我最喜欢的一张激励海报上印着吉萨金字塔,标题处写着「Achievement」;它底下的解释有些讽刺,但非常有说服力:
当你有远见、决心和无穷无尽的可消耗劳动力供应时,你可以做任何你想做的事情。

不幸的是,于我们而言——作为产品经理的我们——我们或许有远见和决心,但却很可能缺乏无穷无尽的可消耗的劳动力(和时间)。这就是为什么我们要对团队的工作进行优先级排序。我们必须确定哪些成果唾手可得:相较预期的成果而言,这些工作可以轻而易举、不费吹灰之力地完成。
几年前,我编译了这个优先级排序框架的早期版本,并将它投入Voice123,Bunny Studio和Torre等多家公司的团队进行测试。经过多年的调整、改进和验证,我想公开分享它——Prioridad。

一、需求、事务和缺陷,如何确定三者的优先次序?
产品经理和研发团队通常会处理三种类型的工作:需求、事务和缺陷。
缺陷(Bug) 是与规格相比,会导致意外行为的产品漏洞,通常由开发团队产生;而事务是产品设计中导致用户体验不佳的缺陷,通常由产品经理或产品设计师产生。
首先,我们需要一个用于确定需求、事务和缺陷三者优先次序的方法——这很大程度上取决于业务性质、产品所处的阶段(跑通PMF前/后)和团队规模。两种常见的方法分别是基于产品卓越性,或基于时间分配确定优先级。
01 基于产品卓越性排序
这种排序基于一个前提:拥有一个(近乎)完美无缺的产品,至关重要。对于「产品即业务」的公司而言,这很常见,比如SaaS产品和视频游戏。基于产品卓越性的工作优先级也很容易确定:
-
总是先修复缺陷
-
然后处理事务
-
最后再开发新需求
它对产品经理和研发成员都适用;但是,对尚未跑通PMF的产品不太适用:默认情况下,此时产研团队应该专注于实现达到市场需要的新需求,而事务和缺陷往往只在需求完成后才解决。
02 基于时间分配排序
这种排序方法的前提是,即使产品存在一些缺陷,持续推出新的产品功能依旧是必不可少的。它适用于「产品是业务推动者,而非业务本身」的公司,例如Steam V.S. 羊了个羊——前者属于服务型产品,后者属于流量型产品。
对于这种情况,可以尝试在三种工作之间平均分配精力,将产品团队和研发团队的可用时间划分为三周的循环:

在某些情况下,比如实现复杂功能或偿还大量技术债务时,这样的循环是行不通的。需要注意,尽管开发团队可以在解决事务和实现新需求时修补技术债,但仍需要时常为它分配特定的解决时间。
无论你采用哪种方式,每组任务、需求、事务和缺陷都有自己的优先级排序逻辑。
二、如何确定需求/事务的优先次序?
确定多个需求/事务的优先级,可以结合优先级系数辅助完成。优先级系数的计算公式如下:

核心****KPI (Core KPI ) 反映的是产品的核心交互。 于Bunny Studio而言,核心KPI是完成的项目数量;对Voice123来说,核心KPI则是提交的项目和提交的信息。
核心效果指标(Effect in core KPI ) 指新需求/功能或事务发布后,核心KPI的预期增量,可以用一段时间内核心KPI的绝对数量、与之相关的收入增长或各自的百分比来估计。下面是一些参考指标:
-
50, 000 次授权/年
-
300 万项目收入/月
-
提升 20% 的功能使用率
-
线上收入占比提升 20%
此外,核心效果指标也可以是一个结合多个因素计算得出的指标。 因子是否相乘或相加取决于它们是否相互复合。如果需要相加,那么所有因子在相加前,都需要遵循统一的数据基准进行标准化,比如使用 1 到 10 的评分体系。
举个例子,Torre的大多数团队会为每个新需求,分析下面这些复合因素:
-
与用户用途的相关性:使用 0-10 的衡量等级,0 代表「没有解决用户需求」,10 代表「总能解决用户需求」。
-
用户粘性:每周潜在的互动数量。
-
新功能的总可寻市场:以可能使用新功能的人数为计量单位。
-
Wow因子:用 1-10 的评分衡量,1 分代表「不怎么样」,10 分代表「和我第一次看到iPhone一样令人印象深刻」。
-
转化率提升:指增加的访客成为注册用户的可能性,测量范围可以从 0 到 100% 或更多。
-
价值感知速度:以 1/d 为单位,其中d是新用户在注册后感知价值所需的天数。
-
病毒式传播:一个普通用户在使用Torre的前 30 天内会给Torre带来多少新用户。
-
病毒传播速度:以 1/d 为单位,其中d是新用户发送第一个邀请给其他人可能需要的天数。
-
公关 潜力:以 1-10 的评分衡量,1 分代表「没啥可吹的」,10 表示「媲美首次登月」。
这些因素适用于Torre大多数团队,但并不适用于所有团队。例如,SEO团队就使用每月搜索量、竞争力、用户生成内容(UGC)等其他因素指标。
成功几率(Chance of success) 是一个 0%-100% 的估计值,用于捕捉交付的努力能够达成核心效果指标的可能性。这最开始会是一个大胆的预估,但通过后续的原型设计和分割A/B测试,可以降低其不确定性。
实现复杂度(Implementation complexity) 用于衡量实现新功能或事务所需的工作量。理想情况下,这个估计值会受到产品经理、产品设计师和技术主管意见的影响。这个值可以是工时,也可以是斐波那契数列。
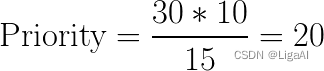
例如,预计能将核心KPI提高 30%、成功几率仅为 10%、需要耗费 15 个工时的工作,其优先级系数将如下所示:

无论为每个变量选择怎样的计量单位和度量标准,确定优先级顺序时,对所有新需求/事务应用相同的单位和参考标准是最重要的。

三、如何确定缺陷的优先次序?
确定缺陷修复的优先级时,一个最重要的判断因素是该缺陷是否阻碍了用户。 在本篇指南的语境中,用户无法继续完成预期的使用,就是被阻挡了。
-
最高级:妨碍大多数用户使用产品的缺陷
-
高级:妨碍少数用户使用的缺陷
-
中级:大多数用户遇到但不妨碍使用的缺陷
-
初级:少数用户遇到但不妨碍使用的缺陷
四、关于优先级排序的实用技巧
-
始终使用相同的公式进行优先级排序。 用相同的计算公式比较多项工作,优先级排序才能奏效。
-
在每项工作的标题上添加优先级值。 这将能让你更轻松地根据优先级系数,完成项目/产品管理面板的排序。
-
每项工作都要记录下计算方式、计算者以及结果日期。 这会帮助其他成员更好地理解你的预估值来源,并对估算结果提出质疑;还将帮你确定估算是否过时,以及是否需要更新。
-
培养直觉。 进行数百次数学运算后,你将会发展出无需手动计算,就能确定工作优先级的能力,并且结果仍然具有很高的准确性。
# Liga总结
Prioridad是一个经过多次实践和验证的框架,通过引入「优先级系数」概念,量化并确定新功能、产品设计缺陷(事务)和产品使用缺陷(Bug)的优先次序。
优先级系数通过综合新功能的预期效果、成功几率和工作量等指标,帮助敏捷团队更直观地掌握和分析研发工作的重要性。
原文作者:Alexander Torrenegra
文章出处:Medium
阅读更多「LigaAI」的趣味分享与敏捷实践,请关注 LigaAI@优快云,持续接收更多干货分享~ 进一步了解我们的产品,请访问 LigaAI -新一代智能研发协作平台

本文介绍了一种产品经理和研发团队使用的优先级排序框架 Prioridad,涉及缺陷、事务和需求的区分与排序策略,以及如何通过优先级系数量化决策。案例分析和实用技巧有助于提高敏捷团队的工作效率。
1547

被折叠的 条评论
为什么被折叠?



