1题目
给你一个链表的头节点 head 和一个整数 val ,请你删除链表中所有满足 Node.val == val 的节点,并返回 新的头节点 。
示例 1:
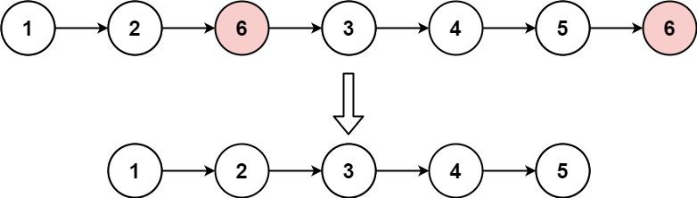
输入:head = [1,2,6,3,4,5,6], val = 6
输出:[1,2,3,4,5]
示例 2:
输入:head = [], val = 1
输出:[]
示例 3:
输入:head = [7,7,7,7], val = 7
输出:[]
提示:
列表中的节点数目在范围 [0, 104] 内
1 <= Node.val <= 50
0 <= val <= 50
2链接
题目链接:203. 移除链表元素 - 力扣(Leetcode)
视频链接:手把手带你学会操作链表 | LeetCode:203.移除链表元素_哔哩哔哩_bilibili
3思路
以链表 1 4 2 4 来举例,移除元素4
如果使用C,C++编程语言的话,不要忘了还要从内存中删除这两个移除的节点, 清理节点内存之后如图:
当然如果使用java ,python的话就不用手动管理内存了。
如果移除一个节点之后,没有手动在内存中删除这个节点,leetcode依然也是可以通过的,只不过,内存使用的空间大一些而已,但建议依然要养成手动清理内存的习惯。
这种情况下的移除操作,就是让节点next指针直接指向下下一个节点就可以了,
那么因为单链表的特殊性,只能指向下一个节点,刚刚删除的是链表的中第二个,和第四个节点,那么如果删除的是头结点又该怎么办呢?
这里就涉及如下链表操作的两种方式:
1.直接使用原来的链表来进行删除操作。
2.设置一个虚拟头结点在进行删除操作。
3.1方法1
第1种操作:直接使用原来的链表来进行移除。
移除头结点和移除其他节点的操作是不一样的,因为链表的其他节点都是通过前一个节点来移除当前节点,而头结点没有前一个节点。所以头结点如何移除呢,其实只要将头结点向后移动一位就可以,这样就从链表中移除了一个头结点。
依然别忘将原头结点从内存中删掉,可以通过临时指针的释放来删除。
这样移除了一个头结点,在单链表中移除头结点和移除其他节点的操作方式是不一样,其实在写代码的时候也会发现,需要单独写一段逻辑来处理移除头结点的情况。那么可不可以 以一种统一的逻辑来移除 链表的节点呢。
3.2 方法2
第2种操作:设置一个虚拟头结点在进行删除操作。
其实可以设置一个虚拟头结点,这样原链表的所有节点就都可以按照统一的方式进行移除了。
这里来给链表添加一个虚拟头结点为新的头结点,此时要移除这个旧头结点元素1。这样就可以使用和移除链表其他节点的方式进行统一。
最后在return 头结点的时候,别忘了 return dummyNode->next;, 这才是新的头结点,因为原来的头结点可能已经被删除掉了,再return head就不对了。
4代码
4.1方法1代码
/**
* Definition for singly-linked list.
* struct ListNode {
* int val;
* ListNode *next;
* ListNode() : val(0), next(nullptr) {}
* ListNode(int x) : val(x), next(nullptr) {}
* ListNode(int x, ListNode *next) : val(x), next(next) {}
* };
*/
class Solution {
public:
ListNode* removeElements(ListNode* head, int val) {
//如果头结点就是目标值,删除头结点;有可能连续删除好几个头结点所以while循环
while (head != nullptr && head->val == val) {
ListNode* temp = head;//temp临时指针要指向待删除节点
head = head->next;
delete temp;//删除完节点,通过临时指针进行节点空间释放
}
//删除非头结点
ListNode* cur = head;
while (cur != nullptr && cur->next != nullptr) {
if (cur->next->val == val) {
ListNode* temp = cur->next;
cur->next = cur->next->next;
delete temp;
}
else {
cur = cur->next;//cur后移,继续判断cur->next->val是否为目标值
}
}
return head;
}
};
删除头节点示意图:
删除中间节点示意图:
4.2方法2代码
class Solution {
public:
ListNode* removeElements(ListNode* head, int val) {
ListNode* dammyHead = new ListNode();//设置一个虚拟头节点
dammyHead->next = head;//将虚拟头节点指向head,建立链接,方便后面的删除操作
ListNode* cur = dammyHead;
//while循环的条件是执行到最后一个节点,之后就是空指针了
while (cur->next != nullptr) {
if (cur->next->val == val) {
ListNode* temp = cur->next;//临时结点要指向待删除节点,所以放在if中
cur->next = cur->next->next;
delete temp;
}
else cur = cur->next;//如果没找到,继续往下寻找,直到cur->next->val == val
}
return dammyHead->next;//注意返回的不是head,实际上head = dammyHead->next,有可能被更新了
delete dammyHead;//执行完毕程序,通过虚拟节点的指针删除虚拟节点
}
};
方法2示意图:
LeetCode203:删除链表中等于给定值的节点
该文章介绍了如何删除链表中所有值等于给定值的节点。提供了两种方法:直接使用原链表进行删除操作,需要特别处理头结点的情况;另一种是设置虚拟头结点,使删除操作统一。文章强调了C++等语言中需手动管理内存,而Java和Python则自动管理。并给出了两种方法的C++代码实现。
1547

被折叠的 条评论
为什么被折叠?



