给你一个链表,删除链表的倒数第 n 个结点,并且返回链表的头结点。
**进阶:**你能尝试使用一趟扫描实现吗?
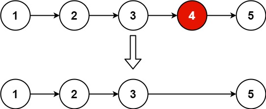
示例 1:

输入:head = [1,2,3,4,5], n = 2
输出:[1,2,3,5]
示例 2:
输入:head = [1], n = 1
输出:[]
示例 3:
输入:head = [1,2], n = 1
输出:[1]
思路1
- 删除链表的倒数第
n个结点,可以联想到 倒数第n个节点和链表结束的null节点是一个 “窗口”,知道这一点我们维护这个窗口就好了 - 因为涉及到了 修改链表,所以我们一般会设置一个 dumb node
- 维护快慢指针 slow fast
- 首先移动 fast n + 1 次 (为什么是n + 1 ,自己画图就明白了)
- 同时移动slow 和 fast,直到fast == null,此时slow节点即为要删除的节点的前置节点
- 常规删除就可以了
关键代码
public ListNode removeNthFromEnd(ListNode head, int n) {
// [d,1,2,3,4,5,null]
if (head == null || n <= 0) return head;
ListNode d = new ListNode(-1);
d.next = head;
ListNode slow = d;
ListNode fast = d;
while (n-- >= 0) { // n + 1
fast = fast.next;
}
while (fast != null) {
slow = slow.next;
fast = fast.next;
}
slow.next = slow.next.next;
return d.next;
}
思路2
- 还有一种做法是维护一个指针先遍历一遍链表,求出总长度len
- 然后根据n计算出被删除结点的前置节点s的位置
- 重置指针p,遍历到前置节点s的位置
- 常规删除
该方法遍历了链表2次,极端情况如果链表过长,n过大,代价挺大,不推荐
关键代码
public ListNode removeNthFromEnd(ListNode head, int n) {
// [d,1,2,3,4,5,null]
if (head == null || n <= 0) return head;
ListNode d = new ListNode(-1);
d.next = head;
ListNode p = d;
int len = 0;
while (p != null) {
len++;
p = p.next;
}
p = d;
int dis = len - n - 1;
for (int i = 0; i < dis; i++) {
p = p.next;
}
p.next = p.next.next;
return d.next;
}
本文探讨如何在单趟扫描中高效地删除链表的倒数第n个节点,提供了两种思路,包括维护快慢指针和预计算链表长度的方法。通过实例和关键代码展示了如何利用这些技巧优化链表操作。
412

被折叠的 条评论
为什么被折叠?



