集合是Java开发日常开发中经常会使用到的,而作为一种典型的K-V结构的数据结构,HashMap对于Java开发者一定不陌生。
在日常开发中,我们经常会像如下方式以下创建一个HashMap:
Map<String, String> map = new HashMap<String, String>();
但是,大家有没有想过,上面的代码中,我们并没有给HashMap指定容量,那么,这时候一个新创建的HashMap的默认容量是多少呢?为什么呢?本文就来分析下这个问题。
什么是容量
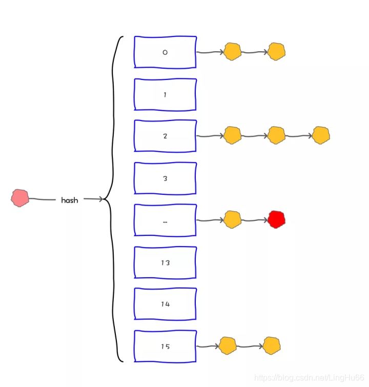
在Java中,保存数据有两种比较简单的数据结构:数组和链表。数组的特点是:寻址容易,插入和删除困难;而链表的特点是:寻址困难,插入和删除容易。HashMap就是将数组和链表组合在一起,发挥了两者的优势,我们可以将其理解为链表的数组。
在HashMap中,有两个比较容易混淆的关键字段:size和capacity ,这其中capacity就是Map的容量,而size我们称之为Map中的元素个数。
简单打个比方你就更容易理解了:HashMap就是一个“桶”,那么容量(capacity)就是这个桶当前最多可以装多少元素,而元素个数(size)表示这个桶已经装了多少元素。
如以下代码:
Map<String, String> map = new HashMap<String, String>();
map.put("hollis", "hollischuang");
Class<?> mapType = map.getClass();
Method capacity = mapType.getDeclaredMethod("capacity");
capacity.setAccessible(true);
System.out.println("capacity : " + capacity.invoke(map));
Field size = mapType.getDeclaredField("size");
size.setAccessible(true);
System.out.println("size : " + size.get(map));
输出结果:
capacity : 16、size : 1
上面我们定义了一个新的HashMap,并向其中put了一个元素,然后通过反射的方式打印capacity和size,其容量是16,已经存放的元素个数是1。
通过前面的例子,我们发现了,当我们创建一个HashMap的时候,如果没有指定其容量,那么会得到一个默认容量为16的Map,那么,这个容量是怎么来的呢?又为什么是这个数字呢?
容量与哈希
要想讲清楚这个默认容量的缘由,我们要首先要知道这个容量有什么用?
我们知道,容量就是一个HashMap中"桶"的个数,那么,当我们想要往一个HashMap中put一个元素的时候,需要通过一定的算法计算出应该把他放到哪个桶中,这个过程就叫做哈希(hash),对应的就是HashMap中的hash方法。
我们知道,hash方法的功能是根据Key来定位这个K-V在链表数组中的位置的。也就是hash方法的输入应该是个Object类型的Key,输出应该是个int类型的数组下标。如果让你设计这个方法,你会怎么做?
其实简单,我们只要调用Object对象的hashCode()方法,该方法会返回一个整数,然后用这个数对HashMap的容量进行取模就行了。
如果真的是这么简单的话,那HashMap的容量设置就会简单很多了,但是考虑到效率等问题,HashMap的hash方法实现还是有一定的复杂的。
hash的实现
接下来就介绍下HashMap中hash方法的实现原理。(下面部分内容参考自我的文章:全网把Map中的hash()分析的最透彻的文章,别无二家。PS:网上的关于HashMap的hash方法的分析的文章,很多都是在我这篇文章的基础上"衍生"过来的。)
具体实现上,由两个方法int hash(Object k)和int indexFor(int h, int length)来实现。
hash :该方法主要是将Object转换成一个整型。 indexFor :该方法主要是将hash生成的整型转换成链表数组中的下标。
为了聚焦本文的重点,我们只来看一下indexFor方法。我们先来看下Java 7(Java8中虽然没有这样一个单独的方法,但是查询下标的算法也是和Java 7一样的)中该实现细节:
static int indexFor(int h, int length) {
return h & (length-1);
}
indexFor方法其实主要是将hashcode换成链表数组中的下标。其中的两个参数h表示元素的hashcode值,length表示HashMap的容量。那么return h & (length-1) 是什么意思呢?
其实,他就是取模。Java之所有使用位运算(&)来代替取模运算(%),最主要的考虑就是效率。
位运算(&)效率要比代替取模运算(%)高很多,主要原因是位运算直接对内存数据进行操作,不需要转成十进制,因此处理速度非常快。
那么,为什么可以使用位运算(&)来实现取模运算(%)呢?这实现的原理如下:
X % 2^n = X & (2^n – 1)
假设n为3,则2^3 = 8,表示成2进制就是1000。2^3 -1 = 7 ,即0111。
此时X & (2^3 – 1) 就相当于取X的2进制的最后三位数。
从2进制角度来看,X / 8相当于 X >> 3,即把X右移3位,此时得到了X / 8的商,而被移掉的部分(后三位),则是X % 8,也就是余数。
上面的解释不知道你有没有看懂,没看懂的话其实也没关系,你只需要记住这个技巧就可以了。或者你可以找几个例子试一下。
6 % 8 = 6 ,6 & 7 = 6
10 & 8 = 2 ,10 & 7 = 2
运算过程如下如:
所以,return h & (length-1);只要保证length的长度是2^n 的话,就可以实现取模运算了。
所以,因为位运算直接对内存数据进行操作,不需要转成十进制,所以位运算要比取模运算的效率更高,所以HashMap在计算元素要存放在数组中的index的时候,使用位运算代替了取模运算。之所以可以做等价代替,前提是要求HashMap的容量一定要是2^n。
那么,既然是2^n ,为啥一定要是16呢?为什么不能是4、8或者32呢?
关于这个默认容量的选择,JDK并没有给出官方解释,笔者也没有在网上找到关于这个任何有价值的资料。(如果哪位有相关的权威资料或者想法,可以留言交流)
根据作者的推断,这应该就是个经验值(Experience Value),既然一定要设置一个默认的2^n 作为初始值,那么就需要在效率和内存使用上做一个权衡。这个值既不能太小,也不能太大。
太小了就有可能频繁发生扩容,影响效率。太大了又浪费空间,不划算。
所以,16就作为一个经验值被采用了。
在JDK 8中,关于默认容量的定义为:static final int DEFAULT_INITIAL_CAPACITY = 1 << 4;
// aka 16 ,其故意把16写成1<<4,就是提醒开发者,这个地方要是2的幂。值得玩味的是:注释中的aka 16也是1.8中新增的,
那么,接下来我们再来谈谈,HashMap是如何保证其容量一定可以是2^n 的呢?如果用户自己设置了的话又会怎么样呢?
关于这部分,HashMap在两个可能改变其容量的地方都做了兼容处理,分别是指定容量初始化时以及扩容时。
指定容量初始化
当我们通过HashMap(int initialCapacity)设置初始容量的时候,HashMap并不一定会直接采用我们传入的数值,而是经过计算,得到一个新值,目的是提高hash的效率。(1->1、3->4、7->8、9->16)
在JDK 1.7和JDK 1.8中,HashMap初始化这个容量的时机不同。JDK
1.8中,在调用HashMap的构造函数定义HashMap的时候,就会进行容量的设定。而在JDK 1.7中,要等到第一次put操作时才进行这一操作。
看一下JDK是如何找到比传入的指定值大的第一个2的幂的:
int n = cap - 1;
n |= n >>> 1;
n |= n >>> 2;
n |= n >>> 4;
n |= n >>> 8;
n |= n >>> 16;
return (n < 0) ? 1 : (n >= MAXIMUM_CAPACITY) ? MAXIMUM_CAPACITY : n + 1;
上面的算法目的挺简单,就是:根据用户传入的容量值(代码中的cap),通过计算,得到第一个比他大的2的幂并返回。
请关注上面的几个例子中,蓝色字体部分的变化情况,或许你会发现些规律。5->8、9->16、19->32、37->64都是主要经过了两个阶段。
Step 1,5->7
Step 2,7->8
Step 1,9->15
Step 2,15->16
Step 1,19->31
Step 2,31->32
对应到以上代码中,Step1:
n |= n >>> 1;
n |= n >>> 2;
n |= n >>> 4;
n |= n >>> 8;
n |= n >>> 16;
对应到以上代码中,Step2:
return (n < 0) ? 1 : (n >= MAXIMUM_CAPACITY) ? MAXIMUM_CAPACITY : n + 1;
Step 2 比较简单,就是做一下极限值的判断,然后把Step 1得到的数值+1。
Step 1 怎么理解呢?其实是对一个二进制数依次向右移位,然后与原值取或。其目的对于一个数字的二进制,从第一个不为0的位开始,把后面的所有位都设置成1。
随便拿一个二进制数,套一遍上面的公式就发现其目的了:
1100 1100 1100 >>>1 = 0110 0110 0110
1100 1100 1100 | 0110 0110 0110 = 1110 1110 1110
1110 1110 1110 >>>2 = 0011 1011 1011
1110 1110 1110 | 0011 1011 1011 = 1111 1111 1111
1111 1111 1111 >>>4 = 1111 1111 1111
1111 1111 1111 | 1111 1111 1111 = 1111 1111 1111
通过几次无符号右移和按位或运算,我们把1100 1100 1100转换成了1111 1111 1111 ,再把1111 1111 1111加1,就得到了1 0000 0000 0000,这就是大于1100 1100 1100的第一个2的幂。
好了,我们现在解释清楚了Step 1和Step 2的代码。就是可以把一个数转化成第一个比他自身大的2的幂。
但是还有一种特殊情况套用以上公式不行,这些数字就是2的幂自身。如果数字4套用公式的话。得到的会是 8,不过其实这个问题也被解决了,具体验证办法及JDK的解决方案见全网把Map中的hash()分析的最透彻的文章,别无二家。这里就不再展开了。
总之,HashMap根据用户传入的初始化容量,利用无符号右移和按位或运算等方式计算出第一个大于该数的2的幂。
扩容
除了初始化的时候会指定HashMap的容量,在进行扩容的时候,其容量也可能会改变。
HashMap有扩容机制,就是当达到扩容条件时会进行扩容。HashMap的扩容条件就是当HashMap中的元素个数(size)超过临界值(threshold)时就会自动扩容。
在HashMap中,threshold = loadFactor * capacity。
loadFactor是装载因子,表示HashMap满的程度,默认值为0.75f,设置成0.75有一个好处,那就是0.75正好是3/4,而capacity又是2的幂。所以,两个数的乘积都是整数。
对于一个默认的HashMap来说,默认情况下,当其size大于12(16*0.75)时就会触发扩容。
下面是HashMap中的扩容方法(resize)中的一段:
if ((newCap = oldCap << 1) < MAXIMUM_CAPACITY &&
oldCap >= DEFAULT_INITIAL_CAPACITY)
newThr = oldThr << 1; // double threshold
}
从上面代码可以看出,扩容后的table大小变为原来的两倍,这一步执行之后,就会进行扩容后table的调整,这部分非本文重点,省略。
可见,当HashMap中的元素个数(size)超过临界值(threshold)时就会自动扩容,扩容成原容量的2倍,即从16扩容到32、64、128 …
所以,通过保证初始化容量均为2的幂,并且扩容时也是扩容到之前容量的2倍,所以,保证了HashMap的容量永远都是2的幂。
总结
HashMap作为一种数据结构,元素在put的过程中需要进行hash运算,目的是计算出该元素存放在hashMap中的具体位置。
hash运算的过程其实就是对目标元素的Key进行hashcode,再对Map的容量进行取模,而JDK 的工程师为了提升取模的效率,使用位运算代替了取模运算,这就要求Map的容量一定得是2的幂。
而作为默认容量,太大和太小都不合适,所以16就作为一个比较合适的经验值被采用了。
为了保证任何情况下Map的容量都是2的幂,HashMap在两个地方都做了限制。
首先是,如果用户制定了初始容量,那么HashMap会计算出比该数大的第一个2的幂作为初始容量。
另外,在扩容的时候,也是进行成倍的扩容,即4变成8,8变成16。
本文,通过分析为什么HashMap的默认容量是16,我们深入HashMap的原理,分析了下背后的原理,从代码中我们可以发现,JDK 的工程师把各种位运算运用到了极致,想尽各种办法优化效率。值得我们学习!

探讨Java中HashMap默认容量为何设为16,分析HashMap的工作原理、容量与哈希的关系,以及如何确保容量始终为2的幂。

被折叠的 条评论
为什么被折叠?



