['上山打老虎', 4, 2]
rhyme[::-1]
['上山打老虎', 5, 4, 3, 2, 1]
3、列表——增
1)append(),在列表的末尾添加一个指定的元素。
heros = ["钢铁侠","绿巨人"]
heros.append("黑寡妇")
heros
['钢铁侠', '绿巨人', '黑寡妇']
2)extend(),允许直接添加一个可迭代的对象。比如列表就是一个可迭代的对象。
注意:extend()方法的参数必须是一个可迭代的对象,新的内容是追加到原列表最后一个元素的后面。
heros = ["钢铁侠","绿巨人"]
heros.extend(["鹰眼","灭霸","雷神"])
heros
['钢铁侠', '绿巨人', '黑寡妇', '鹰眼', '灭霸', '雷神']
3)使用切片实现增加功能
s = [1,2,3,4,5]
s[len(s):]=[6]
s
[1, 2, 3, 4, 5, 6]
s[len(s):]=[7,8,9]
s
[1, 2, 3, 4, 5, 6, 7, 8, 9]
4)在列表的任意位置添加数据——insert(),第一个参数是插入的位置,第二个参数是插入的元素。
s=[1,3,4,5]
s.insert(1,2)
s
[1, 2, 3, 4, 5]
列表开头插入
s.insert(0,0)
s
[0, 1, 2, 3, 4, 5]
列表末尾插入
s.insert(len(s),6)
s
[0, 1, 2, 3, 4, 5, 6]
4、列表——删
1)将指定的元素删除,remove方法
注意:如果列表中存在多个匹配的元素,name它只会删除第一个。
如果指定的元素不存在,那么程序就会报错。
heros.remove("灭霸")
heros
['钢铁侠', '绿巨人', '黑寡妇', '鹰眼', '雷神']
2)删除某个位置上的元素,pop方法,它的参数就是元素的下标索引值
heros.pop(2)
'黑寡妇'
heros
['钢铁侠', '绿巨人', '鹰眼', '雷神']
3)清空列表,clear
heros.clear()
heros
[]
5、列表——改
列表和字符串最大的区别就是,列表是可变的,而字符串是不可变的。
替换列表中的元素和访问列表类似,都是使用下标索引的方法。用赋值运算符就可以将新的值给替换进去了。
1)单个元素的替换
heros = ["蜘蛛侠","绿巨人","黑寡妇","鹰眼","灭霸","雷神"]
heros[4]="钢铁侠"
heros
['蜘蛛侠', '绿巨人', '黑寡妇', '鹰眼', '钢铁侠', '雷神']
2)多个元素的替换——切片
A.将赋值号(=)左边指定的内容删除
B.将包含在赋值号(=)右边的可迭代对象中的片段插入左边被删除的位置
heros[3:]=["武松","林冲","李逵"]
heros
['蜘蛛侠', '绿巨人', '黑寡妇', '武松', '林冲', '李逵']
3)如果列表中都是数字,对列表中的元素从小到大排序,sort()方法
s.sort(key=None,reverse=False),对列表中的元素进行原地排序(key参数用于指定一个用于比较的函数;reverse参数用于指定排序结果是否反转)
nums = [3,1,9,6,8,3,5,3]
nums.sort()
nums
[1, 3, 3, 3, 5, 6, 8, 9]
4)从大到小排序,revers(),原地反转列表中的元素
nums.reverse()
nums
[9, 8, 6, 5, 3, 3, 3, 1]
nums = [3,1,9,6,8,3,5,3]
nums.sort(reverse=True)
nums
[9, 8, 6, 5, 3, 3, 3, 1]
6、列表——查
1)查看列表中有多少个某元素,count方法
nums.count(3)
3
2)查找某个元素的索引值,index()
Index(x,start,end),可以指定查找的开始和结束位置。
heros.index("绿巨人")
1
3)可以与替换结合使用,如果不知道某个元素的索引值,想替换该元素时。
heros[heros.index("绿巨人")]="神奇女侠"
heros
['蜘蛛侠', '神奇女侠', '黑寡妇', '武松', '林冲', '李逵']
4)浅拷贝1:拷贝列表,copy()
nums = [3,1,9,6,8,3,5,3]
nums_copy1 = nums.copy()
nums_copy1
[3, 1, 9, 6, 8, 3, 5, 3]
5)浅拷贝2:使用切片来实现拷贝
nums_copy2 = nums[:]
nums_copy2
[3, 1, 9, 6, 8, 3, 5, 3]
7、列表的运算
1)列表加法——拼接
s = [1,2,3]
t = [4,5,6]
s+t
[1, 2, 3, 4, 5, 6]
2)列表乘法——重复列表内部的所有元素若干次
s * 3
[1, 2, 3, 1, 2, 3, 1, 2, 3]
8、嵌套列表——二维列表
二维列表的直接应用就是举证。
matrix = [[1,2,3],[4,5,6],[7,8,9]]
matrix
[[1, 2, 3], [4, 5, 6], [7, 8, 9]]
matrix = [[1,2,3],
[4,5,6],
[7,8,9]]
matrix
[[1, 2, 3], [4, 5, 6], [7, 8, 9]]
9、访问嵌套列表
1)访问嵌套列表中的元素,可以使用循环来实现,迭代一个列表使用一层循环,迭代嵌套列表我们相应的使用嵌套循环。
for i in matrix:
for each in i:
print(each)
1
2
3
4
5
6
7
8
9
for i in matrix:
for each in i:
print(each,end=" ")
print()
1 2 3
4 5 6
7 8 9
2)通过下标访问嵌套列表
matrix[0]
[1, 2, 3]
matrix[0][0]
1
3)通过循环语句来创建并初始化二维列表
A = [0] * 3
A
[0, 0, 0]
for i in range(3):
A[i] = [0] * 3
A
[[0, 0, 0], [0, 0, 0], [0, 0, 0]]
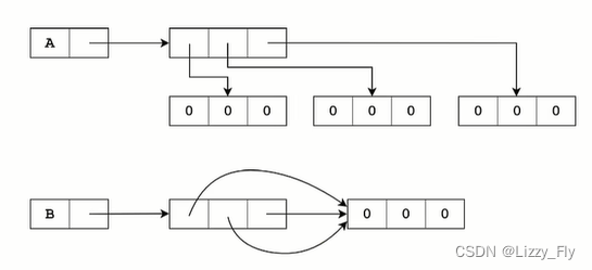
需要注意有个错误写法
B = [[0] * 3] * 3
B
[[0, 0, 0], [0, 0, 0], [0, 0, 0]]
因为当我们要修改其中某个元素的时候,则会发现不同
A [1][1] = 1
A
[[0, 0, 0], [0, 1, 0], [0, 0, 0]]
B [1][1] = 1
B
[[0, 1, 0], [0, 1, 0], [0, 1, 0]]
3)同一性运算符——is
is用于检验两个变量是否指向同一个对象的一个运算符,Python对于不同对象的存储机制是不一样的,字符串是不可变的,但列表是可变的,Python无法确定用户会何时向列表中添加或删除元素。
x = "Love"
y = "Love"
x is y
True
x=[1,2,3]
y=[1,2,3]
x is y
False
刚才的错误写法的校验和追根溯源
A[0] is A[1]
False
B[0] is B[1]
True
AB在Python中的内存布局如下:
B试图通过乘号对一个嵌套列表进行拷贝,但它拷贝的只是对同一个列表的引用。

3429

被折叠的 条评论
为什么被折叠?



