环形链表
给定一个链表,判断链表中是否有环。
为了表示给定链表中的环,我们使用整数 pos 来表示链表尾连接到链表中的位置(索引从 0 开始)。 如果 pos 是 -1,则在该链表中没有环。
示例 1:
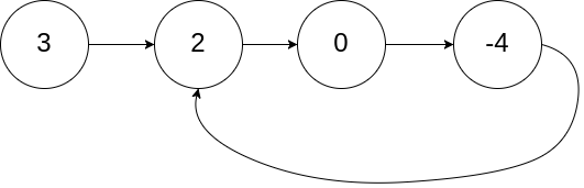
输入:head = [3,2,0,-4], pos = 1
输出:true
解释:链表中有一个环,其尾部连接到第二个节点。

示例 2:
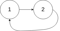
输入:head = [1,2], pos = 0
输出:true
解释:链表中有一个环,其尾部连接到第一个节点。

示例 3:
输入:head = [1], pos = -1
输出:false
解释:链表中没有环。

使用语言:C++
/**
* Definition for singly-linked list.
* struct ListNode {
* int val;
* ListNode *next;
* ListNode(int x) : val(x), next(NULL) {}
* };
*/
class Solution {
public:
bool hasCycle(ListNode *head) {
ListNode *fast = head;
ListNode *slow = head;
if(head==NULL) return false;
while(fast&&fast->next){
fast=fast->next->next;
slow=slow->next;
if(fast==slow) return true;
}
return false;
}
};

来源:力扣(LeetCode)
链接:https://leetcode-cn.com/problems/linked-list-cycle
著作权归领扣网络所有。商业转载请联系官方授权,非商业转载请注明出处。
392

被折叠的 条评论
为什么被折叠?



