文章目录
Redis键(key)
简介
Redis 键命令用于管理 redis 的键。
常用命令
keys *查看当前库所有key (匹配:keys *1)
exists key判断某个key是否存在
type key 查看你的key是什么类型
del key 删除指定的key数据
unlink key 根据value选择非阻塞删除,仅将keys从keyspace元数据中删除,真正的删除会在后续异步操作。
expire key 10 10秒钟:为给定的key设置过期时间
ttl key 查看还有多少秒过期,-1表示永不过期,-2表示已过期
select命令切换数据库
dbsize查看当前数据库的key的数量
flushdb清空当前库
flushall通杀全部库
字符串(string)
简介
string是Redis最基本的类型,可以理解成与Memcached一样的类型,一个key对应一个value。
string类型是二进制安全的,意味着Redis的string可以包含任何数据,比如JPG图片或者序列化的对象。
string类型是Redis最基本的数据类型,一个Redis中字符串value最多可以是512M。
常用命令
set <key><value>添加键值对
get <key>查询对应键值
append <key><value>将给定的 追加到原值的末尾
strlen <key>获得值的长度
setnx <key><value>只有在 key 不存在时 设置 key 的值
incr <key>
将 key 中储存的数字值增1
只能对数字值操作,如果为空,新增值为1
decr <key>
将 key 中储存的数字值减1
只能对数字值操作,如果为空,新增值为-1
incrby / decrby <key><步长>将 key 中储存的数字值增减。自定义步长。
数据结构
string的数据结构为简单动态字符串(Simple Dynamic String,缩写SDS),是可以修改的字符串,内部结构实现上类似于Java的ArrayList,采用预分配冗余空间的方式来减少内存的频繁分配。
列表(list)
简介
单键多值
Redis列表都是简单的字符串列表,按照插入顺序排序,你可以添加一个元素到列表的头部(左边)或者尾部(右边)。
它的底层实际是个双向链表,对两端的操作性能都很高,通过索引下标的操作中间的节点性能会较差。

常用命令
lpush/rpush <key><value1><value2><value3> .... 从左边/右边插入一个或多个值。
lpop/rpop <key>从左边/右边吐出一个值。值在键在,值光键亡。
rpoplpush <key1><key2>从列表右边吐出一个值,插到列表左边。
lrange <key><start><stop>
按照索引下标获得元素(从左到右)
lrange mylist 0 -1 0左边第一个,-1右边第一个,(0-1表示获取所有)
lindex <key><index>按照索引下标获得元素(从左到右)
llen <key>获得列表长度
linsert <key> before <value><newvalue>在的后面插入插入值
lrem <key><n><value>从左边删除n个value(从左到右)
lset<key><index><value>将列表key下标为index的值替换成value
数据结构
list的数据结构为快速链表quicklist。
首先在列表元素较少的情况下会使用一块连续的内存存储,这个结构是ziplist,也就是压缩列表。它将所有的元素紧挨着一起存储,分配的是一块连续的内存。当数据量比较多的时候才会改成quicklist。
因为普通的链表需要的附加指针空间太大,会比较浪费空间。比如这个列表里存的只是int类型的数据,结构上还需要两个额外的指针prev和next。

Redis将链表和ziplist结合起来组成了quicklist。也就是将多个ziplist使用双向指针串起来使用。这样既满足了快速的插入删除性能,又不会出现太大的空间冗余。
集合(set)
简介
Redis set对外提供的功能与list类型是一个列表的功能,特殊之处在于set是可以自动排重的,当你需要存储一个列表数据,又不希望出现重复数据时,set是一个很好的选择,并且set提供了判断某个成员是否在一个set结合内的重要接口,这个也是list不能提供的。
set是string类型的无序集合,它的底层其实是一个value为null的hash表,所以添加、删除、查找的复杂度都是o(1)。
一个算法,随着数据的增加,执行时间的长短,如果是o(1),数据增加,查找数据的时间不变。
常用命令
sadd <key><value1><value2> .....
将一个或多个 member 元素加入到集合 key 中,已经存在的 member 元素将被忽略
smembers <key>取出该集合的所有值。
sismember <key><value>判断集合是否为含有该值,有1,没有0
scard<key>返回该集合的元素个数。
srem <key><value1><value2> .... 删除集合中的某个元素。
spop <key>随机从该集合中吐出一个值。
srandmember <key><n>随机从该集合中取出n个值。不会从集合中删除 。
smove <source><destination>value把集合中一个值从一个集合移动到另一个集合
sinter <key1><key2>返回两个集合的交集元素。
sunion <key1><key2>返回两个集合的并集元素。
sdiff <key1><key2>返回两个集合的差集元素(key1中的,不包含key2中的)
数据结构
set数据结构是dict字典,字典是用哈希表实现的。
Java中hashset的内部实现使用的是hashMap,只不过所有的value都指向同一个对象,Redis的set结构也是一样,它的内部也使用hash结构,所有的value都指向同一个内部值。
哈希(hash)
简介
Redis hash是一个键值对结合。
hash是一个string类型的field和value的映射表,hash特别适合用于存储对相关,类似Java里面的Map<String,Object>
用户Id为查找的key,存储的value用户对象包含姓名、年龄、生日等信息,如果用普通的key/value结构来存储,
主要有以下两种存储方式:

每次修改用户的某个属性需要:先反序列化改好后再序列化回去,开销较大。

用户Id数据冗余
优化方法:

通过 key(用户ID) + field(属性标签) 就可以操作对应属性数据了,既不需要重复存储数据,也不会带来序列化和并发修改控制的问题
常用命令
hset <key><field><value>给集合中的 键赋值
hget <key1><field>从集合取出 value
hmset <key1><field1><value1><field2><value2>... 批量设置hash的值
hexists<key1><field>查看哈希表 key 中,给定域 field 是否存在。
hkeys <key>列出该hash集合的所有field
hvals <key>列出该hash集合的所有value
hincrby <key><field><increment>为哈希表 key 中的域 field 的值加上增量 1 -1
hsetnx <key><field><value>将哈希表 key 中的域 field 的值设置为 value ,当且仅当域 field 不存在 .
数据结构
Hash类型对应的数据结构是两种:ziplist(压缩列表),hashtable(哈希表)。当field-value长度较短且个数较少时,使用ziplist,否则使用hashtable。
有序集合(zset)
简介
Redis有序集合zset与普通集合set非常相似,是一个没有重复元素的字符串集合。不同之处是有序集合的每个成员都关联了一个评分(score),这个评分(score)被用来按照从最低分到最高分的方式排序集合中的成员。集合的成员是唯一的,但是评分可以重复了。
因为元素是有序的,所以你也可以很快的根据评分(score)或者次序(position)来获取一个范围的元素。
访问有序结合的中间元素也是非常快的,因此你能够使用有序集合作为一个没有重复成员的智能列表。
常用命令
zadd <key><score1><value1><score2><value2>…
将一个或多个 member 元素及其 score 值加入到有序集 key 当中。
zrange <key><start><stop> [WITHSCORES]
返回有序集 key 中,下标在
带WITHSCORES,可以让分数一起和值返回到结果集。
zrangebyscore key minmax [withscores] [limit offset count]
返回有序集 key 中,所有 score 值介于 min 和 max 之间(包括等于 min 或 max )的成员。有序集成员按 score 值递增(从小到大)次序排列。
zrevrangebyscore key maxmin [withscores] [limit offset count]
同上,改为从大到小排列。
zincrby <key><increment><value> 为元素的score加上增量
zrem <key><value>删除该集合下,指定值的元素
zcount <key><min><max>统计该集合,分数区间内的元素个数
zrank <key><value>返回该值在集合中的排名,从0开始。
数据结构
SortedSet(zset)是Redis提供的一个非常特别的数据结构,一方面它等价于Java的数据结构Map<String, Double>,可以给每一个元素value赋予一个权重score,另一方面它又类似于TreeSet,内部的元素会按照权重score进行排序,可以得到每个元素的名次,还可以通过score的范围来获取元素的列表。
zset底层使用了两个数据结构
(1)hash,hash的作用就是关联元素value和权重score,保障元素value的唯一性,可以通过元素value找到相应的score值。
(2)跳跃表,跳跃表的目的在于给元素value排序,根据score的范围获取元素列表。
补充内容:跳跃表
简介:
有序集合在生活中比较常见,例如根据成绩对学生排名,根据得分对玩家排名等。对于有序集合的底层实现,可以用数组、平衡树、链表等。数组不便元素的插入、删除;平衡树或红黑树虽然效率高但结构复杂;链表查询需要遍历所有效率低。Redis采用的是跳跃表。跳跃表效率堪比红黑树,实现远比红黑树简单。
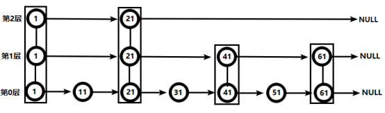
实例:
对比有序链表和跳跃表,从链表中查询出51
1、有序链表

要查找值为51的元素,需要从第一个元素开始依次查找、比较才能找到。共需要6次比较。
2、跳跃表

从第2层开始,1节点比51节点小,向后比较。
21节点比51节点小,继续向后比较,后面就是NULL了,所以从21节点向下到第1层
在第1层,41节点比51节点小,继续向后,61节点比51节点大,所以从41向下
在第0层,51节点为要查找的节点,节点被找到,共查找4次。
从此可以看出跳跃表比有序链表效率要高
本文详细介绍了Redis中的五大数据结构:键、字符串、列表、集合和哈希,以及有序集合,包括它们的常用命令和内部实现。Redis键提供了管理键的多种操作,如查看、删除和设置过期时间。字符串支持基本的增删查改操作,列表是双向链表,适合存储有序的多值数据。集合是无序的唯一成员集合,哈希则提供了键值对的存储,支持字段级别的操作。有序集合则是一个带有评分的排序集合,底层使用跳跃表实现高效排序。此外,文章还提及了跳跃表作为有序集合的一种高效实现方式。
6万+

被折叠的 条评论
为什么被折叠?



